12158 (761191)
Текст из файла
Полимеры, содержащие 6-метилурацил и его производные
Гатиятуллина Г.В., Кривоногов В.П., Прочухан Ю.А., Батталов Э.М.
Исследовано влияние 6-метилурацила и некоторых его производных на радикальную полимеризацию метилметакрилата. Синтезирован эпоксиакриловый олигомер на основе эпоксидсодержащих урацилов и его полимер.
Экспериментальная часть
Метилметакрилат (ММА), акриловую кислоту (АК) очищали от стабилизатора и перегоняли. Для полимеризации использовали фракции с температурой кипения 42,0о С при 100 мм. рт. ст. (ММА) и 141о С при 760 мм. рт. ст. (АК). Динитрил азо-диизомасляной кислоты (ДАК) многократно перекристаллизовывали из метанола, сушили в вакууме при комнатной температуре до постоянного веса. Т плавл. 103о С, с разложением. Фотоинициатор полимеризации - бензофенон (БФ) - очищали по общепринятой методике. Авторы весьма признательны лаборатории нуклеозидов ИОХ УНЦ РАН за предоставленные образцы 6-метилурацила и его производных. Структурные формулы использованных в работе соединений 6-метилурацила приведены ниже:
где I - 6-метил-1-аллилурацил, II - 6-метил-1,3-диаллилурацил, III - 6-метил-1,3-диаллил-5-оксиаллилурацил,
IV - 6-метил-1-2,4-ацетиленбутан, V и VI - эпоксидированные производные 6-метилурацила.
Результаты и их обсуждение
Известно [1, 2], что 6-метилурацил и его производные являются физиологически активными лекарствами и широко применяются в лечебной практике. Однако до сих пор не синтезированы полимерные формы данного лекарства, которые привели бы к расширению или к более эффективному использованию их в медицине. Целью настоящего сообщения является исследование (со)полимеризации ММА в присутствии 6-метилурацила и его производных, а также в синтезе оксиметилурацилэпоксиакрилатного олигомера и его полимера.
Рис. 1. Кинетика полимеризации ММА в присутствии соединения II. 2 - 0.62 %, 3 - 1.25 %, 4 -2.50 %, 1 - без добавки. Инициатор - ДАК 0.05 % масс, Т=50о С.
Рис. 2. Кинетика полимеризации ММА в присутствии соединения III. 1 - 0.25 %, 2 - 0.12 %, 3 - 0.06 % мас. Инициатор - ДАК 0.05 % мас., Т=50о С.
Плохая растворимость 6-метилурацила и его производных в виниловых мономерах (метилметакрилат, стирол, акриловая кислота)ограничивает использование их в качестве добавки в радикальной блочной (со)полимеризации. В этом ряду исключение составляют 1,3-диаллил-6-метилурацил и 1,3-диаллил-5-оксиаллил-6-метилурацил, которые ограниченно растворимы в метилметакрилате. Оба соединения оказывают ингибирующее влияние (kz/kp=0,11) на полимеризацию ММА, инициированной ДАК (рис. 1). Энергия активации полимеризации ММА в присутствии 1,3-диаллил-6-метилурацила составляет 14,3 ккал/моль. Из рис. 1 видно, что 1,3-диаллил-6-метилурацил, как и все аллильные соединения в радикальной полимеризации [3], является ингибитором полимеризации ММА. Причем чем больше концентрация 1,3-диаллил-6-метилурацила, тем больше эффект ингибирования. Однако вхождение в полимерную цепь полиметилметакрилата (ПММА) звеньев данного соединения не наблюдается (функциональный и ЯМР С13 анализы). Другая картина (рис. 2) - при полимеризации ММА в присутствии 1,3-диаллил-5-оксиаллил-6-метилурацила, где по полученным данным (функциональный, ЯМР С13 и ИК анализы) наблюдается вхождение в основную цепь полиметилметакрилата данного соединения, видимо, по схеме:
Подтверждением этой схемы являются значения функционального анализа состава многократно переосажденного полимера ПММА с 1,3-диаллил-5-оксиаллил-6-метилурацилом (табл. 1)
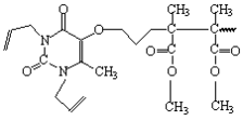
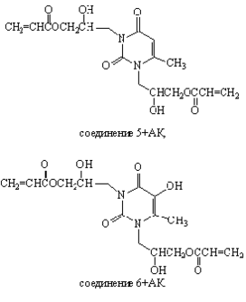
Однако более детального исследования процесса сополимеризации (установление, например, констант сополимеризации) по причине низкой растворимости этого соединения в ММА (< 2,5% мас.) провести не удается. Из других направлений синтеза полимеров 6-метилурацила перспективным, видимо, является синтез эпоксиакрилатов эпоксидированных производных 6-метилурацила (соединения V и VI) путем этерификации последних (мет)акриловой кислотой. Так, синтезированные этим способом олигомеры представляют собой вязкие массы от желтого до темно-желтого цвета следующих структур:
Соединение 5+АК и соединение 6+АК - олигомеры. Их элементный состав приведен в табл. 2.
Рис. 3. Кинетика набухания полимеров соединений V(1) и VI (2) в ТХЭ при 50о С.
В ближней ИК спектрах синтезированных олигомеров обнаруживаются исчезновение полосы эпоксидной структуры и появление полос, характерных для виниловой связи. Строение этих олигомеров характеризуют также спектры ЯМР С13. Судя по значениям данной таблицы, полученные олигомеры производных 6-метилурацила содержат в своем составе в основном диакрилаты. В результате полимеризации данных олигомеров в присутствии как фотоинициатора (бензофенон, 5 % мас.), так и термических инициаторов (ДАК 0,1 % мас., 50о С ) получены трехмерные полимеры, которые нерастворимы в известных растворителях. Кинетика набухания этих полимеров в трихлорэтилене приведена на рис. 3. Видно, что полимер на основе соединения VI обладает большей степенью сшивки, чем V. Вероятно, это связано с участием гидроксильны групп диакрилата на основе соединения урацила VI. Таким образом, изучено поведение 6-метилурацила и его производных в радикальной блочной полимеризации метилметакрилата. Показано, что они плохо растворимы в исходном мономере и являются сильными ингибиторами как термо-, так и фотополимеризации. Диакрилат на основе эпоксидированного 6-метилурацила при полимеризации образовывает сшитый нерастворимый полимер, в состав которого входит физиологически активный 6-метилурацил.
Список литературы
1. Камилов Ф.Х., Лазарева Д.Н., Плечев В.В. Пиримидины и их применение в медицине. Уфа, 1992.
2. Машковский М.Д. Лекарственные средства. М: Медицина, 1985. Т. 2. С. 576.
3. Володина В.И., Тарасов А.И., Спасский С.С. Полимеризация аллиловых соединений // Успехи химии. Т. ХХХIХ. Вып. 2. С. 276-303.
Для подготовки данной работы были использованы материалы с сайта http://www.bashedu.ru
Характеристики
Тип файла документ
Документы такого типа открываются такими программами, как Microsoft Office Word на компьютерах Windows, Apple Pages на компьютерах Mac, Open Office - бесплатная альтернатива на различных платформах, в том числе Linux. Наиболее простым и современным решением будут Google документы, так как открываются онлайн без скачивания прямо в браузере на любой платформе. Существуют российские качественные аналоги, например от Яндекса.
Будьте внимательны на мобильных устройствах, так как там используются упрощённый функционал даже в официальном приложении от Microsoft, поэтому для просмотра скачивайте PDF-версию. А если нужно редактировать файл, то используйте оригинальный файл.
Файлы такого типа обычно разбиты на страницы, а текст может быть форматированным (жирный, курсив, выбор шрифта, таблицы и т.п.), а также в него можно добавлять изображения. Формат идеально подходит для рефератов, докладов и РПЗ курсовых проектов, которые необходимо распечатать. Кстати перед печатью также сохраняйте файл в PDF, так как принтер может начудить со шрифтами.















