12695 (761399), страница 2
Текст из файла (страница 2)
Рисунок 5 – Зависимость величины аналитического сигнала
от времени реакции с 5-фенилпентадиен-2,4-алем при 100 (1), 80 (2), 60 (3) и 20оС (4)
Рисунок 6 – Зависимость времени реакции от температуры
с о-нитробензальдегидом (1), м-нитробензальдегидом (2),
п-нитробензальдегидом (3), коричным альдегидом (4)
и 5-фенилпентадиен-2,4-алем (5)
Изучение кинетических параметров флуоресценции диметилгидразонов
Для объяснения закономерностей процессов излучения диметилгидразонов в зависимости от структуры и свойств применяемых реагентов на основе данных флуориметричекских измерений использовали кинетическую схему Штерна-Фольмера, описывающую фотофизический процесс флуоресценции и позволяющую рассчитать константу флуоресценции (к2), константу дезактивации (к3) и константу диссоциации флуоресцирующего вещества (к4).
В соответствии с данной схемой перечисленные константы являются членами уравнения (1):
Ia/Iфл= к3/к2*[АВ]+к4/к2+1, (1)
где Ia – интенсивность поглощенного излучения, Iфл – интенсивность флуоресценции, [АВ] – концентрация флуоресцирующего вещества.
Величина Ia при малой толщине поглощающего слоя является постоянной и не зависит от концентрации, то есть считается, что падающее излучение поглощается полностью. Графическая зависимость, построенная в координатах 1/Iфл – Cндмг, линейна в диапазоне концентраций НДМГ градуировочной кривой. Константа к2 соответствует тангенсу угла наклона прямолинейного участка кинетической кривой при температуре 20оС, соответствующей условиям измерения аналитического сигнала. Остальные константы рассчитываются из коэффициентов уравнения регрессии (1).
Значения энергии активации реакции конденсации НДМГ с ароматическими альдегидами определяли графически из уравнений, описывающих кривые, построенные по логарифмическому выражению уравнения Аррениуса:
ln1/τ= -Еа/RT+lnA, (2)
где τ – время реакции при данной температуре, Т – температура, R – универсальная газовая постоянная, Еа – энергия активации, А – предэкспотенциальный множитель.
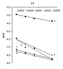
Вид зависимостей ln1/τ= f(1/T) показан на рис. 7. Соответствующие значения рассчитанных энергий активации реакций НДМГ с альдегидами представлены в табл. 1.
Рисунок 7 – Зависимость ln1/τ от 1/Т с о-нитробензальдегидом (1),
коричным альдегидом (2), 5-фенилпентадиен-2,4-алем (3),
п-нитробензальдегидом (4) и м-нитробензальдегидом (5)
Таблица 1 – Значения констант фотофизических процессов
диметилгидразонов и энергий активации реакций
взаимодействия НДМГ с ароматическими
альдегидами
| Альдегид | к2 | к3 | к4 | Еа, кДж/ моль | Уравнения регрессии |
| о-нитробен-зальдегид | 2,3*10–4 | -0,062 | 7,20*10–4 | 15,6 | у = -0,078x+0,105 |
| м-нитробен-зальдегид | 3,1*10–4 | -0,016 | 7,38*10–4 | 15,5 | y = -2,692x+2,206 |
| п-нитробен-зальдегид | 4,0*10–4 | -0,051 | 7,08*10–4 | 14,8 | y = -10,889x+1,33 |
| Коричный альдегид | 8,0*10–4 | -0,089 | 2,14*10–4 | 13,7 | y = -126,65x+2,78 |
| 5-фенилпен-тадиен-2,4-аль | 2,7*10–4 | -0,019 | 15,93*10–4 | 16,1 | y = -0,707+6,909 |
Из полученных значений видно, что коричный альдегид является более перспективным реагентом для определения НДМГ флуориметрическим методом, так как его диметилгидразон обладает наибольшими значениями констант флуоресценции, наименьшим констант дезактивации, диссоциации и энергии активации. Полученные значения также объясняют столь высокую чувствительность определения и высокую скорость деривации НДМГ коричным альдегидом по сравнению с остальными реагентами.
Были выявлены закономерности влияния структуры (расположение заместителя в бензольном кольце относительно карбонильной группы, наличия эффекта сопряжения в молекуле, количество непредельных составляющих в углеродном радикале) ароматического альдегида на метрологические характеристики определения НДМГ в виде диметилгидразона. Для достижения наилучших результатов анализа необходимо, чтобы заместитель в ароматическом кольце был максимально удален от альдегидной группы; наличие двойных связей неоднозначно влияет на аналитические характеристики определения НДМГ: одна непредельная углерод-углеродная связь улучшает метрологические параметры анализа, увеличение их количества, напротив, уменьшает чувствительность определения и увеличивает время проведения анализа.
ТСХ-хроматографическое определение НДМГ в виде диметилгидразона коричного альдегида является малоперспективным при использовании в качестве неподвижной фазы силикагеля и проявителя – раствора перманганата калия из-за низкой чувствительности метода в данных условиях. Газохроматографический метод анализа с детектором ионизации пламени также малоэффективен из-за низкой чувствительности самого детектора к диметилгидразонам ароматических альдегидов.
Схема анализа природных объектов на содержание НДМГ
в виде диметилгидразона коричного альдегида
Схемы анализа различных объектов окружающей среды на содержание НДМГ формировались с учетом специфики анализируемого объекта.
При анализе природных и сточных вод на содержание НДМГ пробоотбор и пробоподготовка осуществляется общепринятыми методами (рис. 8). В случае, когда концентрация определяемого вещества в пробе находится на уровне ПДК (0,02 мкг/мл) и ниже, подготовка пробы к анализу включает в себя осветление ее аликвотной части и фильтрацию с последующим экстракционно-флуориметрическим определением, либо процесс пробоподготовки может заключаться в отгонке НДМГ в раствор реагента из пробы после внесения в нее соответствующих реагентов с дальнейшим флуориметрическим определением. При более высоких содержаниях НДМГ в воде (свыше 0,05 мкг/мл) процесс пробоподготовки заключается в его отгонке и поглощении раствором реагента с последующим фотометрическим определением или фильтрации осветленной пробы с последующим экстракционно-фотометрическим определением.
Рисунок 8 – Схема анализа природных и сточных вод
на содержание НДМГ
При определении НДМГ в природной воде экстракционно-фотометрическим и экстракционно-флуориметрическим методами процесс пробоподготовки заключается в обесцвечивании пробы оксидом кальция и 70%-ным раствором ортофосфорной кислоты, последующей фильтрации полученной смеси, деривации НДМГ коричным альдегидом в отобранной аликвоте фильтрата при нагревании и экстрагировании образовавшегося диметилгидразона хлороформом. Полученный экстракт фотометрируют в условиях, описанных выше. Для флуориметрического определения отбирают часть фильтрата, разбавляют ее в 50 раз, в полученном растворе проводят реакцию конденсации НДМГ с коричным альдегидом, экстрагируют образовавшийся диметилгидразон хлороформом и полученный экстракт флуориметрируют. Концентрацию НДМГ в органической фазе определяют по соответствующим градуировочным графикам. Расчет концентрации определяемого вещества в пробе проводят по формуле (3):
СХ= СЭ/(2,5*0,96), (3)
где Сэ – концентрация НДМГ в экстракте, найденная по градуировочному графику, Сх – концентрация НДМГ в пробе, 2,5 – степень концентрирования диметилгидразона, 0,96 – степень перехода диметилгидразона из водной фазы в хлороформ.
Правильность определений НДМГ в природной воде проверяли методом добавок.
Результаты анализов, полученные обоими методами, представлены в табл. 3.
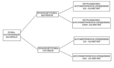
Анализ почв и растительного материала на содержание в них НДМГ при концентрациях определяемого вещества ниже 0,02 мкг/мл включает в себя пробоподготовку известными способами: приготовление кислотной вытяжки НДМГ из образца и дальнейшее определение экстракционно-флуориметрическим способом, или отгонка НДМГ из щелочной/кислотной вытяжки в раствор реагента с последующим флуориметрическим определением (рис. 9).
Таблица 3 – Результаты определений НДМГ,
полученные методом добавок
| Метод анализа | |||
| Экстракционно-фотометрический | Экстракционно-флуориметрический | ||
| Введено, мкг/мл | Найдено, мкг/мл | Введено, мкг/мл | Найдено, мкг/мл |
| 0,10 | 0,09 | 0,10 | 0,08 |
Рисунок 9 – Схема анализа почв и растительного материала
на содержание НДМГ
Анализ данных природных объектов при его более высоких содержаниях осуществляется фотометрически (при концентрации свыше 0,05 мкг/мл) после его отгонки в раствор реагента из кислотной/щелочной вытяжки пробы, либо эктракционно-фотометрически (при содержании НДМГ в пробе 0,02 мкг/мл и более).
При определении НДМГ в воздухе предлагаемый вариант пробоподготовки заключается в поглощении определяемого вещества уксуснокислым раствором ацетата натрия. В дальнейшем, если содержание НДМГ в поглотительном растворе не превышает 0,02 мкг/мл, анализ осуществляют экстракционно-флуориметрическим способом. Для определения более высоких концентраций НДМГ (0,02– 10,0 мкг/мл) в растворе ацетата натрия требуется применение экстракционно-фотометрического метода (рис. 10).
Рисунок 10 – Схема анализа воздуха на содержание НДМГ
Определение несимметричного диметилгидразина
методом инверсионной вольтамперометрии
Одним из преимуществ электрохимических методов анализа в случае определения НДМГ является то, что из-за ионизации молекул данного вещества в водных растворах и особенно кислых средах, не требуется проведения процесса его деривации.
Для определения НДМГ методом инверсионной вольтамперометрии (ИВА) использовали трехэлектродную ячейку, состоящую из стеклоуглеродного индикаторного и вспомогательного электродов и насыщенного хлорсеребряного электрода сравнения. Фоновым раствором являлась 0,1 М серная кислота. В ходе исследования было определено, что для получения устойчивого во времени аналитического сигнала необходимо присутствие остаточных количеств ртути на электроде. В этих условиях был получен пик с максимумом тока при -0,4 В.















