149596 (731901), страница 7
Текст из файла (страница 7)
2.6. Сила давления жидкости па плоскую поверхность, погружённую в жидкость
Согласно основному закону гидростатики величина давления р определяется глубиной погружения точки под уровень свободной поверхности h жидкости и величиной
плотности жидкости р.
Для горизонтальной поверхности величина давления одинакова во всех точках этой поверхности, т.к.:
Таким образом, Сила давления жидкости на горизонтальную поверхность (дно сосуда) равно произведению площади этой поверхности на величину давления на глубине погружения этой поверхности. На рисунке показан так называемый «гидравлический парадокс», здесь величины силы давления на дно всех сосудов одинаковы, независимо от формы стенок сосудов и их физической высоты, т.к. площади доньев у всех сосудов одинаковы, одинаковы и величины давлений.
Сила давления на наклонную поверхность, погруженную в жидкость. Практическим примером такой поверхности может служить наклонная стенка сосуда. Для вывода урав-
нения и вычисления силы давления на стенку выберем следующую систему координат: ось ОХ направим вдоль пересечения плоскости свободной поверхности жидкости с наклонной стенкой, а ось OZ направим вдоль этой стенки перпендикулярно оси ОХ. Тогда в качестве координатной плоскости XOZ будет выступать сама наклонная стенка. На плоскости стенки выделим малую площадку
, которую, в связи с малыми размерами можем считать горизонтальной. Величина давления на глубине площадки будет равна:
где: h - глубина погружения площадки относительно свободной поверхности жидкости (по вертикали).
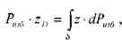
Для определения силы давления
на всю смоченную часть наклонной стенки (часть площади стенки сосуда, расположенная ниже уровня свободной поверхности жидкости) необходимо проинтегрировать это уравнение по всей смоченной части площади стенки S .
Интеграл
представляет собой статический момент площади S относительно
оси ОХ. Он, как известно, равен произведению этой площади на координату её центра тяжести zc. Тогда окончательно:
Таким образом, сила давления на наклонную плоскую поверхность, погружённую в жидкость равна смоченной площади этой поверхности на величину давления в центре тяжести этой площади. Сила давления на плоскую стенку кроме величины и направления характеризуется также и точкой приложения этой силы, которая называется центром давления.
Центр давления силы атмосферного давления p0S будет находиться в центре тяжести площадки, поскольку атмосферное давление передаётся на все точки жидкости одинаково. Центр давления самой жидкости на площадку можно определить исходя из теоремы о моменте равнодействующей силы. Согласно этой теореме момент равнодействующей
силы относительно оси ОХ будет равен сумме моментов составляющих сил относительно этой же оси.
где:- положение центра избыточного давления на вертикальной оси,
- момент инерции площадки S относительно оси ОХ.
Отсюда центр давления (точка приложения равнодействующей силы избыточного давления) расположен всегда ниже центра тяжести площадки. В сучаях, когда внешнней действующей силой на свободную поверхность жидкости является сила атмосферного давления, то на стенку сосуда будут одновременно действовать две одинаковые по величине и противоположные по направлению силы обусловленные атмосферным давлением (на внутреннюю и внешнюю стороны стенки). По этой причине реальной действующей несбалансированной силой остаётся сила избыточного давления.
