169641 (742497), страница 2
Текст из файла (страница 2)
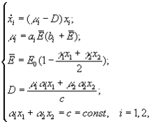
где xi – концентрация клеточного хлорофилла; μi – удельные скорости роста; ai, bi – константы уравнения Михаэлиса-Ментен;
– средняя освещенность для всего сообщества; E0 – поверхностная освещенность; D – скорость протока.
Кроме того, в моделях возможно отразить эффекты метаболического воздействия, как, например, это было сделано Ю.А.Домбровским с соавторами (1990). Скорость роста фитопланктона i -го вида описывалась выражением
где x1, x2, s – концентрации двух видов фитопланктона и минерального вещества, выраженные в единицах лимитирующего биогенного вещества;
– коэффициенты метаболизма; Mi – максимальная скорость фотосинтеза; Hi – параметр насыщения;
– эмпирический коэффициент ингибирования i-го вида j-м.
Как уже указывалось выше, при моделировании динамики биомассы фитопланктона, чаще всего используют уравнение Моно, описывающее зависимость удельной скорости роста популяции μ от концентрации s лимитирующего рост субстрата
где
– максимальная скорость роста; Ks – константа полунасыщения при лимитировании данным субстратом. (В общем случае
и Ks зависят от вида фитопланктона.) Теоретическое объяснение указанной зависимости обычно основывается на представлениях биохимической кинетики, связанных с концепцией “узкого места” метаболизма (Алексеев и др., 1992). Живая клетка представляет собой строго сбалансированную систему ферментативных реакций, при этом общая скорость прироста биомассы
предполагается пропорциональной скорости реакции, которая ограничена недостатком субстрата в среде. В простейшем случае зависимость скорости ферментативной реакции от концентрации субстрата описывается формулой Михаэлиса-Ментен. Поскольку в формуле Михаэлиса-Ментен константы
и Ks есть функции от скоростей прямой и обратной ферментативной реакции, то постоянство
и Ks предполагает постоянство этих скоростей. Таким образом, в основе использования зависимости Моно лежит неявное предположение об инвариантности во времени соотношения элементов в клетке (так как только при постоянстве состава клетки могут оставаться постоянными скорости ферментативных реакций). Кроме того, при подходе, основанном на зависимости Моно, процессы поглощения питательных веществ и роста фитопланктона не различаются.
Формула (3.3) упрощается в связи с предположением, подтвержденным экспериментально, что константа полунасыщения и минимальное клеточное содержание соответствующего биогена равны, и принимает вид
Дж.Фухсом в эксперименте на двух видах диатомовых продемонстрирована связь скорости роста водорослей с клеточной концентрацией фосфора в виде
(Обозначения те же, что и в формулах (2), (3).)
В.Бьерман (Bierman, 1976) в модели внутригодовой сукцессии фитопланктона (четыре группы водорослей, три биогенных элемента – азот, фосфор, кремний) выражал зависимость роста от клеточного фосфора формулой
, от клеточного азота – формулой Друпа (3), а от клеточного кремния – формулой Моно (2).
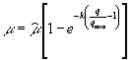
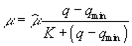
Кроме минимального содержания элемента qmin в клетке, важной характеристикой вида является величина qmax – максимальное значение элемента питания, которое может накопиться в клетке. Можно привести несколько примеров использования величины qmax в формулах для скорости роста клеток в модели весеннего цветения диатомовых на Балтике применял зависимость
А.Дота в модели поликультуры пресноводных водорослей использовал выражение
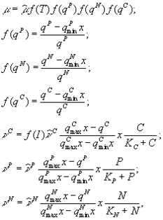
На непостоянство стехиометрических соотношений углерода, азота и фосфора в составе фитопланктона указывал С.Йоргенсен (1985). Он отмечал, что, как показали лабораторные опыты, развитие фитопланктона происходит в два этапа: на первом идет поглощение биогенных веществ, а на втором – клеточное деление, регулируемое внутриклеточной концентрацией ресурсов. С.Йоргенсен (Jørgensen, 1976) использует следующую систему уравнений
где
– внутриклеточные концентрации биогенных элементов (соответственно, фосфора, азота и углерода), выраженные в мг на 1 л воды;
– минимальные и максимальные значения содержания трех биогенных веществ в составе фитопланктона; x – концентрация фитопланктона;
– скорости поглощения углерода, фосфора, азота;
– соответствующие максимальные скорости поглощения; C, P, N – концентрации биогенных элементов в окружающей среде;
– функции, характеризующие зависимости интенсивности фотосинтеза от освещенности и температуры.
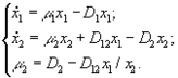
Существуют некоторые данные, которые позволяют сравнить результаты моделирования с использованием концепции клеточной квоты и без ее использования. Л.А.Кучай (Кучай, 1985) специально сравнивала модели, описывающие кругооборот биогенных ресурсов (азота или азота и фосфора) в замкнутой системе, включающей одну группу фитопланктона, питательные элементы и детрит. При использовании клеточной квоты удельная скорость роста задавалась формулой Друпа, при этом в случае двух ресурсов использовался принцип минимума Либиха. Оказалось, что модели с использованием клеточной квоты дают большее число возможных сценариев развития фитопланктона и позволяют описывать ситуации, реально встречающиеся в природе, например, ситуацию нарастания биомассы фитопланктона в условиях почти нулевой концентрации биогенного элемента в среде или ситуацию резкого скачка отношения N:P в среде в момент кульминации цветения.
В настоящее время среди исследователей установилось мнение, что модель Моно адекватна при описании устойчивого роста водорослей в стационарных условиях, подобных хемостату, а для описания процесса роста при изменяющихся внешних условиях, например, при моделировании внутригодовой сукцессии фитопланктона, необходима более сложная модель, выбранная в соответствии с предположением зависимости скорости роста от клеточных концентраций ресурсов. Одной из ситуаций, где при моделировании необходимо привлечение концепции клеточной квоты, является накопительное культивирование.1
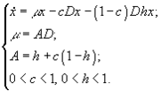
Дифференциальные уравнения в микробиологии. Дифференциальные уравнения, описывающие и концентрации микробной биомассы (x) и концентрации лимитирующего субстрата (s) в условиях хемостатного культивирования, которые были выведены Ж.Моно исходя из условий материального баланса, составили первую модель роста микробных популяций.
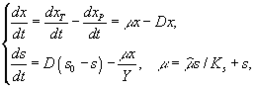
где xP – концентрация микроорганизмов в приемнике, куда сливается нарастающая бактериальная суспензия; xT – суммарная концентрация микроорганизмов (xT = x + xP); μ – удельная скорость роста,
– максимальная скорость роста; s – концентрация лимитирующего ресурса в среде; Ks – константа полунасыщения при лимитировании данным субстратом; s0 – величина концентрации лимитирующего субстрата на входе в культиватор; D – скорость разбавления, равная отношению скорости поступления питательной среды к объему культуры; Y – экономический коэффициент (выход биомассы на единицу потребленного субстрата).
Принципиальной особенностью данной открытой системы является возможность установления динамического равновесия. В установившемся состоянии μ = D, а
(
– постоянные значения стационарного состояния).2
Необходимо также отметить, что при превышении скорости разбавления D критического значения
наступает режим вымывания, т.е. скорость потока настолько велика, что прирост биомассы не может компенсировать ее отток. Нулевое значение концентрации биомассы и равенство концентрации лимитирующего ресурса в среде значению последней на входе в культиватор является неустойчивым положением равновесия при скорости разбавления ниже критической и устойчивым при больших скоростях
.
Для различных методов проточного культивирования динамика концентрации биомассы микроорганизмов описывается соответствующими дифференциальными уравнениями (Паников, 1991).
1) Турбидостат
– оптическая плотность.
Наряду с различными способами гомогенного непрерывного культивирования для лабораторных исследований применяют и другие методы:
1) Непрерывное культивирование без выноса микробных клеток:















