183870 (743645)
Текст из файла
1. ОБЩАЯ МЕТОДИКА ФОРМИРОВАНИЯ КРИТЕРИЕВ
Суть предлагаемой методики формирования критериев заключается в реализации следующих пунктов.
1) Из выигрышей аij, i=1,…,m; j=1,…,n, игрока А составляем матрицу А, предполагая, что она удовлетворяет указанным выше условиям: m³2, n³2 и она не содержит доминируемых (в частности, дублируемых) строк.
Выигрыши аij игрока А, представленные в виде матрицы А, дают возможность лучшего обозрения результатов выбора стратегий Аi, i=1,…,m, игроком А при каждом состоянии природы Пj, j=1,…,n.
2) Фиксируем распределение удовлетворяющих условию (1) вероятностей qj=p(Пj), j=1,…,n, состояний природы Пj, j=1,…n, разумеется, если они известны. Таким образом, пункт 2 участвует в методике формирования критерия в случае принятия решения в условиях риска.
3) На основании пунктов 1 и 2 выбираем натуральное число l, 1£l£n, и определенным образом строим матрицу
| В= | j Bi | 1 | 2 | … | l |
| B1 | b11 | b12 | … | b1l | |
| B2 | b21 | b22 | … | b2l | |
| … | … | … | … | … | |
| Bm | bm1 | bm2 | … | bml |
размера m x l. Построение конкретной матрицы В порождается содержательной идеей формируемого критерия.
4) Выбираем l из чисел l1,…, ll, удовлетворяющих условиям
Назовем их коэффициентами формируемого критерия. Они призваны играть роль количественных оценок некоторых субъективных проявлений игрока А (лица, принимающего решение), а именно степени доверия к распределению вероятностей состояний природы и степени его пессимизма (оптимизма) при принятии решений.
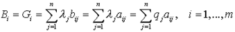
5) Используя матрицу В и коэффициенты l1,…, ll, каждой стратегии Аi, i=1,…,m, игрока А поставим в соответствие число
которое назовем показателем эффективности Аi.
Таким образом, показатель эффективности Gi стратегии Аi, i=1,…,m, учитывает определенным образом выигрыши игрока А при этой стратегии, вероятности состояний природы (если они известны) и его субъективные проявления при выборе наиболее эффективной стратегии.
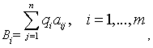
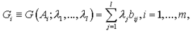
6) Определим цену игры G в чистых стратегиях как максимальный показатель эффективности стратегий Аi, i=1,…,m, т.е.
7) Определим оптимальную стратегию.
Оптимальной стратегией назовем стратегию Аk с максимальным показателем эффективности, другими словами, - стратегию, показатель эффективности Gk которой совпадает с ценой игры G:
| Gk= G. | (5) |
Понятно, что такое определение оптимальной стратегии не влечет ее единственности.
Отметим, что по логике этого пункта игрок А, выбирая оптимальную стратегию, максимизирует показатель Gi (см. (5)). Это обстоятельство оправдывает то, что этот показатель мы назвали (в пункте 5) показателем эффективности.
2. ФОРМИРОВАНИЕ НЕКОТОРЫХ ИЗВЕСТНЫХ КРИТЕРИЕВ-ЧАСТНЫЕ СЛУЧАИ ОБЩЕЙ МЕТОДИКИ
Критерий Байеса ([1], [2], [5], [7]).
1) Пусть А является матрицей выигрышей игрока А.
2) Известны вероятности qj=p(Пj), j=1,…,n, состояний природы Пj, j=1,…,n, удовлетворяющие условию (1). Следовательно, речь идет о принятии решения в условиях риска.
3) Полагаем l=n и матрицу В выбираем равной матрице А, т.е.
bij=aij для всех i=1,…,m и j=1,…,n.
4) Коэффициенты l1,…,ln, выбираем равными соответствующим вероятностям q1,…,qn, т.е. ll=qi, i=1,…,n. Этим самым игрок А выражает полное доверие к истинности распределения вероятностей q1,…,qn, состояний природы.
Из (1) следует, что коэффициенты lj, j=1,…,n удовлетворяют условию (3).
5) Показатель эффективности стратегии Аi по критерию Байеса обозначим через Вi и находим его по формуле (3):
Очевидно, что Вi – средневзвешенный выигрыш при стратегии Аi с весами q1,…,qn.
Если стратегию Аi трактовать как дискретную случайную величину, принимающую значения выигрышей при каждом состоянии природы, то вероятности этих выигрышей будут равны вероятностям состояний природы и тогда Вi есть математическое ожидание этой случайной величины (см. (6)).
6) Цена игры по критерию Байеса, обозначаемая нами через В, определяется по формуле (4):
7) Оптимальной среди чистых стратегий по критерию Байеса является стратегия Аk, для которой показатель эффективности максимален:
Вk=В.
Критерий Лапласа ([1], [2], [5], [7]).
1) Пусть А – матрица выигрышей игрока А.
2) Исходя из теоретических, либо из практических соображений, констатируется, что ни одному из возможных состояний природы Пj, j=1,…,n, нельзя отдать предпочтения. Потому все состояния природы считают равновероятностными, т.е. qj=n-1, j=1,…,n. Этот принцип называют принципом «недостаточного основания» Лапласа. Вероятности qj=n-1, j=1,…,n, удовлетворяют условию (1).
Поскольку вероятности состояний природы известны: qj=n-1, j=1,…,n, то мы находимся в ситуации принятия решения в условиях риска.
3) Пусть l=n, а в качестве матрицы В можно взять матрицу, получающуюся из матрицы А, если каждую строку последней заменить на произвольную перестановку ее элементов. В частности, можем положить В=А. В общем же случае элементы матрицы В имеют вид bij=aikj(i), i=1,…, m; j=1,…,n, где aik1(i), aik2(i),…,aikn(i) – некоторая перестановка элементов ai1, ai2,…,ain i-й строки матрицы А.
4) Пусть коэффициенты lj=n-1, j=1,…,n. Очевидно, они удовлетворяют условию (2).
Выбор коэффициентов lj, j=1,…,n, таким образом подтверждает полное доверие игрока А к принципу недостаточного основания Лапласа.
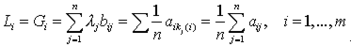
5) По формуле (3) показатель эффективности стратегии Аi по критерию Лапласа, обозначаемый нами через Li, равен:
Это есть средний арифметический выигрыш при стратегии Аi.
6) Цена игры по критерию Лапласа, обозначаемая нами через L, по формуле (4):
7) Оптимальной стратегией Аk по критерию Лапласа является стратегия с максимальным показателем эффективности:
Lk=L.
Заметим, что, как следует из (7) и (8), показатель эффективности Li будет максимальным тогда и только тогда, когда максимальной будет сумма
, и потому в качестве показателя эффективности стратегии Аi можно рассмотреть число
, а в качестве цены игры – число
.
Тогда оптимальной будет стратегия, сумма выигрышей при которой максимальна.
Критерий Вальда ([1] – [7]).
1) Предположим, что А – матрица выигрышей игрока А.
2) Вероятности состояний природы неизвестны и нет возможности получить о них какую-либо статистическую информацию. Поэтому игрок А находится в ситуации принятия решения в условиях неопределенности.
3) Пусть l=1 и
т.е. матрица В представляет собой вектор столбец размера m x 1.
4) Пусть коэффициент l1=1. Очевидно, условие (2) выполняется.
5) Обозначим показатель эффективности стратегии Аi по критерию Вальда через Wi. В силу (9) и значения коэффициента l1=1, по формуле (3) имеем:
Таким образом, показатель эффективности стратегии Аi по критерию Вальда есть минимальный выигрыш игрока А при применении им этой стратегии.
6) Цена игры по критерию Вальда, обозначим ее через W, находится по формуле (4):
7) Оптимальной среди чистых стратегий по критерию Вальда является стратегия Аk с максимальным показателем эффективности:
Wk=W.
Другими словами, оптимальной среди чистых стратегий по критерию Вальда считается та чистая стратегия, при которой минимальный выигрыш является максимальным среди минимальных выигрышей всех чистых стратегий. Таким образом, оптимальная стратегия по критерию Вальда гарантирует при любых состояниях природы выигрыш, не меньший максимина:
В силу (10), критерий Вальда является критерием крайнего пессимизма игрока А, а количественным выражением этого крайнего пессимизма является значение коэффициента l1, равное 1. Игрок А, принимая решение, действует по принципу наибольшей осторожности.
Хотя арабская пословица и гласит: «Кто боится собственной тени, тому нет места под солнцем», - тем не менее этот критерий уместен в тех случаях, когда игрок А не столько хочет выиграть, сколько не хочет проиграть. Использование принципа Вальда в обиходе подтверждается такими поговорками как «Семь раз отмерь – один раз отрежь», «Береженого Бог бережет», «Лучше синица в руках, чем журавль в небе».
Критерий Ходжа-Лемана [7].
1) Предположим, что матрицей выигрышей игрока А является матрица А.
2) Известны вероятности qi=p(Пj), j=1,…,n, состояний природы Пj, j=1,…,n, удовлетворяющие условию (1).
Таким образом, игроку А надлежит принимать решение в условиях риска.
3) Пусть l=2,
|
| (11) |
-
показатель эффективности стратегии Аi по критерию Вальда,
-
показатель эффективности стратегии Аi по критерию Байеса.
Матрица В примет вид
| В= |
|
т.е. bi1=Wi, bi2=Bi, i=1,…,m.
Характеристики
Тип файла документ
Документы такого типа открываются такими программами, как Microsoft Office Word на компьютерах Windows, Apple Pages на компьютерах Mac, Open Office - бесплатная альтернатива на различных платформах, в том числе Linux. Наиболее простым и современным решением будут Google документы, так как открываются онлайн без скачивания прямо в браузере на любой платформе. Существуют российские качественные аналоги, например от Яндекса.
Будьте внимательны на мобильных устройствах, так как там используются упрощённый функционал даже в официальном приложении от Microsoft, поэтому для просмотра скачивайте PDF-версию. А если нужно редактировать файл, то используйте оригинальный файл.
Файлы такого типа обычно разбиты на страницы, а текст может быть форматированным (жирный, курсив, выбор шрифта, таблицы и т.п.), а также в него можно добавлять изображения. Формат идеально подходит для рефератов, докладов и РПЗ курсовых проектов, которые необходимо распечатать. Кстати перед печатью также сохраняйте файл в PDF, так как принтер может начудить со шрифтами.
















