12695 (761399)
Текст из файла
Спектроскопическое определение несимметричного диметилгидразина в объектах окружающей среды
Струков Владимир Юрьевич
Автореферат диссертации на соискание ученой степени кандидата химических наук
Краснодар 2006
Общая характеристика работы
Актуальность темы. N,N-диметилгидразин (несимметричный диметилгидразин, НДМГ) – производное гидразина, обладающее высокой токсичностью и взрывоопасностью, применяется в качестве горючего компонента жидких ракетных топлив, а также при производстве некоторых средств защиты растений.
Количественно НДМГ в различных объектах окружающей среды чаще всего определяют методами спектрофотометрического анализа в виде диметилгидразона п‑нитробензальдегида, образующегося по реакции конденсации. В литературе описаны также хроматографические методики анализа (газовая и ионная хроматография). В последнее время все большее развитие приобретают тест-методы анализа. Однако эти методики не всегда обеспечивают достаточную степень точности, необходимый уровень чувствительности и селективности, и поэтому разработка надежных способов определения НДМГ с высокими метрологическими характеристиками представляет актуальную задачу экоаналитического контроля.
Низкий уровень значений ПДК НДМГ на фоне сложного состава природных матриц создает трудности при его определении и требует повышения чувствительности и селективности методик, реализация которых возможна путем использования новых аналитических реакций, обеспечивающих лучшие метрологические характеристики анализа.
Диссертационная работа выполнена при финансовой поддержке ведомственной целевой программы Рособразования (проект РНП.2.2.2.2.1273 «Новые методы разделения, концентрирования и определения загрязняющих веществ для целей экоаналитического мониторинга»).
Цель работы. Исследование реакций конденсации НДМГ с ароматическими альдегидами и разработка на их основе оптимальной схемы определения НДМГ в объектах окружающей среды.
Для достижения поставленной цели решались следующие задачи:
– исследование реакции взаимодействия ароматических альдегидов с НДМГ;
–обоснование выбора реагентов, пригодных для количественного определения НДМГ;
– выбор методов анализа, позволяющих с достаточной точностью и высокой чувствительностью проводить определение НДМГ;
– разработка оптимизированных методик определения N,N-диметилгидразина в различных экологических объектах.
Научная новизна. Разработана аналитическая схема определения НДМГ в объектах окружающей среды, основанная на реакции его конденсации с ароматическими альдегидами. Установлены некоторые закономерности влияния строения углеводородного радикала альдегидов, связанного с ароматическим кольцом, положения заместителя в кольце относительно карбоксильной группы на аналитические характеристики определения НДМГ.
Практическая значимость. Разработаны методики флуориметрического и экстракционно-фотометрического определения НДМГ с коричным альдегидом на уровне ПДК в различных объектах окружающей среды.
На защиту выносятся результаты:
– исследований реакций конденсации ароматических альдегидов с НДМГ;
– кинетических исследований процессов флуоресценции диметилгидразонов;
– оптимизации условий взаимодействия НДМГ с ароматическими альдегидами, обеспечивающие наилучшие аналитические характеристики его определения;
– применения способов определения НДМГ методами флуориметрии и фотометрии с п-нитробензальдегидом, его орто- и мета-изомерами, коричным альдегидом и 5‑фенилпентадиен-2,4-алем;
– оптимизации схем определения НДМГ в объектах окружающей среды.
Апробация работы. Результаты исследований докладывались на ΙΙΙ Международной конференции «Экстракция органических соединений – ЭОС 2005» (Воронеж, 2005), ΙΙ Международном симпозиуме «Разделение и концентрирование в аналитической химии и радиохимии» (Краснодар, 2005), Международном конгрессе по аналитической химии – ICAS 2006 (Москва, 2006). По материалам диссертации получен один патент РФ, опубликованы две статьи и трое тезисов докладов.
Структура и объем работы. Диссертация состоит из введения, двух глав, выводов, списка цитируемой литературы. Материал диссертации изложен на 110 страницах текста, содержит 16 рисунков, 4 таблицы, в списке цитируемой литературы 136 наименований.
ОСНОВНОЕ СОДЕРЖАНИЕ
Обзор литературы
В литературном обзоре обсуждены методы пробоподготовки и определения НДМГ в различных объектах окружающей среды. Показано и проанализировано разнообразие способов определения содержания НДМГ, наиболее часто используемых в настоящее время. Обсуждены известные инструментальные методики, а также тест-методы контроля НДМГ. Анализируются основные достоинства и недостатки методик анализа экологических объектов при его определении. Показана целесообразность разработки экспрессных, селективных, чувствительных методик определения НДМГ в объектах окружающей среды.
Экспериментальная часть
Для исследования использовали аттестованный раствор НДМГ и промышленно выпускаемые реагенты квалификации не ниже ч.д.а. 5-фенилпентадиен-2,4-аль синтезировали из коричного альдегида. Спектры поглощения диметилгидразонов альдегидов снимали на спектрофотометре SPECORD UV/VIS («Карл Цейсс», Германия), процессы их флуоресценции изучали
на флуориметре «Флюорат-02-1», величину оптической плотности определяли на колориметре фотоэлектрическом концентрационном КФК-2 МП, хроматографирование исследуемых растворов проводили на газовом хроматографе CHROM-5, в качестве сорбента для разработки ТСХ‑определения НДМГ использовали хроматографические пластинки с силикагелем в качестве неподвижной фазы на полиэтилентерефталатной подложке.
Изучение возможности фотометрического определения несимметричного диметилгидразина
В качестве реагентов для определения НДМГ использовались альдегиды ароматического ряда: традиционно применяемый п-нитробензальдегид, его орто- и мета-изомеры, коричный альдегид и 5-фенилпентадиен-2,4-аль, образующие с НДМГ гидразоны, способные поглощать излучение в УФ- и видимой части спектра.
Гидразоны получали в среде уксусной кислоты и этиленгликоля. Длину волны поглощения диметилгидразонов определяли по спектрам, полученным на спектрофотометре SPECORD UV/VIS («Карл Цейс», Германия) при концентрации НДМГ 1,0 мкг/мл в кюветах с толщиной поглощающего слоя 1 см относительно растворов реагентов (рис. 1).
Исходные реагенты (ароматические альдегиды) поглощают в области 230–260 нм, а после протекания реакции конденсации НДМГ с указанными ароматическими альдегидами спектральная картина существенно изменяется, что свидетельствует об образовании диметилгидразонов во всех изучаемых системах. Максимумы поглощения наблюдались при 400, 370, 390, 380 нм для гидразонов п-нитробензальдегида, коричного альдегида, о-нитробензальдегида, м‑нитробензальдегида и 5-фенилпентадиен-2,4-аля соответственно.
Рисунок 1 – Спектры поглощения диметилгидразонов
5-фенилпентадиен-2,4-аля (1), о-нитробензальдегида (2),
м-нитробензальдегида (3), п-нитробензальдегида (4), коричного альдегида (5) и реагентов: о-нитробензальдегида (6),
м-нитробензальдегида (7), п-нитробензальдегида (8),
5-фенилпентадиен-2,4-аля (9) и коричного альдегида (10)
Величину избытка реагентов, достаточную для фотометрического определения, оценивали по кривым зависимости оптической плотности от соотношения альдегида – НДМГ. Было установлено, что в случае использования о‑нитробензальдегида достаточным является 10000-кратный избыток, для его м- и п-изомеров – 2000-кратный, для 5‑фенилпентадиен-2,4-аля – 1000-кратный и для коричного альдегида – 500-кратный избыток (рис. 2).
Продолжительность реакции при постоянной температуре устанавливали по зависимости оптической плотности от времени нагрева реакционных систем, вид полученных зависимостей при 100оС показан на рис. 3. Для проведения реакции с о-нитробензальдегидом достаточно продолжительности нагрева в течение 40 минут, с м- и п‑изомерами 30 и 20 минут соответственно, 10 минут с коричным альдегидом и 50 минут с 5-фенилпентадиен-2,4-алем.
Рисунок 2 – Зависимость оптической плотности от величины избытка о-нитробензальдегида (1), м-нитробензальдегида (2),
п-нитробензальдегида (3), коричного альдегида (4)
и 5-фенилпентадиен-2,4-аля (5)
Рисунок 3 – Зависимость оптической плотности от времени нагрева НДМГ с о-нитробензальдегидом (1), м-нитробензальдегидом (2),
п-нитробензальдегидом (3), коричным альдегидом (4)
и 5-фенилпентадиен-2,4-алем (5) при 100оС
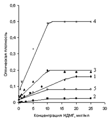
В оптимизированных таким образом условиях были построены градуировочные зависимости величины оптической плотности от концентрации НДМГ в растворе при 400 нм в кюветах с толщиной поглощающего слоя 2 см относительно фоновых растворов реагентов. Вид полученных зависимостей представлен на рис. 4.
Рисунок 4 – Зависимость оптической плотности от концентрации НДМГ (о-нитробензадльдегид (1), м-нитробензальдегид (2),
п-нитробензальдегид (3), коричный альдегид (4)
и 5-фенилпентадиен-2,4-аль (5)
Линейность в случае о-, м-, п-нитробензальдегидов сохраняется в диапазоне 2,0–20,0; 0,5–15,0 и 0,1–10,0 мкг/мл соответственно. При использовании 5-фенилпентадиен-2,4-аля диапазон линейности составляет 1,0–10,0 мкг/мл, а в случае коричного альдегида – 0,05–10,0 мкг/мл. С целью повышения чувствительности спектрофотометрического определения и расширения диапазона определяемых концентраций НДМГ с использованием коричного альдегида были изучены процессы концентрирования диметилгидразона методом жидкость-жидкостной экстракции. В качестве экстрагентов применяли гексан и хлороформ. Степень перехода диметилгидразонов альдегидов из водной фазы в органическую контролировали хроматографически.
Было установлено, что степень перехода диметилгидразона в органическую фазу при использовании для целей экстракции гексана не превышает 25%, в случае хлороформа эта величина достигает 96% при 2,5-кратном концентрировании. Максимум поглощения экстракта диметилгидразона коричного альдегида также наблюдается при 400 нм, как и в случае реакционной системы: этиленгликоль – уксусная кислота, что позволяет фотометрировать его в аналогичных условиях и понизить минимально определяемую концентрацию с 0,05 до 0,02 мкг/мл. Точность анализа определяли методом «введено-найдено», погрешность определения не превышала 10%. Также установлено, что содержание воды в растворителях не должно превышать 5%, что обусловлено помутнением аналитической системы из-за низкой растворимости в воде альдегида.
Флуориметрическое определение
несимметричного диметилгидразина
Учитывая тот факт, что диметилгидразоны ароматических альдегидов имеют в своем составе флуоресцирующие группы, были проведены исследования по созданию методики определения НДМГ по сигналу флуоресценции.
Оптимизацию детектирования по интенсивности аналитического сигнала проводили на флуориметре «Флюорат-02-1». Установлено, что для коричного альдегида лучшее соотношение поглощения и флуоресценции достигается со светофильтрами с максимумами при 360 и 530 нм для каналов возбуждения и регистрации соответственно, для п- и м‑нитробензальдегида – при 350 и 430 нм, для о-изомера – при 350 и 430 нм, но с более широкой полосой пропускания.
При оптимизации величины избытка реагента установили, что для коричного альдегида достаточным является 500-кратный, 1000-кратный для о- и п-нитробензальдегидов, 2000-кратный для мета-изомера и 5-фенилпентадиен-2,4-аля. В полученных условиях были сняты градуировочные зависимости интенсивности флуоресценции диметилгидразонов от концентрации НДМГ.
Диапазоны линейности составляют 0,05–0,80; 0,02–0,20; 0,01–0,10 мкг/мл в случае применения о-, м- и п‑нитробензальдегида соответственно. При использовании 5‑фенилпентадиен-2,4-аля линейность сохраняется при концентрациях определяемого вещества 0,5–5,0 мкг/мл, а в случае коричного альдегида 0,001–0,010 мкг/мл. Для увеличения чувствительности определения НДМГ был применен метод экстракции диметилгидразона коричного альдегида из водной среды хлороформом, позволяющий понизить значение минимально определяемой концентрации до 0,0004 мкг/мл. При этом было установлено, что смена растворителя не оказывает влияния не только на положение максимума поглощения диметилгидразона, но и на длину волны регистрации его флуоресценции.
Для целей дальнейших исследований были построены кинетические кривые зависимости интенсивности флуоресценции от продолжительности нагрева при 20, 40, 60 и 80оС. Вид полученных кривых для 5‑фенилпентадиен-2,4-аля показан на рис. 5.
По данным кинетических кривых были построены зависимости времени реакций между НДМГ и ароматическими альдегидами от температуры их проведения, показанные на рис.6.
Как видно, максимальная скорость реакции деривации НДМГ альдегидами обеспечивается нагреванием при 80оС.
Характеристики
Тип файла документ
Документы такого типа открываются такими программами, как Microsoft Office Word на компьютерах Windows, Apple Pages на компьютерах Mac, Open Office - бесплатная альтернатива на различных платформах, в том числе Linux. Наиболее простым и современным решением будут Google документы, так как открываются онлайн без скачивания прямо в браузере на любой платформе. Существуют российские качественные аналоги, например от Яндекса.
Будьте внимательны на мобильных устройствах, так как там используются упрощённый функционал даже в официальном приложении от Microsoft, поэтому для просмотра скачивайте PDF-версию. А если нужно редактировать файл, то используйте оригинальный файл.
Файлы такого типа обычно разбиты на страницы, а текст может быть форматированным (жирный, курсив, выбор шрифта, таблицы и т.п.), а также в него можно добавлять изображения. Формат идеально подходит для рефератов, докладов и РПЗ курсовых проектов, которые необходимо распечатать. Кстати перед печатью также сохраняйте файл в PDF, так как принтер может начудить со шрифтами.















