150201 (732634)
Текст из файла
Реферат
На тему: «Геометрическая оптика и квантовые свойства света.»
Выполнил Шайхутдинов Талгат
Геометрическая оптика
Геометрической оптикой называется раздел оптики, в котором изучаются законы распространения световой энергии в прозрачных средах на основе представления о световом луче.
Световой луч – это не пучок света ,а линия указывающая направление распространения света.
Основные законы:
-
Закон о прямолинейном распространении света .
Свет в однородной среде распространяется прямолинейно. Прямолинейностью распространения света объясняется образование тени ,то есть место, куда не проникает световая энергия . От источников малых размеров образуется резко очерченная тень ,а больших размеров создают тени и полутени, в зависимости от величины источника и расстояния между телом и источником.
-
Закон отражения. Угол падения равен углу отражения.
Падающий луч, отраженный луч и перпендикуляр к границе раздела двух сред , восстановленный в точке падения луча , лежат в одной плоскости
α-угол падения β-угол отражения γ-перпендикуляр опущенный в точку падения
-
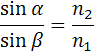
Закон преломления.
На границе раздела двух сред свет меняет направление своего распространения . Часть световой энергии возвращается в первую среду ,то есть происходит отражение света. Если вторая среда прозрачна ,то часть света при определенных условиях может пройти через границу сред также меняя при этом ,как правило , направление распространения . Это явление называется преломлением света.
α-угол падения β- угол преломления.
Падающий луч, отраженный луч и перпендикуляр к границе раздела двух сред , восстановленный в точке падения луча , лежат в одной плоскости . отношение синуса угла падения к синусу угла преломления есть величина постоянная для двух данных сред.
Постоянная n называется относительным показателем преломления или показателем преломления второй среды относительно первой.
Ход лучей в треугольной призме
В оптических приборах часто применяется треугольная призма из стекла или других прозрачных материалов .
Ход лучей в сечении треугольной призмы
Луч, проходящий через треугольную стеклянную призму, всегда стремится к её основанию.
Угол φназывается преломляющим углом призмы .Угол отклонения луча θ зависит от показания преломления n призмы и угла падения α.В оптических приборах часто применяют оптические призмы в виде равнобедренного прямоугольного треугольника . Их применение основано на том что предельный угол полного отражения для стекла равенα0=450
Ход лучей в призмах такого вида
Поведение лучей при перехождении из среды одного типа в другую.
При попадании луча из менее плотной среды в более плотную происходит преломление и луч прижимается к перпендикуляру опущенному в точку падения
α – угол падения, β- угол преломления
При попадании луча из более плотной среды в менее плотную происходит преломление и луч прижимается к границе раздела сред.
α-угол преломления , β-уол падения
Линза
Прозрачное тело, ограниченное с двух сторон сферическими поверхностями называется линзой
Рис 1.
Рис2 Рис 3 Рис 4
Обычно линзы делают из стекла. Прямую ОО1 проходящую через центры сферических поверхностей называют главной оптической осью (рис1) .
Линзы середина которых больше , чем края ,называют собирающими(рис 2)
Линзы изображенные на рисунке 3 называют рассеивающими.
Любую линзу можно представить , как совокупность стеклянных призм (Рис 4).
В воздухе собирающая линза отклоняет лучи к главной оптической оси, а рассеивающая – от главной оптической оси .
Рассмотрим тонкую линзу .то есть линзу у которой её толщина АВ много меньше радиусов R1 и R2 . Все последующие рассуждения относятся к тонкой линзе . Как сферические и плоские зеркала , линзы создают изображения источников света . Это означает ,что свет исходя из какой – либо точки предмета , после преломления в линзе снова собирается в одной точке( изображение),независимо от того, через какую часть линзы прошли лучи. В случае если прошедшие через линзу сходятся ,они образуют действительное изображение . Если прошедшие через линзу лучи расходятся, то пересекаются в одной точке не сами лучи , а их продолжения . изображение тогда является мнимым.
Рассеивающая линза
Лучи параллельные главной оптической оси линзы после преломления рассеивающей линзой будут расходящимися, а их продолжения пересекаются в главном фокусе рассеивающей линзы он является мнимым и расположен на расстоянии F от линзы
Второй минимальный главный фокус находится с другой стороны линзы на том же расстоянии если среда по обе стороны линзы одна и та же .
Собирающая линза
Точка в которой собираются после преломления лучи падающие на линзу называется главным фокусом линзы ,а расстояние от фокуса до лизы называется фокусным расстоянием
Фокусов у линзы два
Плоскость перпендикулярная главной к главной оптической оси линзы и проходящая через фокус называется фокальной плоскостью.
Поместив светящуюся тачку в любом месте фокальной плоскости , получим после преломления параллельные лучи.
Построение изображения в линзах
Свойства линзы определяются главным образом , расположением её фокусов . Это означает , что зная расстояние от источника до линзы и фокусное расстояние можно определить расстояние до изображения не рассматривая хода лучей в линзе .
Собирающая линза
Рассеивающая линза
При построении изображения светящейся точки ( предмета)из всего потока лучей падающих на линзу , выбирают 2 луча:
-
Луч идущий через оптический центр , он проходит не преломляясь.
-
Луч идущий II какой либо оптической оси ,после преломления этот луч пройдет через фокус лежащий на этой оптической оси.
-
Луч , проходящий через передний фокус линзы , такой луч после преломления пойдет II главной оптической оси.
-
Луч, проходящий через передний двойной фокус ,после преломления этот луч походит через задний двойной фокус .
Ход этих 4 лучей проследить наиболее просто . Чаще всего при построении используют первые два луча.
Если светящаяся точка лежит на главной оптической оси , то для ее построения необходимо повести побочную оптическую ось.
Примеры:
Квантовые свойства света
Свет можно представить не только с волновой точки зрения ,но и как поток своеобразных частиц – квантов света (фотонов )
Основная характеристика кванта - это энергия . Монохроматический световой поток состоит из фотонов с одинаковой световой энергией
Энергия фотона равна
E=hν=
Где h= 6.62 X 10-34 Дж сек – постоянная Планка, ν-Частота света(Гц), С- скорость света в вакууме м/сек, Х-Длина волны(м)
Фотоэффект
Явление , заключающееся в том, что металлические тела, подвергнутые облучению светом испускают электроны называется фотоэффектом. Фотоэффект – это вырывание электронов с поверхности металла под действием света.
Теория фотоэффекта была создана великим немецким физиком Эйнштейном. В соответствии с этой теорией энергия кванта света hν идёт на совершение работы выхода А, то есть работы, которую нужно совершить для отрыва электрона с поверхности металла, на сообщение электрону кинетической энергии.
hν= А -
Для каждого тела фотоэффект наблюдается лишь в то случае, если частота света больше минимального значения νм. Это минимальное значение называют красной границей фотоэффекта.
νм =
Характеристики
Тип файла документ
Документы такого типа открываются такими программами, как Microsoft Office Word на компьютерах Windows, Apple Pages на компьютерах Mac, Open Office - бесплатная альтернатива на различных платформах, в том числе Linux. Наиболее простым и современным решением будут Google документы, так как открываются онлайн без скачивания прямо в браузере на любой платформе. Существуют российские качественные аналоги, например от Яндекса.
Будьте внимательны на мобильных устройствах, так как там используются упрощённый функционал даже в официальном приложении от Microsoft, поэтому для просмотра скачивайте PDF-версию. А если нужно редактировать файл, то используйте оригинальный файл.
Файлы такого типа обычно разбиты на страницы, а текст может быть форматированным (жирный, курсив, выбор шрифта, таблицы и т.п.), а также в него можно добавлять изображения. Формат идеально подходит для рефератов, докладов и РПЗ курсовых проектов, которые необходимо распечатать. Кстати перед печатью также сохраняйте файл в PDF, так как принтер может начудить со шрифтами.















