85386 (764011)
Текст из файла
Радиационные пояса
Кузнецов С.Н., Тверская Л.В., НИИ ядерной физики им. Д.В. Скобельцына МГУ им М.Ломоносова,
1. Введение
В настоящем разделе мы кратко рассмотрим особенности движения заряженных частиц в магнитном и электрическом полях в магнитосфере Земли. С более подробным изложением этих вопросов можно ознакомиться в (Альвен, Фельтхаммер, 1967; Лайонс, Вильямс, 1987; Chen, 1970).
1.1 Движение частиц в геомагнитном поле
Значительная часть частиц радиационных поясов находится в магнитном поле, основным источником которого являются токи внутри Земли. Они создают поле близкое к дипольному. Краткие характеристики этого поля на 2005 г.: ось диполя наклонена к оси Земли на 10.26° и на поверхности Земли имеет координаты 79.74°N и 71.8°W; центр диполя сдвинут относительно центра Земли на ~ 500 км. Магнитное поле диполя в плоскости экватора геомагнитного диполя меняется по закону:
(3.2.1)
где Rэ – расстояние от центра диполя, Rз – радиус Земли. Силовая линии дипольного поля описывается формулой
(3.2.2)
где λ – геомагнитная широта. Дипольное поле меняется вдоль силовой линии как
При анализе распределения частиц радиационных поясов в магнитосфере Земли необходимо исходить из структуры и физических свойств магнитосферы. Во-первых, необходимо учитывать недипольность геомагнитного поля на больших расстояниях, вызванную давлением солнечного ветра. Во-вторых, многие явления в магнитосфере могут быть объяснены при предположении существования в магнитосфере Земли квазиоднородного электрического поля величиной 10-6 – 10-5 В/см, направленного с утра на вечер.
Движение частиц c Е < 1 ГэВ в дипольном поле можно представить как суперпозицию трех независимых движений: ларморовского вращения частицы в плоскости перпендикулярной магнитному полю; колебания мгновенного центра вращения (ведущего центра) вдоль силовых линий и дрейфа ведущего центра вокруг Земли.
Ларморовское вращение совершается с периодом τ1:
(3.2.4)
где Е - кинетическая энергия частицы в МэВ, Е0 - энергия покоя частицы в МэВ (для электрона Е0= 0.51 МэВ, для протона Е0= 938 МэВ) и В – магнитное поле в Гс.
Ларморовская частота 1/τ1 электронов вблизи Земли ~1 MГц, протонов – ~1 кГц, при удалении от Земли частота уменьшается как 1/Rз. Ларморовский радиус вращения частицы
(3.2.5)
где p ⊥ - поперечный импульс частицы, с – скорость света и α - угол между векторами скорости частицы и локального магнитного поля (питч-угол). Здесь В выражено в Гс, p⊥ с - в эВ, Е и Е0 в МэВ.
Ларморовский радиус электронов радиационных поясов в геомагнитном поле не превосходит нескольких километров, а для протонов его величина может достигать нескольких сотен километров.
В процессе движения частицы вдоль силовой линии выполняется соотношение sin2<α /B=const. Отсюда, зная питч-угол α на экваторе, можно определить напряженность поля в точке отражения:
(3.2.6)
Период колебания частицы между точками отражения
(3.2.7
где Т2 (α)= 1,3-0,563 sin αэ.
Дрейф вокруг Земли по долготе для частиц с разными знаками заряда происходит в противоположных направлениях (электроны движутся на восток, протоны – на запад). Период дрейфа вокруг Земли
(3.2.8)
где K= 1,25-0,25 cos 2λm, λm – геомагнитная широта точки отражения, Е – в МэВ.
Для нерелятивистских частиц τ3= 44/(EL).
Рассмотренным периодическим движениям соответствуют некоторые величины, сохраняющиеся (в среднем) при движении частицы, если за время, характерное для данного типа движения: (τ1,τ2,τ3), изменением магнитного поля можно пренебречь:
(3.2.9)
Эти величины называются адиабатическими инвариантами движения частиц.
Первым адиабатическим инвариантом является магнитный момент частицы
Второй, или продольный инвариант (инвариант продольного действия)
(3.2.10)
Используя эти два инварианта, а также то, что Е = const в постоянном магнитном поле, можно показать, что в дипольном поле частицы с разными энергиями и питч-углами, находящиеся на одной силовой линии, при дрейфе вокруг Земли движутся практически по одной и той же оболочке (дрейфовой оболочке). Поэтому трехмерное представление захваченной радиации сводится к двумерному и характеризуется функцией двух координат: L = Rэ/Rз и В.
В том случае, когда точки отражения захваченных частиц находятся на малых высотах над поверхностью Земли, для учета влияния атмосферы на захваченные частицы вводят параметр hmin, представляющий минимальную высоту над поверхностью Земли, на которую опускается частица на данной дрейфовой оболочке L.
Третий инвариант Ф определяется как поток геомагнитного поля через экваториальную плоскость вне данной L-оболочки. При B/(dB/dt)~τ3 третий инвариант сохраняться не будет, но поскольку при этом В/(dB/dt) > (τ1 ,τ2), первые два инварианта μ и I сохраняются. Магнитное поле на данной L-оболочке будет меняться, при этом E/B=const вследствие сохранения μ, и частица может перейти на другую L-оболочку с соответствующим изменением Е.
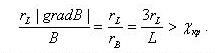
Если B/(dB/dt)~{τ1, τ2}, то ларморовское движение частицы и ее колебания между точками отражения нельзя считать независимыми движениями. При этом нарушается μ и J, экваториальный питч-угол частицы изменяется, и она может высыпаться в атмосферу. При большом импульсе частицы
(3.2.11)
Здесь rB – радиус кривизны магнитной силовой линии на экваторе. В дипольном поле rB=L/3. В таком случае частица не может находиться в магнитной ловушке в захваченном состоянии и быстро покидает ее. Согласно экспериментальным данным (Ильин, Кузнецов, 1975) χкр~0.1, это соответствует
(3.2.12)
Для протонов это приводит к следующему выражению для максимальной энергии частиц, захваченных на данной L-оболочке (нерелятивистский случай):
(3.2.13)
По расчетам (Кузнецов, Юшков, 2002) χкр=0.109exp(1.928sin2α).
1.2 Движение частицы при наличии электрического поля
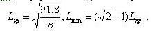
Для объяснения многих явлений в магнитосфере Земли необходимо допустить существование электрического поля ε, перпендикулярного магнитному. При этом на движение ведущего центра частицы вокруг Земли накладывается дрейф в направлении, перпендикулярном электрическому и магнитному полю со скоростью Vε (смс-1): Vе = 157ε/B , 3.2.14 где ε - напряженность электрического поля в кВ/Rз, B – магнитное поле в Гс. Траекторию движения ведущего центра в плоскости экватора (αэ = 90°) можно вычислить, исходя из законов сохранения энергии и магнитного момента : Е + U = const , μ = const , 3.2.I5 где U - электрический потенциал данной точки пространства. Вид траекторий дрейфа электронов в однородном электрическом поле показан на рис. 3.2.la.
Подобный вид имеют и траектории электронов ионосферного происхождения, лишь разность между Lкр и Lmin больше, чем для высокоэнергичных электронов. Область замкнутых траекторий для ионосферных электронов качественно соответствует области плазмосферы. Для протонов больших энергий траектории подобны траекториям энергичных электронов, но зеркальны относительно линии, проходящей через центр Земли в направлении на Солнце.
Видно, что траектории, проходящие на больших расстояниях от Земли, разомкнуты. Частицы, находящиеся на замкнутых орбитах, принадлежат радиационным поясам.
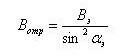
Точку ветвления Lкр на критической орбите можно найти, приравняв скорости электрического и магнитного дрейфов частиц вокруг Земли:
.
Для нерелятивистских частиц получаем:
(3.2.I6)
здесь и далее Е в кэВ. Из этой формулы можно определить, частицы каких энергий на данном L принадлежат радиационным поясам. С противоположной стороны частицы проходят на минимальном расстоянии от Земли:
Lmin = Lкр/1.78.
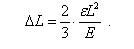
Оценим асимметрию замкнутых траекторий дрейфа частиц. Из условия μ=const следует, что EL3=const. Отсюда можно получить:
(3.2.17)
Если ΔL< Чем больше энергия частицы, тем меньше влияние электрического поля. Если мы рассматриваем движение частиц малых энергий в магнитосфере Земли, то следует учесть также вращение Земли. Это проще всего сделать в плоскости геомагнитного экватора, если ввести фиктивный отрицательный заряд в центр геомагнитного диполя. Приравнивая линейную скорость вращения вместе с Землей любой точки экваториальной плоскости к скорости электрического дрейфа (Тз – период вращения Земли), получим электрическое поле Вид траекторий электронов любых энергий и протонов малых энергий подобен. Эти частицы дрейфуют с вечерней стороны через ночную на утреннюю. Для электронов и протонов малых энергий Для протонов, у которых выполняется условие , вид траекторий дрейфа резко меняется, он показан на рис. 1б. Это получается из-за того, что на больших расстояниях протоны увлекаются вращением Земли, а при переходе на малые расстояния скорость их магнитного дрейфа становится больше скорости вращения магнитного поля Земли. Поэтому протоны меняют направление своего движения. 1.3 Структура радиационных поясов Земли На рис.2 схематически представлены в плоскости полуденно- полуночного меридиана области регистрации высокоэнергичных частиц в магнитосфере Земли. Асимметрия распределения частиц связана со структурой магнитосферы. Электроны с Ее > 40 кэВ и протоны с Ер ~ 50 кэВ существуют не только во внешней дневной магнитосфере, но также с ночной стороны на внешних силовых линиях дипольной структуры и силовых линиях сильно вытянутых в хвост магнитосферы в области плазменного слоя. Электроны с энергией > 500 кэВ образуют два пояса: внутренний на L 3. В дальнейшем мы укажем, с чем связано такое разделение. Протоны не имеют такой структуры. С уменьшением L появляются протоны все больших энергий. Ранее мы указывали, что земной магнитный диполь сдвинут относительно центра Земли. Это приводит к тому, что на высотах < 1200 км пояс регистрируется в довольно ограниченной области. На рис. 3 приведена структура поясов на высоте ~ 500 км по данным ИСЗ КОРОНАС-Ф. В верхней части рисунка приведены линии изологарифма интенсивности электронов с Ее ~ 0.3–0.6 МэВ. Хорошо видно, что внутренний пояс регистрируется только над Бразилией. Электроны внешнего пояса регистрируются в узких полосах в северном и южном полушариях вокруг всей Земли. В основном – это квазизахваченные частицы внешнего пояса. В средней части рисунка представлены данные детектора, который регистрировал протоны с Ер > 23 МэВ и электроны с Ее > 1.6 МэВ. На этой же части приведены штриховыми линиями изолинии L. Видно, что внутренний пояс (в основном протоны с Ер > 23 МэВ) над Бразильской аномалией находится на L 1.6 МэВ) находится на L > 2.5. Устойчивые потоки наблюдаются над Южной Атлантикой. В остальных местах регистрируются квазизахваченные электроны (потоки менее устойчивые). В нижней части рисунка приведены данные о потоках протонов с Ер = 50–90 МэВ. Видно, что протоны регистрируются только над Бразильской аномалией. Вне Бразильской аномалии на L < 2 захваченные потоки не регистрируются, здесь можно регистрировать потоки частиц космических лучей или потоки аномальных квазизахваченных частиц. Радиационным поясам принадлежат частицы, имеющие замкнутые дрейфовые оболочки. В плоскости экватора – это частицы, движущиеся по линиям B = const при В > 60 нТл. Частицы, движущиеся с ночной стороны по линиям В 500 кэВ на средних и высоких широтах в плоскости полуденно-полуночного меридиана по данным ИСЗ КОРОНАС-И. С ночной стороны граница потоков электронов находится на ~ 69o (L ~ 7.8), с дневной стороны – на ~ 77 o(L ~ 21.6). 1.4 Процессы, определяющие структуру и динамику радиационных поясов Структура и динамика радиационных поясов определяется взаимодействием источников и потерь. Источники: - Распад нейтронов альбедо космических лучей (Singer, 1958). Нейтроны являются источником захваченных протонов с Ер>30 МэВ. Мощность этого источника для электронного пояса недостаточна. - Захват частиц из межпланетной среды при смещениях магнитопаузы во время внезапных обжатий магнитосферы солнечным ветром (Тверской, 1964а). - Перенос и ускорение заряженных частиц в магнитосфере при диффузии под действием нестационарных электрических полей (Parker, 1960; Тверской, 1964б, 1965а; Nakada and Mead, 1965; Falthammar, 1965). - Резонансное ускорение частиц под действием квазипериодических магнитных возмущений (Cladis, 1966). - Инжекция частиц в процессе диполизации при втягивании силовых линий геомагнитного хвоста в область захваченной радиации (Tverskoy, 1969). - Ускорение частиц нестационарными электрическими полями суббурь до энергии в первые сотни кэВ (Бондарева, Тверская, 1973; Li et al., 1998). - В последние годы предложено несколько механизмов ускорения электронов до релятивистских энергий на основе взаимодействия волна-частица (см., напр., Summers and Ma, 2000; Бахарева, 2003 и соответствующие ссылки). Одним из случаев инжекции является перераспределение частиц в результате большого (~200 нТл) биполярного внезапного импульса геомагнитного поля (Blake et al., 1992). Данные об этом событии представлены ниже (см. п. 2.2).
(3.2.18)
которое можно рассматривать, как поле одиночного заряда. Знак заряда (отрицательный) определяется направлением вращения Земли. Потенциал поля этого заряда имеет вид
(3.2.19)
Характеристики
Тип файла документ
Документы такого типа открываются такими программами, как Microsoft Office Word на компьютерах Windows, Apple Pages на компьютерах Mac, Open Office - бесплатная альтернатива на различных платформах, в том числе Linux. Наиболее простым и современным решением будут Google документы, так как открываются онлайн без скачивания прямо в браузере на любой платформе. Существуют российские качественные аналоги, например от Яндекса.
Будьте внимательны на мобильных устройствах, так как там используются упрощённый функционал даже в официальном приложении от Microsoft, поэтому для просмотра скачивайте PDF-версию. А если нужно редактировать файл, то используйте оригинальный файл.
Файлы такого типа обычно разбиты на страницы, а текст может быть форматированным (жирный, курсив, выбор шрифта, таблицы и т.п.), а также в него можно добавлять изображения. Формат идеально подходит для рефератов, докладов и РПЗ курсовых проектов, которые необходимо распечатать. Кстати перед печатью также сохраняйте файл в PDF, так как принтер может начудить со шрифтами.
















