166719 (740408)
Текст из файла
Содержание
Введение
-
Исходное сырьё для получения МФС
-
Получение МФС
-
Технология производства
-
Свойства мочевино-формальдегидных смол
-
Применение
Заключение
Список литературы
Введение
Первые продукты конденсации мочевины с формальдегидом (карбамидные смолы) были получены еще в 1896 г., но производство мочевино-альдегидных смол налажено лишь в 1920—1921 гг.
Мочевино-формальдегидные смолы выпускались в виде литых прозрачных органических стекол (например, поллопаса) или прессованных изделий различной формы, но оказалось, что они недолговечны из-за недостаточной водостойкости и растрескивания. Поэтому эти смолы до введения в них наполнителя (целлюлозы, древесной муки, хлопкового волокна) в технике не использовались. Применение наполнителей уменьшило чувствительность изделий к изменению климатических условий. Хотя при этом прозрачность отчасти и терялась, но сохранялась светостойкость и возможность окрашивать изделия в светлые тона, а в ряде случаев получали также и просвечивающие изделия. Эти свойства позволили применять мочевино-формальдегидные смолы в декоративной технике, в которой феноло-формальдегидные смолы непригодны из-за темного цвета. Смолы совместной конденсации мочевины, тиомочевины и формальдегида отверждаются быстрее и водостойкость их лучше, чем мочевино-формальдегидных смол. Но они постепенно окрашиваются, что также ограничивает их применение.
В 1929 г. было впервые налажено производство пресс-порошков на основе мочевино-формальдегидных смол и целлюлозного волокна, а несколько позже (в 1934 - 1936 гг.) — слоистых пластиков на основе смолы и бумаги. Одновременно изучались возможности применения смол для изготовления лаков.
В настоящее время производство лаков и эмалей основано на использовании этерифицированных мочевино-формальдегидных смол и совмещенных продуктов.
В СССР производство мочевино-формальдегидных смол осуществлено на основе работ Г. С. Петрова и А. А. Ваншейдта с сотрудниками.
В настоящее время из мочевино-формальдегидных смол производят пресс-порошки, слоистые материалы, пенопласт, лаки и клеи. Смолы применяют для обработки тканей, бумаги, в производстве древесноволокнистых плит, в качестве связующего для изготовления формовочных смесей при литье металла и т. п.
1 Исходное сырьё для производства МФС
Мочевина. В чистом виде мочевина представляет собой бесцветные длинные иглы или белые призматические кристаллы. Она является диамидом угольной кислоты (карбамидом):
Мочевина – это бесцветный кристалл с молекулярной массой 60.06 г/моль, плотностью 1.335 г/см3, показателем преломления 1.484, температурой плавления 132.7
и температурой возгонки в вакууме 120 – 130
.
Функциональность мочевины до настоящего времени является спорной. Хотя в некоторых реакциях все атомы водорода при атомах азота могут быть замещены, но, как указывает Марвел с сотрудниками, при образовании мочевино-формальдегидных смол она является трифункциональным соединением. Поэтому мочевину правильнее рассматривать как амид аминомуравьиной кислоты.
Водные растворы мочевины имеют нейтральную реакцию на лакмус, - но наличие NH
- групп обуславливает слабый основной характер. Константа ионизации мочевины в воде при 25 °С, равная
, указывает на ее слабое сродство к протону воды.
Несмотря на недостаточно выраженные свойства мочевины как основания, органические и неорганические кислоты образуют с ней соли. Сильные кислоты (азотная, серная и соляная) дают продукты присоединения в молярном соотношении 1:1, а более слабые органические кислоты (муравьиная, уксусная, пропионовая) — 1:2.
Мочевина достаточно устойчива при температуре плавления (133° С), но при более высокой температуре разлагается, выделяя аммиак и образуя биурет с температурой плавления 193° С:
2CO(NH
)
NH
+
Нагревание в вакууме до 120—130 °С приводит к возгонке мочевины. В разбавленных водных растворах кислот и щелочей, а также в воде мочевина менее устойчива и начинает разлагаться при нагревании выше 50 °С на аммиак и двуокись углерода.
Мочевина хорошо растворяется в воде, хуже в спирте.
Все современные методы производства мочевины основаны на химическом взаимодействии аммиака с двуокисью углерода и разложении полученных карбаматов аммония на мочевину и воду:
1. CО
+2NH
H2N-COONH
2. H2N-COONH4
H2O+H
NCONH
Обе реакции протекают в автоклаве при 160—200 °С и давлении 120—200 am, с большим выделением тепла. Продукты реакции (вода, мочевина, непрореагировавший карбамат аммония и аммиак, который в ряде процессов берется с большим избытком для повышения выхода мочевины с 40—50 до 75%) под уменьшенным давлением вводятся в другой аппарат. В нем происходит отделение водного раствора мочевины, разложение карбамата аммония на исходные продукты и вывод аммиака и двуокиси углерода для дальнейшего их разделения и рекуперации с целью возврата в производство.
Мочевина применяется в производстве пластмасс, в медицине, используется для разделения органических соединений, стабилизации поливинилхлорида и сополимеров винилхлорида с винилацетатом, как удобрение и в качестве растворителя.
Формальдегид (муравьиный альдегид) — бесцветное газообразное вещество со своеобразным острым запахом; температура кипения -19,2 °С; температура плавления -92 °С; плотность при —20 °С равна 0,8153 г/см3.
Газообразный формальдегид самопроизвольно полимеризуется при комнатной температуре и очень быстро — в присутствии небольших количеств хлористого водорода, фтористого бора и хлористого олова и температуре 90 °С; при этом образуется белый высокоплавкий порошок — параформальдегид — с температурой плавления 164—172 °С.
Параформ, или параформальдегид (СН2О)n, является аморфным полимером формальдегида.
Формальдегид легко растворяется в воде или в водном метаноле. Вода поглощает до 50% СН2О. Большинство исследователей считает, что в водных растворах формальдегид находится почти исключительно в гидратированной форме — в виде метиленгликоля.
СН2О + Н2О
HOCH2OH
Этот вывод основан на том, что водные растворы формальдегида кипят при 100 °С, и что дистиллат при перегонке содержит формальдегида меньше, чем кубовый остаток. Если бы растворенный формальдегид не был в виде гидрата, он должен был бы отгоняться даже при слабом нагревании.
Формальдегид в водных растворах любой концентрации склонен к уплотнению с образованием полиоксиметиленгликолей. При этом происходят следующие реакции:
1) Образование димера:
НОСН2ОН + НОСН2ОН
HOCH2OCH2OH + Н2О
2) Удлинение цепи:
НОСН2ОСН2ОН + nНОСН2ОН
HO(CH
O)n+1CH
OH + nH2O,
где n = 3 - 4.
Таким образом, водные растворы формальдегида, называемые формалином, всегда содержат растворимые полиоксиметиленгликоли.
Формалин всегда содержит немного муравьиной кислоты, количество которой увеличивается при длительном хранении вследствие окисления формальдегида:
2СН2О + О2
2НСООН
Из других свойств этого простейшего альдегида отмечаются те, которые необходимы для понимания закономерностей образования смол:
1) одновременное самоокисление и самовосстановление альдегидной группы в присутствии водного раствора щелочи, сопровождающееся образованием метилового спирта и муравьиной кислоты;
2) образование ацеталей при нагревании формальдегида сo спиртами (например, бутиловым):
СН2О + 2С4Н9ОН
С4Н9ОCН2ОC4Н9 + Н2О;
3) образование гексаметилентетрамина (уротропина) при действии аммиака на формальдегид:
6CH2O + 4NH3
(CH2)6N4 + 6H2O;
Основным промышленным способом получения формальдегида является окисление метилового спирта кислородом воздуха при 400—600 °С в присутствии катализатора. Одновременно протекают две реакции — окисление и дегидрирование:
СН3ОН +
О2
СН2О + Н2О + 36,8 ккал/моль;
СН3ОН
СН2О + Н2 - 28,8 ккал/моль;
Катализаторами процесса служат серебро, медь, окись молибдена (промотированная железом), фосфат марганца (промотированный молибденом) и др.
В последние годы формальдегид получают также окислением метана кислородом воздуха в присутствии окислов азота при 400—600 °С. Окисление протекает по схеме:
CН4 + O2
CH2O + H2O (основная реакция)
2СН4 + О2
2СН3ОН (побочная реакция)
Разработаны способы получения формальдегида в смеси с другими продуктами реакции окислением кислородом воздуха некоторых углеводородов (пропана, н-бутана, изобутана при 400-500 °С).
2 Получение МФС
Механизм образования мочевино-формальдегидных смол детально не выяснен. Однако установлено, что при поликонденсации мочевины с формальдегидом в водном растворе в зависимости от рН среды, соотношения исходных компонентов, продолжительности реакции и температуры могут быть получены различные продукты. Так, в щелочной среде (рН 11–13) даже в разбавленных растворах образуется монометилолмочевина H2N-CO-NH-CH2-OH; в нейтральных и слабощелочных средах (рН 7–8) в зависимости от соотношения исходных компонентов – моно- и диметилолмочевины OC(NHCH2OH)2. Последняя образуется также при взаимодействии монометилолмочевины с формальдегидом. Положение равновесия этих реакций не зависит от рН среды, а определяется концентрацией реагирующих веществ и температурой.
При взаимодействии мочевины с формальдегидом в сильнокислой среде (рН<3) образующиеся метилолмочевины сразу же подвергаются дегидратации, давая метиленмочевины, например,
которые в условиях реакции быстро превращаются в полиметиленмочевины общей формулы (С2Н4N2O)n - неплавкие и нерастворимые аморфные продукты, не имеющие практического значения. Поэтому для получения мочевино-формальдегидных смол процесс следует проводить в условиях, способствующих образованию метилольных производных мочевины.
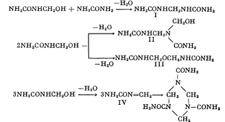
Моно- и диметилолмочевины – белые кристаллические продукты, растворимые в воде и метаноле; первый плавится при 111 °С (из этанола), второй – при 121 – 126 °С (из 80%-ного этанола); диметилолмочевина при нагревании растворяется также в этаноле. При нагревании безводные моно- и диметилолмочевины превращаются в полиметиленмочевины; первая полностью переходит в нерастворимый продукт при 100 °С, вторая – выше 140 °С. В водных кислых растворах (рН 4.5–6.0) метилолмочевина способна к дальнейшим превращениям с образованием, вероятно, метилен-бис-амида (I), метилолметилен-бис-амида (II) или простого эфира (III) и азометилена (IV), который сразу же тримеризуется:
3>Характеристики
Тип файла документ
Документы такого типа открываются такими программами, как Microsoft Office Word на компьютерах Windows, Apple Pages на компьютерах Mac, Open Office - бесплатная альтернатива на различных платформах, в том числе Linux. Наиболее простым и современным решением будут Google документы, так как открываются онлайн без скачивания прямо в браузере на любой платформе. Существуют российские качественные аналоги, например от Яндекса.
Будьте внимательны на мобильных устройствах, так как там используются упрощённый функционал даже в официальном приложении от Microsoft, поэтому для просмотра скачивайте PDF-версию. А если нужно редактировать файл, то используйте оригинальный файл.
Файлы такого типа обычно разбиты на страницы, а текст может быть форматированным (жирный, курсив, выбор шрифта, таблицы и т.п.), а также в него можно добавлять изображения. Формат идеально подходит для рефератов, докладов и РПЗ курсовых проектов, которые необходимо распечатать. Кстати перед печатью также сохраняйте файл в PDF, так как принтер может начудить со шрифтами.
















