183870 (743645), страница 2
Текст из файла (страница 2)
4) Коэффициенты l1, l2 выбираются следующим образом:
| l1=1-l, l2=l, где lÎ[0, 1]. | (13) |
Очевидно, что эти коэффициенты удовлетворяют условию (2).
5) По формуле (3), с учетом (11), (12), и (13), показатель эффективности стратегии Аi по критерию Ходжа-Лемана равен:
| Gi=libi1+l2bi2=(1-l)Wi+lBi=(1-l)aij+ i=1,…,m. | (14) |
В правой части формулы (14) коэффициент lÎ[0, 1] есть количественный показатель степени доверия игрока А данному распределению вероятностей qi=p(Пj), j=1,…,n, состояний природы Пj, j=1,…,n, а коэффициент (1-l) характеризует количественно степень пессимизма игрока А. Чем больше доверия игрока А данному распределению вероятностей состояний природы, тем меньше пессимизма и наоборот.
6) Цену игры по критерию Ходжа-Лемана находим по формуле (4):
7) Оптимальной стратегией по критерию Ходжа-Лемана является стратегия Аk с наибольшим показателем эффективности:
Gk=G.
Отметим, что критерий Ходжа-Лемана является как-бы промежуточным критерием между критериями Байеса и Вальда. При l=1, из (14) имеем:Gi=Bi и потому критерий Ходжа-Лемана превращается в критерий Байеса. А при l=0, из (14): Gi=Wi и, следовательно, из критерия Ходжа-Лемана получаем критерий Вальда.
Критерий Гермейера [7].
1) Пусть матрица А является матрицей выигрышей игрока А.
2) Даны вероятности qi=p(Пj), j=1,…,n, состояний природы Пj, j=1,…,n, удовлетворяющие условию (1).
Т.о. игрок А находится в ситуации принятия решений в условиях риска
3) Положим l=1 и
Таким образом, матрица В представляет собой вектор столбец
размера m x 1.
4) Полагаем l1=1. Условие (2), очевидно, выполняется.
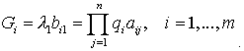
5) Показатель эффективности стратегии Аi по критерию Гермейера определяем по формуле (3) с учетом (15) и того, что l1=1:
|
| (16) |
Если игрок А придерживается стратегии Аi, то вероятность выигрыша aij при этой стратегии и при состоянии природы Пj равна, очевидно, вероятности qj этого состояния природы. Поэтому формула (16) показывает, что показатель эффективности стратегии Аi по критерию Гермейера есть минимальный выигрыш при этой стратегии с учетом его вероятности.
6) Цена игры по критерию Гермейера определяется по формуле (4):
7) Оптимальной стратегией по критерию Гермейера считается стратегия Аk с наибольшим показателем эффективности:
Gk= G
Заметим, что критерий Гермейера можно интерпретировать как критерий Вальда, применимый к игре с матрицей
Критерий Гермейера так же, как и критерий Вальда является критерием крайнего пессимизма игрока А, но, в отличие от критерия Вальда, игрок А, принимая решение с максимальной осмотрительностью, учитывает вероятности состояний природы.
В случае равномерного распределения вероятностей состояний природы: qj=n-1, j=1,…,n, показатель эффективности стратегии Аi, в силу формулы (16), будет равен Gi=n-1aij и , следовательно, критерий Гермейера эквивалентен критерию Вальда, т.е. стратегия, оптимальная по критерию Гермейера, оптимальна и по критерию Вальда, и наоборот.
Критерий произведений [7].
1) Пусть матрицей выигрышей игрока А является матрица А, все элементы которой положительны:
aij>0, i=1,…,m; j=1,…,n.
2) Известны вероятности qj=p(Пj), j=1,…,n, состояний природы Пj, j=1,…,n, и удовлетворяют условию (1).
3) Пусть l=1 и
|
| (17) |
Значит матрица В является вектор-столбцом
размера m x 1.
4) Пусть l1=1. Условие (2) выполняется.
5) Показатель эффективности стратегии Аi по критерию произведений в соответствии с формулами (3) и (17) равен
6) Цена игры по критерию произведений вычисляется по формуле (4):
7) Оптимальной стратегией по критерию произведений является стратегия Аk с наибольшим показателем эффективности:
Gk=G.
Отметим, что для критерия произведений является существенным положительность всех состояний вероятностей состояний природы и всех выигрышей игрока А.
Максимаксный критерий ( [1].-[7] ).
1) Пусть А – матрица выигрышей игрока А.
2) Вероятность состояний неизвестны. Решение принимается в условиях неопределенности.
3) Пусть l=1 и
Значит, матрица В является вектор- столбцом
| Вmx1= |
|
размера m x 1.
4) Коэффициент l1 выбираем равным 1: l1=1. При этом условие (2), очевидно, выполняется.
5) Показатель эффективности стратегии Аi по максимаксному критерию обозначим через Мi и определим его по формуле (3) с учетом (18) и того, чтоl1=1:
Таким образом, показатель эффективности стратегии Аi по максимаксному критерию есть наибольший выигрыш при этой стратегии.
6) Цена игры по максимаксному критерию, обозначаемая нами через М, определяется по формуле (4):
Очевидно, что это есть наибольший элемент матрицы А.
7) Оптимальная стратегия по максимаксному критерию есть стратегия Аk с наибольшим показателем эффективности:
Mk=M.
Из формулы (19) заключаем, что максимаксный критерий является критерием крайнего оптимизма игрока А. Количественно это выражается тем, что l1=1. Этот критерий противоположен критерию Вальда. Игрок А, пользуясь максимаксным критерием, предполагает, что природа П будет находиться в благоприятнейшем для него состоянии, и, как следствие отсюда, ведет себя весьма легкомысленно, с «шапкозакидательским» настроением, поскольку уверен в наибольшем выигрыше. Вместе с тем, в некоторых случаях этим критерием пользуются осознанно, например, когда перед игроком А стоит дилемма: либо получить наибольший выигрыш, либо стать банкротом. Бытовое отражение подобных ситуаций иллюстрируется поговорками: «Пан или пропал», «Кто не рискует, тот не выигрывает» и т.п.
Оптимальная стратегия по максимальному критерию гарантирует игроку А возможность выигрыша, равного максимаксу.
.
Критерий пессимизма-оптимизма Гурвица с показателем оптимизма lÎ[0; 1] ([1] – [7]).
1) Пусть А – матрица выигрышей игрока А.
2) Вероятности состояний природы неизвестны и нет возможности получить о них какую–либо надежную статистическую информацию.
Таким образом, решение о выборе оптимальной стратегии будет приниматься в условиях неопределенности.
3) Положим l=2. Элементы матрицы В
размера m x 2 определяются следующим образом:
|
| (20) |
4) Коэффициенты l1 и l2 выбираем следующим образом:
| l1=1-l; l2=l; lÎ[0, 1] | (21) |
Тогда, очевидно, условие (2) выполняется.
5) Обозначим показатель эффективности стратегии Аi, по критерию пессимизма-оптимизма Гурвица через Нi. Тогда по формуле (3) с учетом (20) и (21):
|
| (22) |
В формуле (22) l - показатель оптимизма, а (1-l) – показатель пессимизма игрока А при выборе им оптимальной стратегии. Чем ближе к единице показатель оптимизма, тем ближе к нулю показатель пессимизма, и тем больше оптимизма и меньше пессимизма. И наоборот. Если l=0,5, то и 1-l=0,5, т.е. показатели оптимизма и пессимизма одинаковы. Это означает, что игрок А при выборе стратегии ведет себя нейтрально.
Таким образом, число l выбирается в пределах от 0 до 1 в зависимости от склонности игрока А к оптимизму или пессимизму.
6) Цена игры по критерию Гурвица Н определяется из формулы (5):
7) Оптимальная стратегия Аk по критерию Гурвица соответствует показателю эффективности
Hk=H
Критерий Гурвица является промежуточным между критерием Вальда и максимаксным критерием и превращается в критерий Вальда при l=0 и - в максимаксный критерий при l=1.
Обобщенный критерий Гурвица с коэффициентами l1,…, ln ([4], [5]).
1) Пусть А – матрица выигрышей игрока А.
2) Вероятности состояний природы неизвестны. Так что решение принимается в условиях неопределенности.
3) Матрица В получается из матрицы А перестановкой элементов каждой ее строки в неубывающем порядке:
bi1£bi2£…£bin, i=1,…,m.
Таким образом, в 1-м столбце матрицы В стоят минимальные, а в n-м столбце максимальные выигрыши стратегий. Другими словами, в 1-м столбце матрицы В стоят показатели эффективности стратегий по критерию Вальда, а в n-м столбце – показатели эффективности стратегий по максимаксному критерию.
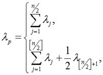
4) Коэффициенты l1,…, ln выбираются удовлетворяющими условиям (2) соответственно различной степени склонности игрока А к оптимизму. При этом показателем пессимизма игрока А называется число
где
целая часть числа
, а показателем оптимизма игрока А называется число
Очевидно, что lр+l0=1.
5) Показатель эффективности стратегии Аi по обобщенному критерию Гурвица определяется по формуле (3):
6) Цену игры по обобщенному критерию Гурвица определим по формуле (4):