2.7. Сила давления на криволинейную поверхность, погружённую в жидкость Выберем внутри покоящейся жидкости криволинейную поверхность ABCD, которая может быть частью поверхности некоторого тела погруженного в жидкость. Построим проекции этой поверхности на координатные плоскости. Тогда в координатной плоскости XOZ проекцией этой поверхности будет плоская поверхность
, в координатной
плоскости YOZ — плоская поверхность
и в плоскости свободной поверхности
жидкости (координатная плоскость ХОТ) - плоская поверхность
. На криволи-
нейной поверхности выделим малую площадку dS, проекции которой на координатные
плоскости будут соответственно
. Сила давления на криволинейную поверхность dP будет направлена по внутренней нормали к этой поверхности и может быть представлена в виде:
Горизонтальные составляющие могут быть определены, как силы давления
'
' - на проекции
малой площадки dS на соот-
ветствующие координатные плоскости:
Интегрируя эти уравнения, получим (как в случае с давлением на наклонную поверхность):
Вертикальная составляющая силы давления:
Второй интеграл в этом равенстве представляет собой объём образованный рассматриваемой криволинейной поверхностью ABCD и её проекцией на свободную поверхность жидкости
. Этот объём принято называть телом давления
Таким образом, горизонтальные составляющие силы давления на криволинейную поверхность равны давлениям на вертикальные проекции этой поверхности, а вертикальная составляющая равна весу тела давления, и силе внешнего давления на горизонтальную проекцию криволинейной поверхности.
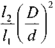
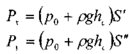
Основные уравнения гидростатики широко используются на практике. Примероми могут служить простейшие гидравлические машины - гидравлический пресс, построенный по принципу сообщающихся сосудов и гидравлический аккумулятор.
Гидравлический пресс состоит из двух цилиндров приводного (1) и рабочего (2) со-
единеных между собой трубопроводом и представляет систему сообщающихся сосудов. В приводном цилиндре перемещается плунжер малого диаметра d, в рабочем цилиндре находится поршень с большим диаметром D. Связь между плунжером и рабочим поршнем осуществ
ляется через рабочую жидкость, заполняющую гидравлическую систему (сообщающиеся сосуды). Усилие F через рычаг передаются рабочей жидкости.
Сила давления на жидкость под плунжером Р] передаёт жидкости давление р, которое, в свою очередь, передаётся во все точки рабочего поршня.
Тогда сила давления на поверхность рабочего поршеня будет равна'
Таким образом, с помощью гидравлического пресса, приложенная к концу рычага
2.8. Равновесие твёрдого тела в жидкости
Определим силу давления на твёрдое тело, погружённое в жидкость. На замкнутую криволинейную поверхность, являющуюся поверхностью твердого тела погружённого в
жидкость будут действовать массовые силы (в данном случае силы тяжести) и поверхностные, силы давления на поверхность тела. Рассмотрим действие сил давления. Как известно, горизонтальные составляющие силы давления будут взаимно уравновешены. Так как проекции тела на координатную плоскость XOZ с его левой и правой сторон
совпадут; то совпадут и координаты центров тяжести этих проекций. Тогда проекции сил давления на ось
ОХ будут одинаковыми по величине, но противоположными по направлению
Аналогично можно записать и для проекций сил давления на ось OY (давление на проекции поверхностей в координатной плоскости YOZ),
. Неуравновешенными будут
лишь вертикальные составляющие силы давления, действующие на верхнюю и нижнюю стороны поверхности тела.
Вертикальными сечениями выделим на верхней и нижней половинах тела малые площадки. Тогда вертикальные составляющие на верхнюю и нижнюю площадки будут равны:
После интегрирования по объёму тела найдём равнодействующую сил давления. Она окажется равной разности весов двух тел давления, ограниченных свободной поверхностью жидкости и верхней и нижней поверхностями тела.
Равнодействующая сил давления носит название выталкивающей силы, эта сила направлена вертикально вверх и численно равна весу жидкости в объёме вытесненной телом. Последнее положение получило название закона Архимеда. Закон Архимеда часто формулируют несколько иначе: «тело, погружнное в жидкость теряет в своём весе столько сколько весит вытесненная им жидкость».
Таким образом, На погружённое в жидкость тело действуют две силы:
Если
Тело будет всплывать до тех пор пока вес тела и величина
выталкивающей силы, действующей на погруженную часть объёма тела не уравновесятся.
Если
Тело будет находиться во взвешенном состоянии в жидкости,
т.е. плавать внутри жидкости на любой заданной глубине.
Для тела плавающего на поверхности жидкости должно, таким образом выполняться условие:















