148189 (730648)
Текст из файла
Баланс мощности МТА
Мощность тракторного двигателя расходуется на выполнение полезной работы, преодоление внешних и внутренних сил сопротивления.
Распределение мощности двигателя на преодоление различных видов сопротивлений называется балансом мощности, или рабочим балансом МТА (при равномерном движении), т.е.
Ne = NM + Nf + Nδ + Nα + Ne вом + Nt. (1)
Потери мощности в трансмиссии (кВт) связаны с преодолением сил трения в подшипниках, шестернях, механизмах гусеничной цепи. Их можно определить по формуле
NM = Ne (1 - η мг),(2)
где η мг — КПД трансмиссии (для колесных тракторов — в пределах 0,90—0,92, для гусеничных — 0,86—0,88; на его значения оказывают влияние такие эксплуатационные факторы, как качество смазки, технического обслуживания и регулировки).
Потери мощности на перекатывание трактора связаны с образованием колеи ходовым аппаратом, а также с деформацией шин, преодолением сил трения в подшипниках колес (гусеницах) и др. Эти потери (кВт) зависят от скорости движения агрегата:
Nf = Pf • vp = G• fт• vp(3)
Здесь Pf = G • fr — сопротивление перекатыванию трактора, кН; vp — рабочая скорость агрегата, м/с.
Потери мощности на буксование (кВт) обусловлены недостаточным сцеплением ходового аппарата с почвой. При этом почва сдвигается, что сопровождается буксованием и снижением поступательной скорости движения трактора:
Nδ = Ne • η мг • δ/100.(4)
где δ — буксование, %.
Потери мощности (кВт) на преодоление трактором подъема можно определить, если известны сила сопротивления подъему Р(, и скорость движения агрегата:
Nα = Pf • vp = G • vp • i / 100 (5)
Мощность Ne вом, которая расходуется двигателем на привод механизмов через ВОМ, рассчитывается по формуле:
Ne вом = N вом / η вом (6)
Полезная (тяговая) мощность (кВт), т.е. мощность, которая расходуется на тягу рабочих машин, зависит от условий работы.
Для тяговых и тягово-приводных агрегатов
Nt = RM • vp = vp (ko • b+ GM • i/100) (7)
для транспортных агрегатов
Nt = RM • vp = vp (ko • b+ GM • i/100) (8)
'
Затраты мощности зависят от скорости движения агрегата, поэтому баланс мощности можно изобразить с помощью графика (рис. 1). Если нанести на графике кривую удельного тягового расхода топлива, то увидим, что минимальный удельный расход
соответствует максимальному значению тяговой мощности Nt max . Это очень важно для правильного комплектования машинно-тракторных агрегатов и выбора загрузочных и скоростных режимов их работы.
Рис. 1. График зависимости затрат мощности от скорости движения трактора
Производительность агрегата пропорциональна тяговой мощности Nt, а расход топлива на единицу выполненной работы пропорционален удельному расходу. Значит, наибольшей производительности и экономичности (по расходу топлива) можно достичь, когда трактор работает в режиме максимальной тяговой мощности Nt max (или близкой к ней) при минимальном удельном расходе топлива gT min , т.е. при оптимальных рабочих скоростях.
Для современных гусеничных тракторов эти скорости примерно равны 2,0—2,5 м/с, а для колесных — 3—4 м/с. Однако при комплектовании агрегатов не всегда удается этого добиться, так как могут быть ограничения рабочей скорости по агротехническим требованиям (качество работы), а также из-за превышения допустимого буксования и др.
Анализ и расчет эксплуатационных показателей МТА
Расчет эксплуатационных показателей МТА, которые указанны в задачах данной работы, проводят для каждого состояния почвы на заданных рабочих скоростях движения МТА по формулам используя данные технических характеристик тракторов.
