149596 (731901), страница 9
Текст из файла (страница 9)
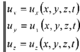
В таком случае проекция вектора массовой скорости в центре левой грани элемента на ось ОХ будет равна:
а проекция вектора массовой скорости в центре правой грани элемента на ось ОХ:
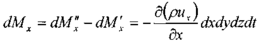
Масса жидкости, поступившая через левую грань элемента за малый интервал времени dt\
масса жидкости, вытекшая через правую грань элемента за малый интервал времени dt:
Изменение массы жидкости внутри элемента при движении жидкости вдоль оси ОХ:
Аналогично, изменение массы жидкости внутри элемента при движении жидкости вдоль оси OY: 1,
и вдоль оси OZ:
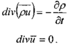
Окончательно, изменение массы жидкости внутри элемента при движении жидкости в произвольном направлении:
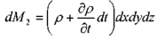
Величина плотности жидкости в начальный момент (до начала движения жидкости t = Q) - р, а по истечении бесконечно малого интервала времени (т.е.
Масса жидкости в объёме выделенного элемента в начальный момент времени:
Изменение массы жидкости за бесконечно малый интервал времени dt:
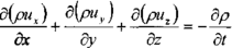
откуда для наиболее общего случая нестационарного поля
дифференциальное
уравнение неразрывности запишется в следующем виде:
и для частного случая - стационарного поля
:
В векторной форме уравнения неразрывности жидкости запишутся в следующем виде:
3.4 Уравнение неразрывности для элементарной струйки жидкости
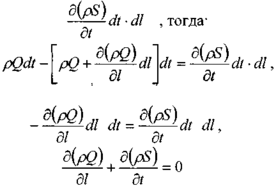
Выделим в элементарной струйке жидкости двумя сечениями 1 - Г и 2 - 2' малый отсек жидкости длиной dl. Объём жидкости внутри выделенного отсека
Масса жидкости, вошедшая в элементарную трубку тока за временной интервал dt, будет равна:
Масса жидкости, вытекшая за это же время через противоположное сечение отсека:
1 В данном разделе для удобства записи вместо принятых ранее обозначений площади сечения элементарной струйки жидкости dS и элементарного расхода жидкости dQ используются обозначения: S и Q.
За тот же интервал времени масса жидкости внутри отсека изменится на величину:
^ * откуда
Окончательно формула может быть представлена в виде
При установившемся движении жидкости (р = const) уравнение неразрывности примет вид:
3.5 Элементы кинематики вихревого движения жидкости
Поступательному движению жидкости часто сопутствует вихревое движение, вызванное вращением элементарного объёма жидкости вокруг некоторой оси Такое вращение жидкости называется вихрем; угловая скорость этого элементарного объёма является основной характеристикой вихря Касательная в любой точке вектора вихря - вихревая линия Поверхность образованная вихревыми линиями, проведенными через точки замкнутого контура, называется вихревой трубкой Прямолинейную вихревую трубку с бесконечно малой площадью сечения можно рассматривать как вращающийся твердый цилиндр, окружная скорость которого пропорциональна радиусу. Кинематической характеристикой вихревого течения жидкости является циркуляция скорости, которая служит мерой завихренности. '
где: Г - циркуляция вектора скорости,
- проекция вектора скорости на касательную к этому контуру в i-той точ-
ке
В тех случаях, когда вращение жидкости в определённых точках пространства происходит с постоянной скоростью и положение вихря с течением времени не меняется, то такое вихревое движение принято называть стационарным вихрем В иных случаях вихревое движение следует считать не стационарным.
3.6. Поток жидкости
Поток жидкости представляет собой совокупность элементарных струек жидкости. По этой причине основные кинематические характеристики потока во многом совпадают по своему смыслу с аналогичными характеристиками для элементарной струйки жидкости. Тем не менее, различия всё же имеются. Так в отличие от элементарной струйки, которая отделена от остальной жидкости поверхностью трубки тока, образованной линиями тока, поток жидкости имеет реальные границы в виде твёрдой среды, газообразной или жидкой сред. По типу границ потоки можно разделить на следующие виды:
напорные, когда поток ограничен твёрдой средой по всему периметру сечения,
безнапорные, когда часть сечения потока представляет собой свободную поверхность жидкости,
гидравлические струи, когда поток ограничен только жидкой или газообразной средой. Если гидравлическая струя ограничена со всех сторон жидкостью, то она называется затопленной гидравлической струёй, если гидравлическая струя ограничена со всех сторон газовой средой, то такая струя называется незатопленной.
Поперечное сечение потока, расположенное нормально к линиям тока, называется живым сечением потока. Площадь живого сечения потока определяется соотношением:
Расход жидкости в потоке определяется как отношение объёма жидкости протекающее через живое сечение потока к интервалу времени или определяется следующим соотношением:
Кроме известной размерности расхода в системе СИ м3/с имеется целый набор внесистемных единиц для измерения расхода жидкости в потоке: м3/сут, л/чс, л/с, и др.
Средней скоростью в живом сечении потока называется величина:
Смоченным периметром живого сечения потока П называется часть контура живого сечения потока, которая ограничена твёрдой средой. (На рисунке смоченный пери
метр выделен жирной линией).
Отношение площади живого сечения потока к длине
смоченного периметра называется гидравлическим радиусом живого сечения.
Величина гидравлического радиуса круглого сечения радиуса г:
равна половине величины его геометрического радиуса. Величина гидравлического радиуса трубы квадратного сечения со стороной а, (полностью заполненной жидкостью)
4. Динамика идеальной жидкости
4.1. Дифференциальное уравнение движения идеальной жидкости (при установившемся движении) и его интегрирование
Для вывода уравнения движения жидкости обратимся к записанному ранее уравнению равновесия жидкости (в проекциях на координатные оси), иначе говоря:
. Поскольку в идеальной жидкости никаких сосредоточенных сил действовать не может, то последнее уравнение чисто условное. Когда равнодействующая отлична от 0,
то жидкость начнёт двигаться с некоторой скоростью, т.е. в соответствии со вторым законом Ньютона, частицы жидкости, составляющие жидкое тело получат ускорение.
Тогда уравнение движения жидкости в проекциях на координатные оси можно записать в следующем виде:
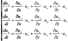
Согласно основному положению о поле скоростей (метод Эйлера) для проекций скоростей движения жидкости можно записать следующее:
или (для установившегося движения жидкости):
Найдём первые производные от скоростей по времени, т.е. определим ускорения вдоль осей координат:
' * /
Теперь подставив выражения для ускорений в исходную систему дифференциальных уравнений движения жидкости, получим систему уравнений Эйлера в окончательном ви-де2:
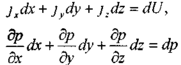
Теперь вновь обратимся к системе дифференциальных уравнений движения жидкости, умножив обе части 1-го уравнения на dx, 2-го уравнения на dy, 3-го уравнения на dz, получим:
и просуммировав эти уравнения по частям, получим:
2 При неустановившемся движении жидкости уравнения Эйлера дополняются первыми слагаемыми.
Преобразуем левую часть полученного уравнения, полагая, что
Слагаемые в правой части уравнения являются полными дифференциалами функций.
Теперь уравнение примет вид
Если из массовых сил на жидкость действует только сила тяжести, то
, и
> ,*
тогда получим:
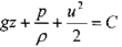
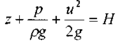
После интегрирования получим:
разделив почленно все члены уравнения на g, получим так называемое уравнение Бернулли
Здесь величина Н называется гидродинамическим напором Величина гидродинамического напора постоянна для всех живых сечений элементарной струйки идеальной жидкости.
4.2. Уравнение Бернулли для элементарной струйки идеальной жидкости
Выделим двумя нормальными к линиям тока сечениями 1 - 1 и 2 - 2 отсек жидкости, который будет находиться под действием сил давления
и сил тяжести dG Под действием этих сил через малый промежуток времени отсек жидкости из своего первоначального положения переместится в положение между __сечениями
Силы давления, приложен
ные к живым сечениям отсека с правой и с левой сто-
рон имеют противоположные друг другу направления.
Перемещение всего отсека жидкости можно заменить перемещением массы жидкости между сечениями: 1-1иГ-Г в положение 2-2и2'-2', при этом центральная часть отсека жидкости (можно утверждать) своего первоначального положения не меняет и в движении жидкости участия не принимает.
Тогда работа сил давления по перемещению жидкости
можно определить следующим образом:
Работа сил тяжести будет равна работе по перемещению веса отсека жидкости на разницу уровней
При перемещении отсека жидкости кинетическая энергия изменится на величину:
Теперь запишем общее уравнение баланса энергии:















