169641 (742497)
Текст из файла
Городской методический центр информационных технологий
г. Мурманска
Компьютерное моделирование в экологии
Реферат
Выполнил: Паялов Е.В.
(ученик 11 класса школы № 49)
Проверил: Пустоваченко Н.Н.
(директор ГМЦИТ г. Мурманска)
Мурманск, 2005
Содержание
Введение………………………………………………………………………….3
1. Компьютерное моделирование в экологии………………………………….5
Заключение……………………………………………………………………….23
Список литературы………………………………………………………………24
Введение
Экология – одно из слов, появившихся сравнительно недавно у всех на устах и на страницах газет и журналов. Ещё в 60-х годах XX века никто, кроме узких специалистов, его не знал, да и большинство из тех, кто знал, использовал в таком смысле, который вряд ли способен заинтересовать широкую общественность. А между тем, термину более 120 лет.
Математическое моделирование в экологии используется практически с момента возникновения этой науки. И, хотя поведение организмов в живой природе гораздо труднее адекватно описать средствами математики, чем самые сложные физические процессы, модели помогают установить некоторые закономерности и общие тенденции развития отдельных популяций, а также сообществ. Кажется удивительным, что люди, занимающиеся живой природой воссоздают её в искусственной математической форме, но есть веские причины, которые стимулируют эти занятия. Вот некоторые цели создания математических моделей в экологии:
-
Модели помогают выделить суть или объединить и выразить с помощью нескольких параметров важные разрозненные свойства большого числа уникальных наблюдений, что облегчает экологу анализ рассматриваемого процесса или проблемы.
-
Модели выступают в качестве «общего языка», с помощью которого может быть описано каждое уникальное явление, и относительные свойства таких явлений становятся более понятными.
-
Модель может служить образцом «идеального объекта» или идеализированного поведения, при сравнении с которым можно оценивать и измерять реальные объекты и процессы.
-
Модели действительно могут пролить свет на реальный мир, несовершенными имитациями которого они являются.
Цель данной работы – познакомиться с некоторыми методами компьютерного моделирования в экологии и доказать важность компьютеров в моделировании экологических процессов.
Однако математическое (компьютерное) моделирование в экологии – достаточно обширная область исследования и по выбору объектов моделирования, и по набору методов, и по спектру решаемых задач. Поэтому довольно трудно охватить сразу все аспекты моделирования. Внимание в данной работе обращено на два класса методов: моделирование с помощью дифференциальных уравнений и методы, основывающиеся на экстремальных принципах биологии. Если примеры вариационных моделей относятся к довольно широкому кругу растительных и животных сообществ, то для подходов, основанных на дифференциальных уравнениях, в виду обширности материала внимание сконцентрировано на моделировании сообществ микроорганизмов.
Модели каждого из методов, безусловно, обладают своими достоинствами и недостатками. Так, дифференциальные или разностные уравнения позволяют описывать динамику процессов в режиме реального времени, тогда как вариационные методы, как правило, предсказывают лишь конечное стационарное состояние сообщества. Но на пути имитаций с помощью уравнений возникают трудности как принципиального, так и технического характера. Принципиальная трудность состоит в том, что не существует систематических правил вывода самих уравнений. Процедуры их составления основываются на полуэмпирических закономерностях, правдоподобных рассуждениях, аналогиях и искусстве модельера. Технические трудности связаны с высокой размерностью задач по моделированию сообществ. Для существенно многовидовых сообществ, потребляющих многочисленные ресурсы, требуется подбор сотен коэффициентов и анализ систем из десятков уравнений.
1. Компьютерное моделирование в экологии
1. Примеры уравнений. В разделе о моделировании с помощью дифференциальных уравнений в первую очередь рассматриваются модели фитопланктонных и микробиологических сообществ.
2. Моделирование сообществ фитопланктона. Традиционный путь изучения сообществ микроорганизмов заключается в моделировании непрерывных культур. Общее уравнение, описывающее кинетику концентрации клеток в таком процессе, имеет вид
где x – концентрация клеток в культиваторе,
– функция, описывающая размножение популяции, d – скорость вымывания. Скорость размножения может зависеть от концентрации клеток, концентрации субстрата s, температуры, pH среды и прочих факторов.
В микробиологических системах, как правило, скорость роста лимитируется концентрацией субстрата, что отражается зависимостью, предложенной Ж.Моно (Monod, 1942):
где
– максимальная скорость роста организмов при данных условиях,
– видоспецифическая константа, численно равная концентрации субстрата, при которой скорость роста культуры равна половине максимальной (константа полунасыщения).
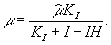
При моделировании динамики фитопланктона важную роль играет учет влияния уровня освещенности на скорость роста. В книге С.Йоргенсена (1985) описаны некоторые виды уравнений, применяемых в моделях. Зависимость между скоростью роста (скоростью первичного продуцирования) и освещенностью может быть описана уравнением Михаэлиса-Ментен
здесь I – освещенность, KI – константа полунасыщения по освещенности.
