166243 (740175)
Текст из файла
Окисление парафиновых углеводородов
Ряд процессов жидкофазного окисления углеводородов в настоящее время реализованы как крупнотоннажный производства, например СЖК [2], высших жирных спиртов и др. [3].
Изучения жидкофазного окисление насыщенных углеводородов оказалось весьма плодотворным для установления общих закономерностей процесса окисления. На примере окисления индивидуальных углеводородов и их смесей получены фундаментальные знания о механизме радикальных реакций [3,4-7].
Некоторые особенности процесса жидкофазного окисления парафиновых углеводородов.
Окисления парафиновых углеводородов хорошо изученный процесс [7,8,10-12].
Известно, что окисление парафиновых углеводородов молекулярным кислородом приводит к образованию большого число промежуточных и конечных кислородсодержащих продуктов: перекисей, спиртов, карбонильных соединений, кислот, эфиров, а также бифункциональных соединений.
Найден ряд катализаторов процесса окисления углеводородов, таких как, растворимые комплексы титана [9], хлорид платины [14], комплексы ванадия (5V) [15], Pd, Pt, Co, Fe нанесенные на носитель, например, на цеолита [16], система на основе Ti, Zr, V, Cr, Mo, W, Mn, Fe и имида [19], система из растворимых соединений кобальта и хрома [21], мультиоксиды металлов [23], алкилперокси- комплексы трехвалентного кобальта [25], смесь азотной кислоты и уксусного ангидрида [26], комплексы марганца и органических кислот содержащих ароматических фрагментов [29], комплексы металлов [30], SiO2 , AI2O3 , ZrO и другие на носителе [31] комплексы металлов, содержащую имидную группировку [32], система на основе Bi, V, Mo, Ag [33], Мn содержащий катализатор, нанесенный на молекулярный сита [34]. Известны каталитические системы ведущие процесс окислению углеводородов селективно [13,18,22,24,28].
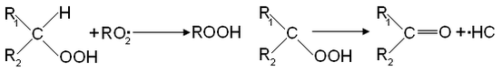
К настоящему времени считается доказанным, что в случае окисления предельных углеводородов гидроперекиси единственные первичные промежуточные продукты.
Изучения строения образующихся при окислении гидроперекисей показало, что строение углеводородного радикала R в гидроперекиси R'OOH сохраняется таким же, как и в исходном углеводороде RH [3].
Образующиеся при окислении радикалы R'02 взаимодействует с молекулой исходного углеводорода, отрывая атом водорода и образуя гидроперекиси по реакции
При окислении разветвленных парафинов с двумя третичными связями С - Н в большом количестве были обнаружены дигидроперекиси. Окисление проводили при 115 — 120°С до глубины 5 -8 % (мол.) [3]. В начальный период окисления свободные радикалы образуются при взаимодействии исходного углеводорода с растворенным в нем кислородом
Радикал R* присоединят к себе молекулу кислорода и превращается в перекисный радикал RO2•, который далее отрывает атом водорода от молекулы углеводорода и образует гидроперекись и свободный радикал R•, продолжающий цепь. В процессе окисления накапливается гидроперекись, молекулы который сравнительно медленно распадаются на радикалы, например по реакции
Это приводит к увеличению скорости образования свободных радикалов. Процесс распада промежуточных гидроперекисей на радикалы представляет собой реакцию вырожденного разветвления цепей [3].
В целом механизм цепного окисления углеводородов может быть представлен следующим образом [41]:
Имеющийся в настоящее время экспериментальный материал подтверждает цепную схему окисления углеводородов.
Чем выше скорость образования свободных радикалов, тем выше их концентрация, тем чаще происходит встреча и рекомбинация (или диспропорционирование) двух свободных радикалов и тем короче цепь обрыв цепей может происходит при взаимодействии свободного радикала со стенкой реактора (обрыв на стенке), а также по бимолекулярной реакции между двумя свободными радикалами (квадратичный обрыв). В жидкой фазе диффузия свободных радикалов у стенке весьма затруднена из - за высокой вязкости среды. По этому в цепных жидкофазных реакциях осуществляется квадратичный обрыв цепей по реакциям:
где: МП - молекулярные продукты.
Эти реакции протекают с малой энергией активации, в 4,1 - 8,4 кДж/моль.
Реакции между двумя вторичными перекисными радикалами приводит к образованию спирта и кетона.
Происходящее в процессе окисления превращение молекулы углеводорода последовательно в гидроперекись, спирт и кетон сохраняет исходный углеводородный скелет молекулы.
В процессе окисление кислоты декарбоксилируются сравнительно медленно, и их состав практически не меняется в ходе окисления. Среди кислот, образующихся при окислении н- декана обнаружены окси- и кетокислоты (15- 18% от общего число кислот). Однако эти кислоты образуются не из жирных кислот, а параллельно с ними.
Скорость образования уксусной кислоты составляет только 30% от скорости окисления кетона. Следовательно, механизм разрыва а - С - С- связи в окисляющихся парафинах не единственный, и по этому направлению образуются меньше половины низших кислот при окислении парафинов.
При большой скорости растворения кислорода его концентрация в окисляющемся веществе близка к насыщению; процесс протекает в кинетической области, т.е. не зависит от скорости растворения и диффузии кислорода в жидкой фазе. При очень быстром окислении диффузия кислорода в жидкость может оказаться лимитирующий стадией процесса окисления. В этом случае реакция будет протекать в диффузионной области. Поэтому, при изучении закономерности реакции окисления протекает в кинетической области [3].
Так как для подавляющего большинство органических соединений, окисляющихся в жидкой фазе, энергия разрыва связи С - Н меньше 377 кДж/моль, то в жидкой фазе зарождение цепей должно происходить преимущественно по тримолекулярной реакции, что доказано Е.Т. Денисовым [7].
Перекисные радикалы в среде окисляющегося углеводорода могут не только взаимодействовать с компонентами реагирующей смеси (например, с исходным углеводородом), образуя гидроперекиси, но и подвергаться распаду с образованием стабильного продукта и нового свободного радикала, как это наблюдается при окислении углеводородов в газовой фазе[3].
Н.С.Ениколопяном показано, что в сложных цепных реакциях, протекающих с образованием ряда стабильных промежуточных продуктов, длина цепи может меняться по ходу реакции, что в свою очередь приведет к изменению скорости реакции, остановка окисления углеводородов задолго до полного расходования исходных веществ, постоянная скорость протекания реакции до очень больших глубин превращения (наблюдаемая для метана, бензола и др.) , несовпадение порядка реакции, определённого по ходу процесса, с определённым по начальной концентрации исходного углеводорода, автокатализ промежуточными и конечными продуктами, катализирующее и ингибирующее действие одних и тех же веществ в различных реакциях могут получить удовлетворительное объяснение в рамках представлений о том, что если в результате реакции стабильных промежуточных продуктов реакции с радикалом образуется радикал, более активный, чем исходный, то имеет место удлинение цепи. В противном случае по мере накопления стабильных промежуточных продуктов длина цепи уменьшается [39] .
В условиях окисления гидроперекиси могут расходоваться не только при взаимодействии со свободными радикалами и по реакции разветвления, обычно протекающей медленно, но и другими путями, которые для общности называют не цепным расходованием. В некоторых реакциях окисления такой не цепной путь распада оказывается доминирующим. Так, при окислении альдегидов образующаяся над кислота реагирует с исходным альдегидом с образованием кислоты.
В присутствии кислот гидроперекиси подвергаются гетеролитическому расщеплению, что приводит к автоторможению в реакции окисления.
Работами Н.М.Эмануэля [3] показано, что ряд реакций окисления углеводородов прекращаются задолго до полного израсходования исходного вещества.
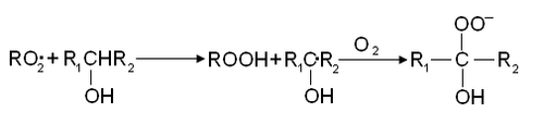
Вопросы автоторможения реакций окисления подробно изучены Е.Т.Денисовым [40]. Было показано, что в начальный период окисление углеводорода осуществляется за счет взаимодействия RH с перекисными радикалами:
И скорость реакции определяется концентрацией перекисных радикалов. По мере накопления продуктов окисления - гидроперекисей, спиртов, кетонов, кислот - перекисные радикалы вступают в реакцию взаимодействия с этими продуктами.
При цепном распаде вторичной гидроперекиси радикал R02• заменяется на свободный гидроксил: Реакция RO2• со спиртом приводит к образованию оксигидроперекисного радикала: Реакция с кислотами приводит к выделению СО2 и другому R1O2• радикалу:
Реакция RO2• со спиртом приводит к образованию оксигидроперекисного радикала:
Реакции с кислотами приводит к выделению СО2 и другому R1O2• радикалу:
В развившейся реакции исходный углеводород может взаимодействовать с различными свободными радикалами, и скорость его окисления зависит не только от общей концентрации радикалов, но и от их состава. В реальных процессах окисления скорость реакции по ходу изменяется не только в зависимости от скорости вырожденного разветвления цепей , но и в зависимости от состава радикалов.
Специальными исследованиями и кинетическими расчетами было установлена [38], что в сложных цепных реакциях, протекающих с образованием молекулярных промежуточных продуктов, состав радикалов неизбежно меняется в ходе реакции вследствие изменения состава продуктов. Изменяющийся состав радикалов воздействует не только на суммарную активность радикалов, но и на их общую концентрацию путем изменения скорости квадратного обрыва цепей. Таким образом, механизм воздействия состава радикалов на скорость сложной цепной реакции таков, что ускорения реакции всегда ограничено, а её замедления может быть сколь угодно сильным. Это обстоятельство и является фундаментальной причиной широко распространенного явления самоторможения реакций окисления.
Продукты распада радикала R02 были обнаружены при жидкофазном окислении н. бутана, изопропилбензола и циклогексана в металлических реакторах.
Интересным представляется наблюдение [3]. О том, что в металлических реакторах продукты, образующейся с разрывом углеродного скелета в случае окисления бутана, составляют около 10-12% от прореагировавшего бутана, тогда как при окислении н. декане было обнаружено ни карбонильных соединений, ни спиртов, содержащих в своей молекуле меньшее число атомов углерода, чем исходный декан.
Это на первый взгляд кажется удивительным, поскольку оба углеводорода принадлежат к одному и тому же классу- к парафинам нормального строения. В действительности никакого различия механизмом окисления н. декана и н. бутана не существует, а наблюдаемое расхождение в составе продуктов этих реакций объясняется, влиянием нержавеющей стали на распад радикала R-2 при проведении процесса в металлических реакторах.
Под влиянием металла происходит также уменьшения периода индукции и увеличение суммарной скорости окисления, определяемой по скорости расходования бутана. При этом скорости накопления продуктов распада увеличиваются в несколько раз больше, чем скорости накопления продуктов гидроперекисного направления. Ускорение реакции связано, по-видимому, с увеличением скорости разветвления цепи за счет увеличения скорости распада гидроперекиси под действием металлической поверхности.
Реакция распада радикала RO2• предшествует его изомеризация с переходом свободной валентности от атома кислорода к одному из соседних атомов в радикале. Изомеризация перекисного радикала происходит наиболее легко в случае, когда в третичные атомы углерода находятся в β - положении относительно друг - друга.
Характеристики
Тип файла документ
Документы такого типа открываются такими программами, как Microsoft Office Word на компьютерах Windows, Apple Pages на компьютерах Mac, Open Office - бесплатная альтернатива на различных платформах, в том числе Linux. Наиболее простым и современным решением будут Google документы, так как открываются онлайн без скачивания прямо в браузере на любой платформе. Существуют российские качественные аналоги, например от Яндекса.
Будьте внимательны на мобильных устройствах, так как там используются упрощённый функционал даже в официальном приложении от Microsoft, поэтому для просмотра скачивайте PDF-версию. А если нужно редактировать файл, то используйте оригинальный файл.
Файлы такого типа обычно разбиты на страницы, а текст может быть форматированным (жирный, курсив, выбор шрифта, таблицы и т.п.), а также в него можно добавлять изображения. Формат идеально подходит для рефератов, докладов и РПЗ курсовых проектов, которые необходимо распечатать. Кстати перед печатью также сохраняйте файл в PDF, так как принтер может начудить со шрифтами.
















