169641 (742497), страница 3
Текст из файла (страница 3)
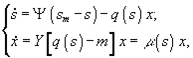
в) периодическая культура с подпиткой (ПКП)
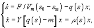
г) периодическая культура с газовым питанием
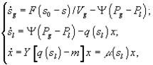
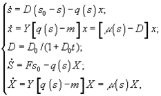
– величины концентрации лимитирующего субстрата в диализном сосуде, в газовой и жидкой фазах; Pg и Pl – парциальные давления; Ψ – коэффициент массопереноса;
– объемы диализного сосуда, воздушной фазы ферментера,; S, X – количество субстрата и биомассы в расчете на всю культуру (s, x – в расчете на единицу объема); F – поток лимитирующего субстрата; s0 – исходная концентрация лимитирующего субстрата; q(s) - скорость потребления лимитирующего субстрата.3
2) Непрерывная гомогенная культура с “залповой” подачей лимитирующего субстрата, при которой в обычную хемостатную культуру непрерывно поступает питательная среда, но без одного из существенных компонентов, который вносится в виде малой порции концентрированного раствора A через регулярные достаточно большие промежутки времени
. В этом случае динамика лимитирующего субстрата s и микробной биомассы x описывается системой
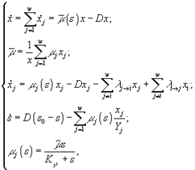
Применяют также обычное гомогенное периодическое культивирование и воспроизведение пространственно-неоднородного роста микроорганизмов:
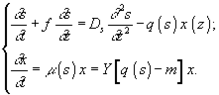
а) культура полного вытеснения
f – скорость перемещения малого элемента культуральной жидкости по пространственной координате z; Ds и Dx – коэффициенты диффузии для субстрата и клеток;
б) проточный реактор с иммобилизованными клетками
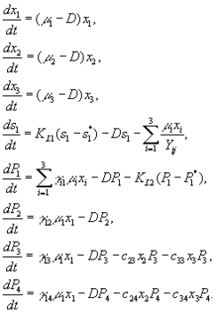
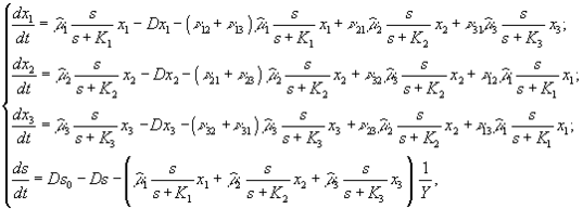
Одной из областей применения дифференциальных уравнений в моделировании микробиологических сообществ является анализ возможных стационарных состояний смешанной культуры. Примером такого исследования может служить работа И.Р.Спивака и Дж.С.Рокема, в которой изучалось взаимодействие двух видов гетеротрофных бактерий, конкурирующих за промежуточные внеклеточные метаболиты, выделяемые бактериями-метилотрофами. Эти метаболиты, в свою очередь, являются ингибиторами для метилотрофных бактерий. Система уравнений, описывающих такое сообщество, включает в себя выражения для динамики бактериальных биомасс, а также динамики концентрации кислорода, метанола, этанола, ацетата в ферментационной жидкой среде
Удельная скорость роста видов задается формулами
Скорость потребления субстрата cij может быть представлена как
В вышеприведенных уравнениях использованы обозначения: xi (i = 1,2,3) – бактериальная биомасса метилотрофа и двух видов гетеротрофов;
– удельная и максимальная удельная скорости роста i-го вида; D – скорость вымывания; s1, Pj (j = 1…4) – концентрации кислорода, СО2, метанола, этанола и ацетата в среде соответственно (верхний индекс * обозначает концентрацию вещества в стацонарном состоянии); KLi (i=1,2) – коэффициент переноса массы для кислорода и СО2 соответственно; Yij (i = 1,2,3; j = 1,3,4) – выход бактерий вида i на j-м субстрате;
(i = 1,2,3; j = 1,3,4) – коэффициент подобия бактерий вида i субстрату j;
(i = 1,2,3; j = 1,…,4) – коэффициент чувствительности бактерий вида i к метабоиту n;
– удельная скорость выделения внеклеточного метаболита j бактериями вида i.
В работе подробно изучены 6 различных способов лимитирования: метилотрофные бактерии во всех случаях лимитируются конценрацией растворенного кислорода, два вида гетеротрофов лимитируются либо оба промежуточными внеклеточными метаболитами, либо оба максимальной удельной скоростью роста, либо оба конценрацией растворенного кислорода, либо сочетнием двух разных лимитирующх факторов. Среди полученных результатов необходимо отметить возможность существования устойчивой культуры, состоящей из трех бактериальных видов, конкурирующих за кислород.
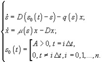
Важным направлением микробиологических исследований является изучение генетической неоднородности клеток в непрерывной культуре. Хемостатная модель, описывающая ситуацию, когда исходная форма дает целый веер мутаций с реверсиями, записывается следующим образом
здесь xi – концентрация i-го варианта; x – суммарная концентрация клеток в хемостатной культуре;
– матрица всех возможных переходов между вариантами xi.
Попытка провести количественную оценку возможного вклада процесса диссоциации – расщепления однородной популяции бактерий на варианты, различающиеся генетическими, физиолого-биологическими и морфологическими свойствами – в формирование гетерогенной биологической популяции была предпринята в работах Е.С.Милько с соавторами. Математическая модель для таких процессов выражается системой уравнений
где
– биомассы R-, S-, и M-диссоциантов соответственно; s – концентрация субстрата в среде; Ki – константа полунасыщения вида i субстратом s; D – скорость протока; s0 – начальная концентрация субстрата; Y – экономический коэффициент, принятый в модели одинаковым для всех диссоциантов;
– частота диссоциативных переходов.
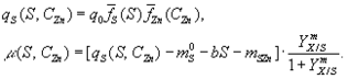
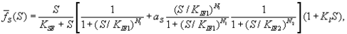
Важным фактором баланса роста клеток являются затраты энергии на их поддержание. Эти затраты складываются из расходов на повторный синтез нестабильных макромолекул и клеточных структур, на поддержание градиентов веществ между клеткой и окружающей средой, а также между компартментами клетки, на подвижность клеток (если они ею обладают), процесс сброса избыточной энергии, поступающей в клетки (Минкевич и др., 1998). Удельная скорость затрат энергии на поддержание
зависит от вида микроорганизмов, субстрата, температуры, возможно, и от других факторов. Влияние концентраций ингибирующих субстратов этанола и цинка на величину
клеток этанолассимилирующих дрожжей Candida valida изучалось в работе И.Г.Минкевича с соавторами. В результате исследования были получены формулы для скорости потребления энергетического субстрата qS и удельной скорости роста
, которые отражают качественные особенности влияния данных субстратов на рост культуры – лимитирования, существования наклонного плато и субстратного ингибирования:
Член
, описывающий влияние этанола, имеет вид
член
, описывающий влияние цинка на скорость потребления энергетического субстрата qS , записывают как
Влияние концентрации цинка в окружении клеток на удельную скорость затрат энергии на
описывают выражениями
В приведенных формулах CZn обозначает внешнюю концентрацию цинка, CZn1 и CZn2 – внутреннюю концентрацию цинка, S – концентрацию этанола;
– максимальный выход роста; b – константа;
– физиологические параметры культуры Candida valida.
Предлагаемая модель обеспечивает высокую степень соответствия экспериментальным данным и объясняет многие особенности поведения культуры. По мнению авторов, описанные зависимости могут применяться ко многим органическим и минеральным субстратам, в том числе обладающим токсическим действием на микроорганизмы.4
Заключение
Т
аким образом, ситуация сосуществования видов возможна только, когда точка (
) лежит в секторе II. На плоскости
область значений L1 и L2, при которых виды могут сосуществовать, задается сектором с вершиной в точке (
) и сторонами, параллельными сторонам сектора II (рис. ).
Рис.
В области x1, x2 сосуществуют два вида. L1, L2 – общие запасы питательных веществ
В итоге, можно выделить 12 различных способов заполнения плоскости биогенов (три варианта принадлежности точки (
) одному из секторов, каждый из которых делится на четыре по положению значений
на оси L1 и
на оси L2). Причем, кроме случаев, когда области доминирования прилегают друг к другу, существуют варианты наложений различных исходов (в этой ситуации результат зависит от начального значения биомасс), а также разрывы, внутри которых происходят колебания.
Безусловно, можно сказать, что привлечение компьютеров существенно раздвинуло границы моделирования экологических процессов. С одной стороны, появилась возможность всесторонней реализации сложных математических моделей, не допускающих аналитического исследования, с другой – возникли принципиально новые направления, и, прежде всего, – имитационное моделирование.
Список литературы:
1. Бигон М., Харпер Дж., Таусенд К. Экология: В 2 т. М.: Мир, 1989.
-
Бродский А.К. Краткий курс общей экологии. СПб.: Изд-во СПбГУ, 1992.
3. В.П.Зайцева, А.В.Паялов. В помощь учителю. Мурманск, 1999
4. Хованов Н.В. Биометрия. СПб., 1994.
5. Гублер Е.В. Вычислительные методы анализа и распознавания патологических процессов. М.: Медицина, 1978.
6. Акоев И.Г., Максимов Г.К., Малышев В.М. Лучевое поражение млекопитающих и статистическое моделирование. М., 1972.
1 Хованов Н.В. Биометрия. СПб., 1994, 54 с.; Бигон М., Харпер Дж., Таусенд К. Экология: В 2 т. М.: Мир, 1989, 2 т. 87 с.
2 Бродский А.К. Краткий курс общей экологии. СПб.: Изд-во СПбГУ, 1992., 96 с.
1. Бигон М., Харпер Дж., Таусенд К. Экология: В 2 т. М.: Мир, 1989, 1 т. 76 с.
3 Бродский А.К. Краткий курс общей экологии. СПб.: Изд-во СПбГУ, 1992., с 23
4 Бродский А.К. Краткий курс общей экологии. СПб.: Изд-во СпбГУ, 1992, с 103