При освещенности выше пороговой (IH), начиная с которой происходит угнетение фотосинтеза, можно записать следующую зависимость:
Значения всех констант (
) зависят от адаптации к освещенности и температуры. Зависимость KI от температуры, как правило, линейна:
; am, KI0 – константы, KI0 – константа полунасыщения по освещенности в нулевой точке температурной шкалы. Зависимость IH от температуры так же может быть выражена линейной функцией:
; IH0 – пороговая освещенность в нулевой точке температурной шкалы, aH – константа.
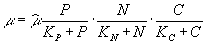
Как уже было сказано, скорость роста зависит от концентрации биогенных веществ. Для фитопланктона элементами, способными лимитировать рост, могут являться, например, азот, фосфор и углерод. Возможные способы отражения этого факта в работе С.Йоргенсена описаны следующим образом
,
где P, N, C – концентрация растворенного фосфора, азота и углерода; KP, KN, KС – соответствующие константы полунасыщения. Возможно также использование средней величины лимитирующих факторов:
.
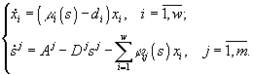
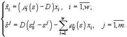
В работах Н.С.Абросова с коллегами была предложена следующая модель динамики экосистемы. Рассматривают организмы одного трофического уровня, которые существуют за счет совместного потребления ресурсов питания. Пусть ij(s1,...,sm) – скорость потребления единицей биомассы (особью) вида i ресурса j; i = i(s1,...,sm) – удельная скорость прироста биомассы (плотности) i-го вида; s = (s1,...,sm) – вектор концентрации ресурсов в среде; di – удельная скорость элиминации организмов i-го вида; Аj – скорость поступления j-го субстрата извне на единицу объема экосистемы; Di – удельная скорость удаления ресурса в открытой системе. Тогда динамика системы описывается уравнениями
Модель, описывающая культивируемое в хемостате сообщество, является частным случаем модели (3.1) при условиях di = Dj = D,
= Aj/D, где D – скорость разведения культуры,
– концентрация j-го субстрата в поступающей в реактор питательной среде, и задается системой уравнений
(Хемостат – непрерывный культиватор, в котором за счет саморегулирующх механизмов популяции поддерживается постоянная плотность популяции.)
В случае взаимозаменяемых ресурсов зависимость i(s) описывается выражением
или его линейной аппроксимацией
где ij – элементы матрицы приспособленности:
, здесь ij = cijYij, где cij – удельная скорость потребления j-го субстрата i-м видом организма, а Yij – экономический коэффициент использования j-го вещества i-м видом.
Если ресурсы взаимонезаменяемы, то
или
.
В приведенных выше формулах символ
обозначает максимально возможную удельную скорость роста организмов i-го вида; Kij – константа полунасыщения роста i-го вида на j-м субстрате.
В моделях, использующих дифференциальные уравнения, возможен учет лимитирования роста световой энергией. В этом случае предлагается использовать следующую зависимость:
здесь xi – концентрация клеток i-го вида; μi – удельная скорость роста i-го вида;
– максимально возможная удельная скорость роста организмов i-го вида;
– процентное содержание хлорофилла в биомассе; li – коэффициент поглощения света i-м видом;
– КПД фотосинтеза i-го вида клеток; Yi – величина, обратная калорийности биомассы i-го вида клеток; E – мощность ФАР (фотосинтетически активной радиации), падающей на поверхность культуры; d – толщина слоя культуры в кювете культиватора (приведено выражение для удельной скорости μi в случае лимитирования совместного роста двух видов только энергией света) (Абросов, Ковров, 1977).
А.Я.Болсуновским (1999) была предложена следующая математическая модель динамики компонентов сообщества из двух видов (спирулина и хлорелла), рост которых лимитируется интенсивностью света всей области ФАР
Характеристики
Тип файла документ
Документы такого типа открываются такими программами, как Microsoft Office Word на компьютерах Windows, Apple Pages на компьютерах Mac, Open Office - бесплатная альтернатива на различных платформах, в том числе Linux. Наиболее простым и современным решением будут Google документы, так как открываются онлайн без скачивания прямо в браузере на любой платформе. Существуют российские качественные аналоги, например от Яндекса.
Будьте внимательны на мобильных устройствах, так как там используются упрощённый функционал даже в официальном приложении от Microsoft, поэтому для просмотра скачивайте PDF-версию. А если нужно редактировать файл, то используйте оригинальный файл.
Файлы такого типа обычно разбиты на страницы, а текст может быть форматированным (жирный, курсив, выбор шрифта, таблицы и т.п.), а также в него можно добавлять изображения. Формат идеально подходит для рефератов, докладов и РПЗ курсовых проектов, которые необходимо распечатать. Кстати перед печатью также сохраняйте файл в PDF, так как принтер может начудить со шрифтами.















