149596 (731901), страница 6
Текст из файла (страница 6)
где:
- площадь наклонной грани отсека,
- проекции ускоре-
ния переносного движения на оси координат.
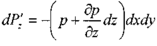
Уравнения равновесия примут вид:
Пренебрегая малыми величинами, получим:
3. Для жидкости находящейся в состоянии равновесия справедлив так называемый закон Паскаля утверждающий, что всякое изменение давления в какой-либо точке жидкости передаётся мгновенно и без изменения во все остальные точки жидкости.
2.3. Основное уравнение гидростатики
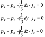
Рассмотрим случай равновесия жидкости в состоянии «абсолютного покоя», т.е. когда на жидкость действует только сила тяжести. Поскольку объём жидкости в сосуде мал по сравнению с объёмом Земли, то уровень свободной поверхности жидкости в сосуде можно считать горизонтальной плоскостью. Давление на свободную поверхность жидкости равно атмосферному давле
нию р0. Определим давление р в произвольно выбранной точке М, расположенной на глубине h. Выделим
около точки М горизонтальную площадку площадью dS . Построим на данной площадке вертикальное тело, ограниченное снизу самой площадкой, а сверху (в плоскости свободной поверхности жидкости) её проекцией. Рассмотрим равновесие полученного жидкого тела. Давление на основание выделенного объёма будет внешним по отношению к жидкому телу и будет направлено вертикально вверх. Запишем уравнение равновесия в проекции на вертикальную ось тела.
Сократив все члены уравнения на dS, получим:
Давление во всех точках свободной поверхности одинаково и равно р0, следовательно, давление во всех точках жидкости на глубине h также одинаково согласно основному уравнения гидростатики. Поверхность, давление на которой одинаково, называется поверхностью уровня. В данном случае поверхности уровня являются горизонтальными плоскостями.
Выберем некоторую горизонтальную плоскость сравнения, проходящую на расстоянии z0 от свободной поверхности, тогда можно записать уравнение гидростатики в виде:
Все члены уравнения имеют линейную размерность и носят название:
- геометричкская высота,
Величина
носит название гидростатического напора.
Основное уравнение гидростатики, доказанное на примере жидкости находящейся под действием только сил тяжести, будет справедливо и для жидкости, которое испытывает на себе ускорение переносного движения. Под действием сил инерции переносного движения будет меняться положение свободной поверхности жидкости и поверхностей равного давления относительно стенок сосуда и относительно горизонтальной плоскости. Вид этих поверхностей целиком зависти от комбинации ускорений переносного движения и ускорения сил тяжести. В литературе состояние равновесия жидкости при наличии переносного движения называется относительным покоем жидкости. Любые комбинации ускорений сводятся к двум возможным видам равновесия жидкости
Равновесие жидкости при равномерно ускоренном прямолинейном движении сосуда. Примером может быть равновесие жидкости в цистерне, движущейся с некоторым ускорением а. В этом случае на жидкость будут действовать силы тяжести
и сила инерции равномерно укоренного движения цистерны
. Тогда равно-
действующая единичная массовая сила определиться как сумма векторов ускорения переносного движения и ускорения свободного падения.
При данных условиях вектор единичной массовой силы переносного движения а будет направлен в сторону противоположную движению цистерны, ускорение свободного падения g, как всегда ориентировано вертикально вниз, т.е. как показано на рисунке. При движении цистерны начальное положение свободной поверхности жидкости изменится. Новое положение свободной поверхности жидкости, согласно основному условию равновесия жидкости будет направлена перпендикулярно вектору
, т.к., равнодействующий вектор массовых сил должен быть направлен по внутренней нормали к свободной поверхности жидкости. Наклон свободной поверхности жидкости к горизонтальной плоскости определяется соотношением ускорений
Выберем некоторую точку М расположенную внутри жидкости на глубине
под уровнем свободной поверхности (расстояние до свободной поверхности жидкости измеряется по нормали к этой поверхности). В точке М выделим малую площадку
параллельную свободной поверхности жидкости. Тогда уравнение равновесия жидкости запишется в следующем виде:
Величину
заменим эквивалентной величиной
, где h -погружение точки М под уровень свободной поверхности жидкости (измеряется по вертикали). Эти две величины
одинаковы, т.к.
