151380 (733005)
Текст из файла
Содержание
Введение
Поверхностное натяжение жидкости
Измерение коэффициента поверхностного натяжения по методу отрыва капель (сталагмометрия)
Заключение
Список используемых источников
Введение
Поверхностный слой вещества представляет собой область постепенного изменения свойств и состава при переходе от одной фазы к другой. Образование поверхностного слоя есть результат взаимодействия смежных фаз. Молекулы вещества, расположенные внутри фазы, отличаются по энергетическому состоянию от молекул, находящихся на границе раздела фаз. Эти последние испытывают неодинаковое влияние сил межмолекулярного взаимодействия со стороны каждой из контактирующих фаз, поскольку физические свойства этих фаз различны. Молекулы в объеме тела равномерно окружены такими же молекулами, поэтому их силовые поля полностью скомпенсированы.
Молекулы поверхностного слоя взаимодействуют как с молекулами одной фазы, так и с молекулами другой фазы. В результате равнодействующая молекулярных сил в поверхностном слое не равна нулю и направлена внутрь той фазы, в которой взаимодействие больше. Таким образом возникает поверхностное натяжение, стремящееся сократить поверхность.
Поверхностное натяжение жидкости
В медицинской практике коэффициент поверхностного натяжения определяют у различных биологических жидкостей и жидких лекарственных форм, т.к. он может служить диагностическим и аналитическим фактором.
В отличие от газа, молекулы которого почти не взаимодействуют друг с другом, молекулы жидкости проявляют весьма сильное взаимодействие между собой.
Силы притяжения между молекулами жидкости настолько велики, что внутреннее давление в жидкости достигает десятков тысяч атмосфер. Поэтому внешним давлением практически нельзя уменьшить объем жидкости, так что жидкость в большинстве случаев может считаться несжимаемой. Характерной особенностью жидкости является существование у неё свободной поверхности, граничащей с газом, точнее с паром самой жидкости, или с твердыми телами. Молекулы лежащие в очень тонком поверхностном слое, находятся в условиях, отличных от условий, в которых находятся молекулы внутри жидкости. Внутри жидкости каждая молекула окружена со всех сторон такими же молекулами, поэтому силы притяжения, действующая на молекулы оказываются скомпенсированными (рис.1).
Рисунок 1 - Силы притяжения, действующая на молекулы
Молекула же, находящаяся на поверхности, окружена молекулами жидкости не со всех сторон. Поэтому сумма сил притяжения, действующих на неё со стороны молекул жидкости, не равна нулю: Рис. 1.
Их равнодействующая направлена внутрь жидкости. Правда, над поверхностью жидкости тоже есть молекулы пара, но их значительно меньше (плотность пара в обычных условиях примерно в 1000 раз меньше плотности жидкости), поэтому силы со стороны молекул пара много меньше, чем силы притяжения к молекулам жидкости. Таким образом, на молекулы поверхностного слоя действует сила, стремящаяся перевести их вглубь жидкости. Благодаря этому молекулы поверхностного слоя обладают большой потенциальной энергией по сравнению с «глубинными» молекулами. Следствием этого является то, что при отсутствии каких-либо других сил, действующих на жидкость, она принимает такую форму, при которой ее поверхность является минимальной (при данном объеме), т.е. форму шара. При такой форме максимально возможное число молекул находится не на поверхности, а внутри объема жидкости. В реальных условиях жидкость находится не только под действием внутренних молекулярных сил. На жидкость, кроме того, действуют сила тяжести и сила взаимодействия между молекулами жидкости и твердого тела, с которым жидкость граничит. Поэтому жидкость принимает форму шара лишь в тех случаях, когда мала сила тяжести (т.е. когда мала масса жидкости), а если жидкость граничит с твердым телом, то должна быть мала также и сила взаимодействия молекул жидкости с молекулами твердого тела по сравнению с межмолекулярными силами в самой жидкости.
Этим объясняется тот факт, что сферическую форму имеют лишь малые капли жидкости, если они окружены воздухом, а если капли соприкасаются с твердым телом, то сферическая форма возможна лишь в тех случаях, когда жидкость не смачивает твердое тело (жидкость именно в тех случаях не смачивает твердое тело, когда молекулярные силы внутри жидкости превосходят силы взаимодействия с молекулами твердого тела).
