12557 (761315), страница 2
Текст из файла (страница 2)
материалом, прокаленным в атмосфере аргона при 600ºС (содержание Cox ≈ 15–16%) (табл. 3). Положение компонентов спектров 1Сs и форма линии О1s (рис. 2В) в основном определяется связями в группировках СО и СООН.
Данные РФЭС свидетельствуют о десятикратном преобладании металла в виде Ni2+ по сравнению с Ni0. Расположение основной компоненты Ni2p3/2 (~ 856 эВ) во всех образцах соответствует соединениям типа Ni2O3 (рис. 2С). В образце, не подверженном термической обработке, присутствует в незначительном количестве нитрат никеля согласно расположению РФЭС линии азота (N1s). На стадии синтеза и высушивания модификатора-сорбента происходит практически полное разложение нитрата никеля до оксидных форм. В предварительно восстановленном образце содержание никеля в металлической форме невелико и составляет порядка 15%. Кроме того, в этом образце велика вероятность присутствия никеля в виде карбонила. Следует также отметить, что сопоставление данных РФЭС по содержанию никеля для образцов, синтезированных разными способами, (табл. 3) позволяет сделать вывод, что предварительное восстановление материала в инертной атмосфере приводит к объемному распределению никеля в частице активированного угля.
Таким образом, структурные и химические свойства исследованной композиции свидетельствуют об универсальном характере ожидаемого модифицирующего действия при ЭТААС определении легколетучих элементов V и VI группы периодической таблицы. Так, их взаимодействие с наиболее предпочтительной оксидной формой никеля начинается, по-видимому, уже в жидкой фазе при подготовке анализируемой суспензии и далее на стадии высушивания в графитовой печи. При последующей термической обработке системы следует ожидать образование тугоплавких соединений уже с восстановленным никелем (арсениты, теллуриты и т.п.). Кроме того, благодаря высоко развитой поверхности частиц и порового пространства можно предположить, что материал должен обладать сорбционными свойствами, и тем самым будет эффективно решать проблему предварительного концентрирования элементов.
Модифицирующая эффективность никельсодержащего активированного угля
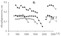
Сравнение атомизационных и пиролизационных зависимостей элементов в отсутствии модификатора, в присутствии раствора нитрата никеля, предварительно восстановленного металла и композиции на основе активированного угля (рис. 3) показало, что потери
1 – в отсутствии модификатора, и в присутствии:
2 – раствора нитрата никеля, 3 – предварительно восстановленного в ГП никеля, 4 – никельсодержащего активированного угля и 5 – восстановленного в ГП никельсодержащего активированного угля
Рисунок 3 – Пиролизационные и атомизационные зависимости мышьяка (а), сурьмы (б), теллура (в) и селена (г)
определяемых элементов в первом из перечисленных варианте происходили при самых низких температурах стадии термической обработки. Применение никельсодержащих модификаторов позволяет существенно повысить температуру пиролиза для всех исследуемых элементов. Композиция нитрат никеля – активированный уголь обеспечивает еще более высокие значения этого показателя и лучшую чувствительность определений (табл. 4) в сравнении с другими никелевыми модификаторами.
Следует отметить, что термическая стабильность селена (рис. 3г) несколько лучше в случае предварительно восстановленного никеля. При использовании раствора нитрата
Таблица 4 – Чувствительность ЭТААС определения
элементов
| Модификатор | Характеристическая масса, пг | |||
| As | Se | Sb | Te | |
| Без модификатора Раствор нитрата никеля Предварительно восста-новленный никель Никельсодержащий активированный уголь | 17 19 11 12 | 31 25 29 27 | 19 22 22 17 | 15 15 22 16 |
никеля и никельсодержащего активированного угля на пиролизационных зависимостях селена наблюдается минимум в районе 500–700С. Это, по-видимому, связано с испарением элементарного селена за счет восстановления углеродом оксидных форм никеля до металла и выхода в газовую фазу печи продуктов взаимодействия. Использование процедуры предварительной термической обработки в графитовой печи никельсодержащего активированного угля позволяет достичь той же термической стабильности, что и в случае предварительно восстановленного раствора нитрата никеля.
Полученные результаты показывают, что при взаимодействии никельсодержащего активированного угля с аналитом происходит совмещение действия в конденсированном состоянии двух компонентов: никеля и углеродсодержащего материала.
Изучение влияния массы никеля, вносимой в атомизатор, на величину аналитического сигнала элементов показало (рис. 4), что в случае внесения раствора нитрата никеля требуется 0,5–1,0 мкг никеля для стабилизации элементов, а в случае никельсодержащего активированного угля достаточно 0,1 мкг никеля. Дальнейшее увеличение массы вносимого в графитовую печь никеля не приводит к увеличению аналитического сигнала (для As и Sb наблюдается монотонное уменьшение сигнала, начиная с 4 мкг).