. После этих преобразований уравнение равновесия
жидкости в цистерне примет привычный вид, соответствующий записи основного закона гидростатики:
Таким образом, давление в любой точке жидкости будет зависеть только от положения этой точки относительно уровня свободной поверхности жидкости. Поверхности равного давления будут параллельны свободной поверхности жидкости, и иметь такой же уклон
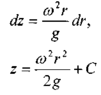
Равновесие жидкости в равномерно вращающемся сосуде. Свободная поверхность жидкости, залитой в цилиндрический сосуд и находящейся под действием сил тяжести примет форму горизонтальной плоскости на некотором уровне
относительно дна сосуда. После того как мы приведём сосуд во вращение вокруг его вертикальной оси с некоторой постоянной угловой скоростью со = const, начальный уровень свободной поверхности жидкости изменится: в центре сосуда он понизится, а по краям сосуда повысится. При этом форма свободной поверхности примет явно вид криволинейной поверхности вращения. Это явление объясняется тем, что
при вращении сосуда вокруг своей оси жидкость в нём будет испытывать ускорение переносного движения
направленное в сторону стенок сосуда. Поскольку равнодействующая двух сил: силы тяжести и центробежной силы должна быть направлена по нормали к свободной поверхности жидкости в каждой точке поверхности, то эта равнодействующая будет иметь, как быль сказано выше, две составляющие соответственно силу тяжести, направленную вертикально вниз и центробежную, направленную в горизонтальной плоскости.
В каждой точке свободной поверхности жидкости АОВ вектор углового ускорения
будет направлен под некоторым углом а по отношению к касательной плоскости, проходящей через данную точку свободной поверхности.
Отсюда:
В центре на оси вращения, на расстоянии
от дна сосуда будет расположена
самая низкая точка свободной поверхности жидкости, т.е.
Отсюда: свободная поверхность жидкости находящейся в равномерно вращающемся вокруг его вертикальной оси сосуде будет иметь вид параболоида вращения (кривая АОВ-парабола).
Выберем любую точку жидкости на глубине под свободной поверхностью h (в частности точка находится на дне сосуда), тогда давление в ней будет равно:
Этот вывод можно распространить и на более сложные случаи вращения сосуда, наклоняя ось его вращения под углом к горизонту; результат получим тот же, что подтверждает универсальность формулы основного уравнения гидростатики.
2.4. Дифференциальное уравнение равновесия жидкости
После рассмотрения некоторых частных случаев равновесия жидкости рассмотрим общее диф
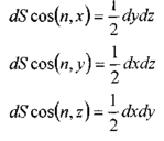
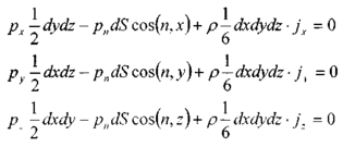
ференциальное равновесия в самом общем виде. Для этой цели выделим отсек жидкости малых размеров в виде параллелепипеда. Масса жидкости в выделенном объёме:
На боковые грани параллелепипеда действуют силы давления: (на левую и правую грани соответственно):
. На переднюю и заднюю грани:
, на нижнюю
Поскольку давление на правую грань больше, то i
По аналогии можно записать силы давления на остальные пары граней.
на переднюю
, на заднюю
, на нижнюю
, на верхнюю
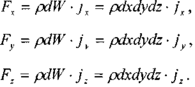
Проекции массовых сил на координатные оси:
на ось ОХ будет на ось ОУ будет
на ось OZ будет
Тогда сумма сил действующих вдоль оси ОХ:
сумма сил действующих вдоль оси 07:
сумма сил действующих вдоль оси OZ:
где:
, проекции ускорения массовых сил на координатные оси.
После преобразования получим систему дифференциальных уравнений равновесия жидкости:
2.5. Сообщающиеся сосуды
В своей практической деятельности человек часто сталкивается с вопросами равновесия жидкости в сообщающихся сосудах, когда два сосуда А и В соединены между собой жёстко или гибким шлангом. Сами сосуды (А и В) обычно называются коленами. Такой гидравлический элемент часто используется в различных гидравлических машинах (гидравлические прессы и др.), системах гидропривода и гидроавтоматики, различных измерительных приборах и в ряде других случаев. С природ
ными сообщающимися сосудами человек встречается с давних пор: сообщающимися сосудами больших размеров являются водонасыщенные пласты горных пород с системой колодцев, играющих роль отдельных колен природной гидродинамической системы.
В открытых сообщающихся сосудах, заполненных однородной жидкостью свободный уровень жидкости устанавливается на одном и том же уровне в обоих коленах. Если в коленах сосудов залиты две несмешивающиеся жидкости с различной плотностью, то свободные уровни жидкости в правом и левом коленах устанавливаются на разных высотах в зависимости от соотношения плотностей жидкостей.
Для типичного случая, изображённого на рисунке, запишем уравнение равновесия жидкости относительно уровня раздела жидкостей.
В закрытых сообщающихся сосудах давления на свободную поверхность могут быть шными, тогда уравнение равновесия будет иметь следующий вид:















