84788 (763884)
Текст из файла
Непараметрический метод обнаружения гармонического сигналана фоне широкополосного шума
Е.Б. Мундриевская, Омский государственный университет, кафедра математического моделирования
1. Введение
Классической задачей статистической радиотехники является задача обнаружения сигнала на фоне случайных помех. Большинство из известных в настоящее время алгоритмов основано на байесовском подходе. Недостатком этого подхода является сложность получающихся алгоритмов и не всегда обоснованное на практике требование задания априорных распределений. Подобным недостатком избыточности априорной информации обладают и параметрические методы [2, 3, 4].
Особое положение среди алгоритмов обнаружения занимают непараметрические алгоритмы. Они более неприхотливы и универсальны, чем другие алгоритмы. Действительно, параметры обнаруживаемого сигнала могут быть известны неточно. Поэтому применение параметрических методов может быть затруднительно.
Основные виды непараметрических алгоритмов обнаружения рассмотрены в [5], к ним относятся знаковый, ранговый и их модификации.
Далее предложен новый непараметрический метод обнаружения синусоидального сигнала, основанный на изменении корреляционной функции наблюдаемой выборки.
2. Постановка задачи
Предположим, что на выходе некоторой системы наблюдается процесс, про который мы можем сказать следующее:
1. Это широкополосный шум известной верхней частоты
.
2. Это смесь широкополосного шума с верхней частотой
и синусоидального сигнала неизвестной частоты
. Наблюдаемый процесс предполагается нормированным по интенсивности:
Требуется определить, какой из этих двух процессов мы наблюдаем (просто шум или шум с сигналом).
3. Предлагаемое решение
Для проcтоты изложения будем полагать, что
, а
и
.
Пусть корреляционная функция шума имеет вид:
Корреляционную функцию сигнала запишем как:
Пусть
Величина этого отношения предполагается неизвестной.
Корреляционная функция смеси шума и сигнала:
Известно, что корреляционную функцию некоторого случайного процесса можно представить в виде канонического разложения [6]:
где,
- ортонормированная система функций ( координатные функции );
Di - канонические дисперсии.
Очевидно, что
. Поэтому можно предположить, что
, где
и
- канонические дисперсии шума и сигнала.
Покажем, что для любого
можно найти такие
, что
.
Запишем последнее выражение в развернутом виде:
Из (1) и (4):
Подставим в (7):
Приведем правую и левую часть неравенства к общему знаменателю:
Т. к.
, то знаменатель можно отбросить. Раскроем скобки в правой части выражения:
Отсюда:
T. к.
, то предыдущее выражение эквивалентно:
Очевидно, что при
(
)
. Следовательно
. И каким бы ни было
, которое нам неизвестно,
может быть равен 0 при некоторых моментах корреляции, но не при всех. Т.е.
.
Следовательно, алгоритм обнаружения сигнала в шуме можно строить исходя из вычисления канонических дисперсий наблюдаемой выборки.
4. Алгоритм обнаружения
При моделировании будем пользоваться следующей модификацией алгоритма, предложенного в [1].
Шаг 1. На основе выборки { yk} вычисляем ковариационные коэффициенты R(0)=Eyiy'i , R(1)=Eyi+1y'i , R(2)=Eyi+2y'i, R(3)=Eyi+3y'i .
Шаг 2. Строим матрицы:
Шаг 3. Вычисляем разложение:
Шаг 4. Определяем:
Шаг 6. Вычисляем сумму:
S=e1+e2.
Утверждается, что при любом
можно устанавливить границу G распознавания гипотез о наличии или отсутствии сигнала так, чтобы Ssh+s>G>Ssh .
Покажем практическую состоятельность этого вывода.
Действительно, зная
, можно организовать наблюдения с шагом
.
Пусть
- наблюдаемый процесс, который представляет собой шум без сигнала. При этом
Из предложенного алгоритма следует: если rsh(k)=0 (k=1,2,3), то
.
Пусть теперь
- наблюдаемый процесс, представляет собой комбинацию шума и сигнала, измеренную с шагом
:
yi=yis + yish.
Шум и сигнал независимы друг от друга, поэтому
Поэтому
Rsh+s(k)=Eyi+ky'i=E(yi+ks + yi+ksh)(yis + yish)'=
=Eyi+ks(yis)'+Eyi+ksh(yish)'
Воспользуемся (8):
Rsh+s(k)=Eyi+ks(yis)'=rs(k).
Т.к.
, то
найдется такое
, что
, а значит,
.
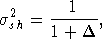
5. Анализ алгоритма обнаружения
Несмотря на то, что мы предполагали
неизвестной,
, точнее
, имеет значение для свойств критерия разделения гипотез о наличии или отсутствии сигнала в наблюдаемой выборке
. Моделированием на точной корреляционной функции Rsh+s(k) было установлено, что зависимость
от отношения
имеет вид, изображенный на рисунке.
Список литературы
Desai U.B., Pal D., Kirkpatrick R.D. A realization approach to stochastic model reduction // Int. J. Control. 1985. Vol. 42. N. 4. P. 821-838.
Розов А.К. Алгоритмы последовательного обнаружения сигналов. СПб., 1991.
Обнаружение изменения свойств сигналов и динамических систем. М., 1989.
Жиглявский А.А., Красновский А.Е. Обнаружение разладки случайных процессов в задачах радиотехники. Л., 1989.
Бирюков М.Н. Непараметрические алгоритмы обнаружения сигналов в импульсных помехах. М., 1991.
Вентцель Е.С. Теория вероятностей. М., 1969.
Для подготовки данной работы были использованы материалы с сайта http://www.omsu.omskreg.ru/
Характеристики
Тип файла документ
Документы такого типа открываются такими программами, как Microsoft Office Word на компьютерах Windows, Apple Pages на компьютерах Mac, Open Office - бесплатная альтернатива на различных платформах, в том числе Linux. Наиболее простым и современным решением будут Google документы, так как открываются онлайн без скачивания прямо в браузере на любой платформе. Существуют российские качественные аналоги, например от Яндекса.
Будьте внимательны на мобильных устройствах, так как там используются упрощённый функционал даже в официальном приложении от Microsoft, поэтому для просмотра скачивайте PDF-версию. А если нужно редактировать файл, то используйте оригинальный файл.
Файлы такого типа обычно разбиты на страницы, а текст может быть форматированным (жирный, курсив, выбор шрифта, таблицы и т.п.), а также в него можно добавлять изображения. Формат идеально подходит для рефератов, докладов и РПЗ курсовых проектов, которые необходимо распечатать. Кстати перед печатью также сохраняйте файл в PDF, так как принтер может начудить со шрифтами.
















