183666 (743608)
Текст из файла
Управление образования Московского района г. Минска
Государственное учреждение образования СШ № 41 г. Минска
Структура графа состояний клеточных автоматов определённого типа
Минск, 2009 г
Оглавление
§1 Введение
§1.1 Общие сведенья по клеточным автоматам
§2 Структура графа состояний для линейного оператора над Zp
§3 ACS-автомат
§3.1 Постановка задачи.
§3.2 Краткий обзор предыдущих результатов
§3.3 Структура G при p=2
§3.3.1 Исследование структуры
§3.3.2 Исследование высоты деревьев
§3.4 Структура G при p2
§4 Структура графа состояний оператора взятия разностей
§5 Перспективы исследования
§6 Резюме
Используемые источники. Список использованной литературы
§1 Введение
§1.1 Общие сведенья по клеточным автоматам
Клеточный автомат – это математический объект с дискретным пространством и временем. Каждое положение в пространстве представлено отдельной клеткой, а каждый момент времени – дискретным шагом или поколением. Состояние каждой клетки определяется некоторыми правилами взаимодействия. Эти правила предписывают изменения состояния каждой клетки в следующем такте времени в ответ на текущее состояние соседних клеток.
Общие правила построения клеточных автоматов:
-
Состояние клеток дискретно (0 или 1, но могут быть автоматы и с большим числом состояний).
-
Соседями является ограниченное число клеток.
-
Правила, задающие динамику развития клеточного автомата, имеют некоторую функциональную форму.
-
Клеточный автомат является тактируемой системой, т.е. смена клеток происходит одновременно.
Условные обозначения
| V(G) | Множество вершин графа G |
| E(G) | Множество ребер графа G |
|
| Поддерево g с корнем v |
|
| Множество вершин полного корневого поддерева g с корнем v дерева G, находящихся на m-том ярусе, относительно корня v. |
| D( | Множество висячих вершин графа |
|
| Поле вычетов по mod p (p – простое), т.е. {1,2,..,p-1} |
|
|
|
Некоторые стандартные обозначения векторов из
| (0,0,0,…,0)= | en | (1,0,1,1,0,1,…,0,1)= | rn для n=2k+1 |
| (1,0,0,…,0)= | dn | (1,1,0,1,1,0,…,1,1)= | sn для n=3k+2 |
Цели:
-
Исследовать структуру графа
:-
определить количество и высоту деревьев, описать их структуру;
-
определить количество и длину циклов графа
; -
описать множество висячих вершин графа
.
-
-
Рассмотреть те же вопросы для случая произвольного линейного оператора.
§2 Структура графа состояний для линейного оператора над Zp
Введение
Рассмотрим множество
и линейный оператор
такое, что – линейный оператор над полем Zp, в частности, этот оператор может задавать изменение состояния некоторого одномерного клеточного автомата с p состояниями.
Будем рассматривать граф состояний
, для которого
. Основной целью исследования является изучение структуры графа
.
Одним из важных свойств оператора , которое будет использоваться в дальнейшем, является его аддитивность:
Для исследования структуры графа G рассмотрим следующую нумерацию вершин нулевого дерева (см. рис. 2.1).
– вершина, находящаяся на m ярусе, при этом она входит в
(
), смысл этих обозначений станет ясным позже. Важно то, что в этих обозначениях в вершину
входят
, при этом вершины
входят в
(в нашем случае.
Рис. 2.1
Теорема 2.1
Пусть задана цепь:
тогда
.
Доказательство:
Воспользуемся методом математической индукции.
База m=1:
, действительно
причем
различные вершины, ч.т.д.
Пусть теорема верна для m = l-1, т.е
.
Докажем, что
Тем, самым, по построению
, мы покажем, что
.
Действительно, в силу линейности
:
Теорема 2.1 доказана.
Назовем дерево с корнем en = (0,0,…,0) – «нулевым» деревом, тогда для него верна следующая теорема.
Теорема 2.2
«Нулевое» дерево – p-нарное дерево с точностью до петли в корне (0,0..,0).
Доказательство:
По теореме 2.1 единственная цепь из висячей вершины в (0,0,..0) однозначным образом определяет все элементы дерева (различность определяемых вершин очевидна, и следует из простоты p).
Теорема 2.3
Каждое дерево притягиваемого каждой точкой каждого цикла графа G изоморфно нулевому» дереву.
Доказательство:
Для любых последовательностей k и l, находящихся на одном ярусе какого-то дерева, для которых выполняется условие:
верно равенство:
,
где
X
―одна из последовательностей «нулевого» дерева на n-ном ярусе (сумма в поле
) (Следует из теоремы 2.1).
Используя полученное соотношение можно достроить любое дерево до дерева изоморфного «нулевому».
§3 ACS-автомат
§3.1 Постановка задачи
В данной работе рассматривается клеточный автомат (одномерный), функционирование которого осуществляется по следующим правилам:
Дана полоска 1
n (сам автомат), все клетки, которой находятся в состояниях «0» и «1». Изменение состояния клетки определяется следующим образом: данная клетка переходит в состояние «1», если её соседи находятся в разных состояниях, и в «0»,если её соседи находятся в одинаковых состояниях. Клетки, находящиеся по краям переходят в то же состояние, которое было у единственной соседней клетки в предыдущий момент времени.
По полоске длины n будем определять вектор
, где
:
Рассмотрим множество
и отображение
такое, что
(здесь и ниже
– операция сложения по mod p=2, т.е. операция сложения в поле Z2).
Будем рассматривать граф состояний
, для которого
. Основной целью исследования является изучение структуры графа
.
Для начала рассмотрим некоторые определения и обозначения, которые будут использоваться в дальнейшем в работе:
-
Ориентированное дерево — это ориентированный граф без циклов, в котором из каждой вершины, кроме одной, называемой корнем ориентированного дерева, выходит ровно одно ребро (более подробно структуры дерева будет определена позже).
-
m-й ярус – множество вершин дерева, находящихся на расстоянии m от корня.
-
Частичный порядок на вершинах:
, если вершины u и v различны и вершина u лежит на единственном элементарном пути, соединяющем вершиной v с корнем дерева. -
Корневое поддерево с корнем v — подграф
. -
Множество
назовем множеством висячих вершин графа
.
§3.2 Краткий обзор предыдущих результатов
В прошлом году на ряде конференций (см. Используемые источники) была представлена работа по клеточным автоматам, в которой был исследован частный случай линейного оператора и найдены высоты деревьев для последовательностей, состоящих из 2n-1 элементов. В ней были представлены следующие утверждения, которые будут использоваться в дальнейшем:
Утверждение 3.2.1
.
Утверждение 3.2.2
1.
;
2.
, причем
3.
;
4.
.
Утверждение 3.2.3
;
и
.
Предисловие
В параграфе будет рассказано о свойствах графа состояний оператора , а именно будет описана его структура.
§3.3 Структура G при p=2
§3.3.1 Исследование структуры
Пользуясь утверждением 3.2.2, мы получаем, что среди всех последовательностей можно выделить следующие:
-
которые невозможно получить не из каких других, например: (1,0,0) (они будут образовывать висячие вершины графа);
2. которые, спустя несколько итераций возвращаются в начальное положение, например:
(1,0,0,0) (0,1,0,0) (1,0,1,0) (0,0,0,1) (0,0,1,0) (0,1,0,1) (1,0,0,0)
(такие последовательности в графе будут соответствовать вершинам цикла)
Используя утверждение 3.2.2, можно сделать вывод:
Теорема 3.3.1.1
Каждая компонента связности графа
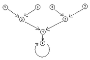
является циклом (возможно длины 1), каждый элемент которого притягивает дерево (т.е. является корнем ориентированного дерева) (см. рис. 3.2.1).
Наша основная задача определить длины циклов и высоты деревьев, описать их структуру и найти их количество.
Рис. 3.3.1
Теорема 3.3.1.2
Для любых последовательностей k и l, находящихся на одном ярусе какого-то дерева, для которых выполняется условие:
верно равенство:
, где
X
―одна из последовательностей «нулевого» дерева на n-ном ярусе.
Более точно это можно сформулировать так:
Рис. 3.2.2
Характеристики
Тип файла документ
Документы такого типа открываются такими программами, как Microsoft Office Word на компьютерах Windows, Apple Pages на компьютерах Mac, Open Office - бесплатная альтернатива на различных платформах, в том числе Linux. Наиболее простым и современным решением будут Google документы, так как открываются онлайн без скачивания прямо в браузере на любой платформе. Существуют российские качественные аналоги, например от Яндекса.
Будьте внимательны на мобильных устройствах, так как там используются упрощённый функционал даже в официальном приложении от Microsoft, поэтому для просмотра скачивайте PDF-версию. А если нужно редактировать файл, то используйте оригинальный файл.
Файлы такого типа обычно разбиты на страницы, а текст может быть форматированным (жирный, курсив, выбор шрифта, таблицы и т.п.), а также в него можно добавлять изображения. Формат идеально подходит для рефератов, докладов и РПЗ курсовых проектов, которые необходимо распечатать. Кстати перед печатью также сохраняйте файл в PDF, так как принтер может начудить со шрифтами.
, если вершины u и v различны и вершина u лежит на единственном элементарном пути, соединяющем вершиной v с корнем дерева.
.
назовем множеством висячих вершин графа 















