RACMET (743475), страница 5
Текст из файла (страница 5)
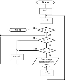
Б
лок-схема 4. – Алгоритм расчёта резервов времени сетевого графика
4.3Автоматизация процесса поиска особых путей сетевого графика
Как уже известно, найти особые пути сетевого графика представляется возможным только, если будут рассчитаны полные резервы времени всех, входящих в него работ. Тогда, перед поиском особых путей, необходимо выполнять, описанные в предыдущем подразделе алгоритмы по расчёту параметров сетевого графика.
Из раздела 3 ясно, что для поиска, и критического пути и наикратчайшего, возможно использовать одну и туже методику. Данная методика заключается в последовательном выборе, от 0-го события до завершающего, тех работ, которые имеют нулевые полные резервы времени. В случае, если параметры сетевого графика рассчитывались для положительных длительностей, входящих в него работ, то указанная методика даёт критический путь сетевого графика. Если же параметры рассчитывались при отрицательных длительностях работ, то методика даст наикратчайший путь сетевого графика.
Алгоритм, реализующий методику поиска особого пути сетевого графика, представлен в виде блок-схемы 4. , и основан на том, что таблица исходных данных и результатов
уже полностью рассчитана, либо при положительных, либо при отрицательных длительностях работ.
Имея в арсенале, все рассмотренные в данном разделе алгоритмы, любому программисту не составит труда объединить их в одну, общую программу анализа оптимальности сетевого графика по критерию оптимальности, подробно описанному в разделе 1. Проверка данного критерия, с целью выявления оптимальности сетевого графика, на столько проста в алгоритмической реализации, что специального рассмотрения не требует.
Б
лок-схема 4. – Алгоритм поиска особого пути сетевого графика
Заключение
В данном курсовом проекте были предложены и обоснованы рациональные методики поиска особых путей сетевых графиков. Рациональность данных методик заключается в том, что они позволяют найти критический и наикротчайший пути сетевого графика без перебора всех возможных вариантов. Последнее, позволяет в короткие сроки осуществить решение двух основных задач сетевого планирования: задачу анализа оптимальности уже готового сетевого графика и задачу его оптимизации по длительности, в случае, если сетевой график оказывается не оптимальным.
Кроме того, в курсовом проекте были рассмотрены вопросы автоматизации на ЭВМ рациональных методик поиска особых путей сетевого графика. В результате – разработаны блок схемы алгоритмов расчёта параметров сетевых графиков и поиска их особых путей, которые предполагается использовать при создании конкретной программы анализа оптимальности сетевых графиков на любом из известных языках программирования.
Значимость проделанной работы заключается в том, что применение предложенных методик, во-первых – позволяет точно судить об оптимальности сетевых графиков любой сложности, а во-вторых – сокращает затраты на сетевое планирование в целом, прежде всего, за счёт сокращения длительности разработки оптимальных сетевых графиков.
Список использованных источников
Технико-экономическое обоснование дипломных проектов проектов: Учеб. Пособие для втузов / Л. А. Астреина, В. В. Балдесов, В. К. Беклешов и др.; Под ред. В. К. Беклешова. – М.: Высш. Шк., 1991. – 176 c.: ил.