Наши исследования показали, что эффективная термостабилизация аналитов в графитовой печи в присутствии
(а) – никельсодержащий активированный уголь
и (б) – раствор нитрата никеля
Рисунок 4 – Влияние никеля на аналитический сигнал элементов
сорбента-модификатора достигается при соотношении масс никель/аналит, равном ~102, что на порядок меньше по сравнению с раствором нитрата никеля.
Эффективность модификатора матрицы также существенно зависит от возможности проведения определения элементов в присутствии мешающих компонентов. Изучение зависимостей АС элементов при этих условиях показало, что присутствие хлорид-ионов практически не влияет на АС мышьяка и сурьмы, в случае селена и теллура наблюдается незначительное снижение сигналов, до 5% относительно, в присутствии хлорид-ионов в количестве 1,0 г/л и более. Карбонат-ионы незначительно повышают АС элементов. В случае теллура происходит небольшое снижение АС. Присутствие сульфат-ионов в незначительных количествах приводит к снижению АС. Такая же закономерность наблюдается и для широко используемого модификатора: смеси нитратов палладия и магния
Сравнительный анализ свойств модификатора на основе Pd(NO3)2+Mg(NO3)2 с никельсодержащим активированным углем показал, что разработанная нами композиция не уступает, а по некоторым показателя и превосходит «универсальный» палладий-магниевый модификатор (табл. 5).
Таблица 5 – Модифицирующие свойства
никельсодержащего активированного угля
и смеси нитратов палладия и магния
| Элемент | Pd(NO3)2 + Mg(NO3)2 | Ni(NO3)2 + C | ||
| ТТО, ºС | ТАТ, ºС | ТТО, ºС | ТАТ, ºС | |
| As Te Sb Se | 1200 700 1200 1100 | 2300 2300 2400 2300 | 1500 1300 1400 1200 | 2300 2000 2200 2200 |
Термодинамические исследования термохимических процессов, протекающих в атомизаторе
Расчеты многокомпонентного высокотемпературного гетерогенного равновесия проведены при давлении 1 атм в диапазоне температур 100–1900оС с помощью программы HSC-4 (Chemical Reaction and Equilibrium Software with Extensive Thermochemical Database. Version 4.0. Outokumpu Research Oy Information Service. Finland), имеющей собственный банк термодинамических свойств индивидуальных веществ*. При этом учитывали вероятность образования в термохимических процессах потенциально возможных, при данных температурах, газообразных и конденсированных индивидуальных веществ (табл. 6) и условия идеального перемешивания и контакта всех компонентов исследованных систем.
Мышьяк. Конденсированные оксиды мышьяка уже при низких температурах восстанавливаются до элементарного мышьяка. Это обеспечивает возможность образования разбавленного конденсированного раствора мышьяка с металлическим никелем и углеродом и задержку термического испарения мышьяка до температур 1200оС. После этих температур начинается переход As в газовую фазу в атомарном виде и, в незначительном количестве, в виде AsO(Г) (рис. 5а).
*Расчеты проводились и обсуждались с участием профессора Пупышева А.А. (УГТУ-УПИ, г. Екатеринбург)
Таблица 6 – Параметры исследованных
термодинамических систем
| Исследуе-мые системы | Исходный заданный состав, моль | Конденсирован-ные вещества | Максималь-ные температуры пиролиза эксп./расчет, оС |
| NiАУ с мышьяком | 3,6∙10-5 (Ar) + + 2,3∙10-6 (O) + + 3,41∙10-8 (Ni) + + 5,2∙10-6 (С) + + 1,3∙10-11 (As) | AsXOY, Ni(AsXO)Y, Ni, NiCO3, NiO, Ni3C, As, C, | 1500/1200 |
| NiАУ с селеном | -//- + 1,01∙10-11 (Se) | NiCO3, NiO, NiSeO3, Se, SeXOY, NiSeX, Ni3C, Ni, C | 1200/1300 |
| NiАУ с теллуром | -//- + 6,3∙10-12 (Te) | NiCO3, NiO, TeO2, NiXTeY, Ni3C, Ni, C, Te | 1300/1200 |
| NiАУ с сурьмой | -//- + 2,9∙10-12 (Sb) | NiCO3, NiO, SbxOy, Ni3C, Ni, C, NiSb, Sb | 1400/1300 |
Теллур. После низкотемпературного восстановления теллур образует с никелем интерметаллические соединения, входящие в состав разбавленных конденсированных растворов на основе металла модификатора и углерода. Но эти интерметаллические соединения не обладают высокой термической стабильностью и выше 400–600оС разлагаются с выделением элементарного теллура, остающегося в составе конденсированного раствора. Выше 1200оС конденсированный раствор начинает разлагаться, и теллур переходит в газовую фазу в атомарном виде (рис. 5б).
Сурьма. При низкой температуре оксиды сурьмы восстанавливаются; после чего сурьма образует антимонид никеля, входящий в состав разбавленного раствора на основе
Рисунок 5 – расчетные графики изменения состава исследуемых систем (в нормированных молях – Mn)