Наоборот, смачивание твердого тела жидкостью свидетельствует о том, что силы, действующие между молекулами жидкости, много меньше, чем силы взаимодействия с частицами твердого тела.
Так молекулы поверхностного слоя жидкости обладают повышенной потенциальной энергией, то всякое уменьшение площади поверхности жидкости приводит к уменьшению этой энергии. Значит, при таком сокращении поверхности может быть совершена работа. Наоборот, всякое увеличение поверхности жидкости связано с увеличением потенциальной энергии. Очевидно, что это изменение энергии пропорционально изменению величины площади поверхности.
Обозначим изменение энергии через dW, а соответствующее изменение площади поверхности – через dS. Тогда можно написать:
dW= σ dS (1)
Коэффициент пропорциональности σ, входящий в эту формулу, называется коэффициентом поверхностного натяжения жидкости.
Физический смысл этой величины (из формулы 1): коэффициент поверхностного натяжения численно равен изменению поверхностной энергии жидкости при изменении площади ее поверхности на единицу. Коэффициент поверхностного натяжения измеряется:
а) По системе СИ – Дж/м2;
б) По системе СГС – эрг/см2.
Благодаря тому, что силы, действующие в поверхностном слое жидкости, стремятся уменьшить площадь ее поверхности, жидкости ведут себя так, как будто их поверхности представляют собой натянутые упругие пленки. В этом случае считается, что на поверхности жидкости действуют силы, касательные к ней, перпендикулярные к любой линии, взятой на поверхности жидкости (рис.2).
Рисунок 2 -Силы, действующие в поверхностном слое жидкости.
Эти силы называются силами поверхностного натяжения. Для любой линии, составляющей границу между поверхностью жидкости и твердым телом, можно написать равенство:
F= σ×l, (2)
где: F – сила поверхностного натяжения, действующая на контур свободной поверхности жидкости длинной l,
σ - коэффициент поверхностного натяжения.
С этой точки зрения коэффициент поверхностного натяжения представляет собой силу, действующую на единицу длинны произвольной линии на поверхности жидкости, значит σ измеряется в системе СИ в Н/м.
При постоянных температуре и давлении поверхностная энергия Гиббса системы равна произведению поверхностного натяжения G на площадь поверхности S:
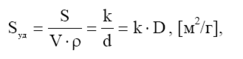
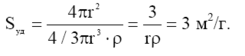
Площадь поверхности зависит от ее кривизны и дисперсности фаз (размера частиц или поверхностных дефектов). Дисперсность D линейно связана с удельной поверхностью Sуд:
где: V - объем дисперсной фазы;
d - размер частиц;
k - коэффициент формы и плотности частицы.
Удельная поверхность, например, водяного тумана при радиусе капелек 1 мкм составит:
Стремление системы к уменьшению поверхностной энергии Гиббса выражается в самопроизвольном уменьшении межфазной поверхности (изменение формы и кривизны, проявление процессов коагуляции, коалесценции и пр.) и уменьшении поверхностного натяжения (протекание процессов адсорбции, адгезии и смачивания, возникновение электрического потенциала и др.)
Измерение коэффициента поверхностного натяжения по методу отрыва капель (сталагмометрия)
Метод отрыва капель, не будучи очень точным, является, однако распространенным в медицинской и фармацевтической практике. Теоретическое обоснование этого метода заключается в следующем. Образование капель жидкости при вытекании ее из малых отверстий является результатом действия силы поверхностного натяжения и силы тяжести. Так, если из вертикально поставленной трубки с узким капиллярным отверстием медленно вытекает жидкость, то на конце трубки образуется постепенно нарастающая по величине u1082 капля. Увеличиваясь в размере, эта капля отрывается тогда, когда ее вес становится равным сопротивлению разрыва поверхностной пленки, поддерживающей каплю.
Перед отрывом капли у конца трубки образуется перетяжка, по которой происходит отрыв капли (рис.3).
Рисунок 3 – Схема сталагмометра.
Сталагмометр представляет собой стеклянную трубку с расширением посередине и капилляром в нижней части; расширенная часть ограничена двумя метками. Поместив капилляр в стаканчик с исследуемым раствором, при помощи резиновой груши затягивают раствор в прибор (уровень жидкости должен быть выше верхней метки) и дают жидкости по каплям вытекать из сталагмометра в стаканчик. Скорость истечения можно регулировать при помощи винтового зажима. Когда уровень жидкости достигнет верхней метки, начинают отсчет капель; отсчет продолжают до достижения уровнем нижней метки.
Определение поверхностного натяжения этим методом заключается в измерении объема или веса капли жидкости, отрывающейся от кончика капилляра в нижнем конце сталагмометрической трубки.
В момент отрыва капли сила поверхностного натяжения fT уравновешивается силами поверхностного натяжения F. Сила поверхностного натяжения действует вдоль окружности шейки капли и препятствует ее отрыву. В момент отрыва можно считать, что длина контура, по которому разрывается поверхностная пленка капли, равна длине окружности перетяжки, и равна 2πr. Тогда сила поверхностного натяжения по всему контуру отрыва будет равна:
F=σ×l=2πrσ. (6)
Перед самым отрывом эта сила F уравновешивает силу тяжести mg. Силу тяжести чаще всего рассчитывают, определяя объем капли. Сталагмометрическую трубку определенного объема V заполняют исследуемой жидкостью и определяют число капель n, вытекающих из данного объема. Силу тяжести рассчитывают по уравнению:
где р- плотность исследуемой жидкости.
В связи со сложностью измерения внутреннего диаметра капилляра (точнее - шейки капли) обычно поверхностное натяжение находят путем сравнения данных по истечению из сталагмометрической трубки исследуемой жидкости и жидкости с известным поверхностным натяжением (стандартной жидкости).
- для искомой и стандартных жидкостей
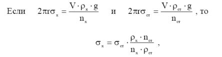
Масса капли может быть легко определена, но определение радиуса перетяжки r связано с некоторыми затруднениями. Подставлять же в уравнение вместо радиуса перетяжки величину радиуса конца недопустимо, т.к. ее радиус всегда больше радиуса перетяжки. Метод, позволяющий избежать измерения радиуса перетяжки, заключается в сравнении коэффициента поверхностного натяжения σ1, исследуемой жидкости с коэффициентом поверхностного натяжения σ0 другой жидкости, для которой величина этого коэффициента хорошо известна. Обычно в качестве эталонной жидкости применяется вода, величина коэффициента которой для различных температур дается в таблицах. Тогда можно написать уравнения для исследуемой жидкости:
2πrσ1 = m1g . (9)
Для эталонной жидкости:
2πrσ0 = m0g . (10)
Здесь m1 и m0 – массы капель исследуемой и эталонной жидкостей и, а радиусы перетяжек капель обеих жидкостей приняты одинаковыми. Деля почленно выражение (9) на выражение (10), получим :
σ1 / σ 0 = m1 / m0 (11)
Характеристики
Тип файла документ
Документы такого типа открываются такими программами, как Microsoft Office Word на компьютерах Windows, Apple Pages на компьютерах Mac, Open Office - бесплатная альтернатива на различных платформах, в том числе Linux. Наиболее простым и современным решением будут Google документы, так как открываются онлайн без скачивания прямо в браузере на любой платформе. Существуют российские качественные аналоги, например от Яндекса.
Будьте внимательны на мобильных устройствах, так как там используются упрощённый функционал даже в официальном приложении от Microsoft, поэтому для просмотра скачивайте PDF-версию. А если нужно редактировать файл, то используйте оригинальный файл.
Файлы такого типа обычно разбиты на страницы, а текст может быть форматированным (жирный, курсив, выбор шрифта, таблицы и т.п.), а также в него можно добавлять изображения. Формат идеально подходит для рефератов, докладов и РПЗ курсовых проектов, которые необходимо распечатать. Кстати перед печатью также сохраняйте файл в PDF, так как принтер может начудить со шрифтами.