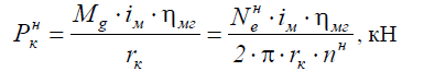
Касательную силу на ведущих колесах (звездочках) трактора рассчитывают по формуле:
где Pкн– номинальная касательная сила тяги трактора, кН;
Мg - номинальный крутящийся момент двигателя, кН.м;
Nне - номинальная эффективная мощность двигателя, кВт;
iм - общее передаточное число трансмиссии;
ηм.г. - КПД трансмиссии и движителя;
r к - радиус колеса ведущего, м;
nн - номинальная частота вращения коленчатого вала двигателя, 1/мин-1
ηм.г. = ηmц • ηnк • ηr,
где ηц, ηк, η r - КПД соответственно пары цилиндрических, конических шестерен и гусеничной цепи;
m, n - количество пар цилиндрических и конических шестерен, находящихся в зацеплении при работе на данной передаче (определяется из кинематической схемы трансмиссии трактора).
Радиус колеса вычислить с учетом усадки шины по формуле:
rк = ro + Кш + hш,
где ro - радиус стального обода колеса, м;
Кш - коэффициент усадки шины (Кш = 0,75 . . . 0,80)
hш - высота шины, м.
Для гусеничных тракторов rк равняется радиусу начальной окружности ведущей звездочки.
Сила сцепления ходового аппарата трактора с почвой рассчитывается по формуле:
Рсц = Gсц • μ, кН
где Gсц – сцепной вес трактора, кН
μ - коэффициент сцепления ходового аппарата с почвой.
Сцепной вес тракторов гусеничных и колесных с двумя ведущими мостами при работе в составе МТА на горизонтальной местности равен весу трактора, а при наличии подъемов (склонов) вычислить по формуле:
Gсц = Gтр • cos α,
где Gтр - сила тяжести трактора, кН
α - угол подъема (спуска), град.
У колесных тракторов с одной ведущей осью сцепной вес при движении по склону:
Gсц = 32Gтр • cos α,
Движущую агрегат силу Рдв для всех вариантов определяют с учетом работы МТА.
При достаточном сцеплении движителей трактора с почвой, когда сила сцепления Рсц больше номинальной касательной силы Pкн (Рсц≥Pнк) движущая агрегат сила будет равна номинальной касательной, то есть:
Рдв = Pкн
При недостаточном сцеплении движителей трактора с почвой, когда сила сцеплении Рсц меньше номинальной касательной силы Pнк (Рсц < Pнк) движущая агрегат сила будет равна силе сцепления трактора, то есть:
Рдв = Pсц
В этом случае работа трактора в составе МТА не позволяет полностью использовать мощность двигателя.
Таким образом, в зависимости от условий работы МТА величины движущей силы трактора находится в пределах:
Pнк ≥ Рдв ≤Pсц
При недостаточном сцеплении, когда Pсц < Pнк потеря касательной силы тяги ΔРк будет равна:
ΔРк = Pкн – Pсц, кН
Усилие, затрачиваемое на перекатывание трактора рассчитывается по формуле:
Рf = Gтр * fтр * cosα, кН
где fтр - коэффициент сопротивления качению трактора.
Усилие затрачиваемое на подъем (спуск) трактора Рα определяется по формуле:
Рα = ±Gтр • sin α, кН
Тяговое усилие трактора определяется из уравнения тягового баланса трактора в составе МТА по формуле:
Ркр = Рдв - Рf ± Р α, кН
Здесь возможны два варианта расчета усилия на крюке трактора:
-
сцепление ходового аппарата трактора с почвой достаточно (поверхносный слой почвы прочный), т.е.
Pсц Pкн и Рдв = Pкн,
Pкрн = Pнк - Рf ± Р α, кН
2. сцепление ходового аппарата трактора с почвой недостаточно, в этом случае
Pсц < Pкн и Рдв = Pсц,
тогда
Pкр = Pсц - Рf ± Р α, кН
Эффективная мощность двигателя, исходя из условий сцепления ходового аппарата трактора с почвой, может быть определена также по двум вариантам:
-
достаточное сцепление
-
недостаточное сцепление
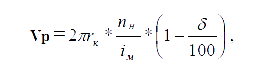
Рабочая скорость движения МТА рассчитывается по формуле:
где VР- рабочая скорость агрегата, м/с
δ - величина буксования ведущего агрегата трактора, %
Значение δ, соответствующее Pкрн на каждой передаче, берут из тяговой характеристики трактора близкой к заданным почвенным условиям.
Расчет потерь мощности в трансмиссии трактора
Здесь опять же возможны два случая:
-
Nтр* = Ne (1- ηмг), при недостаточном сцеплении
-
Nтр = Neн (1- ηмг), при достаточном сцеплении
Потери мощности на перекатывании трактора:
Nf = Pf * Vр, кВт
Потери мощности на подъем трактора:
Nα = Pα * Vp, кВт
Потери мощности на буксовании трактора.
В этом случае также необходимо рассмотреть два случая:
-
, кВт сцепление достаточное -
, кВт сцепление недостаточное
Мощность на крюке трактора находят по формулам:
Nкрн = Pкрн * Vp, кВт
Nкр* = Pсц * Vp, кВт
и из баланса мощности трактора:
Nкрн = Neн - (Nтр + Nf + Nδ + Nα)
Nкр* = Ne* - (Nтр* + Nf + Nδ* + Nα)
Потери крюковой мощности при недостаточном сцеплении движителей с почвой находят по выражению:
Nкр = Neнкр - Nкр*
Баланс мощности можно записать в двух вариантах:
Nен = Nтр+ Nf ± Nα + Nδ + Nкрн
Ne* = Nтр* + Nf ± Nα + Nδ* + Nкр*
Выбор оптимальных скоростей движения МТА
В большинстве случаев при комплектовании агрегатов их состав определяют опытным путем, т. е. на основе накопленного опыта или имеющихся рекомендаций.
Таким образом, если состав агрегата известен, расчет сводится к выбору рационального скоростного режима его работы и определению технико-эксплуатационных показателей. Правильный выбор скоростного режима зависит прежде всего от характера технологического процесса. Чаще всего скоростной режим работы агрегата ограничивается тремя факторами: агротехническими требованиями (качество работы), пропускной способностью основного рабочего органа и мощностью двигателя.
Для выбора оптимального скоростного режима нужно с учетом изложенных выше факторов определить допустимые скорости движения агрегата.
-
Агротехнически допустимая скорость движения МТА (максимальная) vp max агр устанавливается на основе опытных данных и приводится в заводских инструкциях и рекомендациях.
-
Максимально допустимая скорость движения агрегата (м/с), исходя из пропускной способности основного рабочего органа (молотилки, измельчающего аппарата и т. д.)
vp max q =10 qн /( Вр •H)
где qH — максимальная пропускная способность машины, кг/с; Вр — рабочая ширина захвата агрегата, м; Н — биологическая урожайность культуры, норма внесения материала и т. д., т/га.
Биологическую урожайность той или иной культуры рассчитывают по формуле
H = h (1 + δ2),
где h — урожайность основной продукции (зерна и т. п.), т/га; δ 2 — доля побочной продукции (соломы и т. п.).
Допустимую скорость по пропускной способности определяют для зерно-, силосо-, картофеле-, льноуборочных и других комбайнов, а также машин для внесения твердых и жидких органических удобре-ний, пресс-подборщиков, подборщиков-уплотнителей, косилок-измельчителей и других машин.
3. Максимально возможная скорость агрегата по загрузке двигателя рассчитывается по формулам: для тягово-приводного агрегата
для самоходного агрегата
где ηNe — коэффициент допустимой загрузки двигателя (в зависимости от технологического процесса он равен 0,8—0,95); NBOM — мощность, необходимая для привода рабочих органов машины, кВт (приводится в справочниках или определяется расчетным путем); ηвом — КПД вала отбора мощности (ηвом = 0,94—0,96); ηмг — КПД трансмиссии трактора (для энергонасыщенных тракторов можно принять в пределах 0,75—0,80; для старых марок тракторов — 0,8—0,85); ηδ — КПД буксования трактора при рабочем ходе агрегата (для конкретных условий определяется по тяговой характеристике трактора при РТ = Rа); Rа — рабочее сопротивление агрегата, кН; G — вес трактора, кН; fT — коэффициент сопротивления перекатыванию трактора (приводится в справочной литературе); i — уклон поля, %; ηрп — КПД клиноременной передачи; ηгп— КПД гидропривода.
Из трех или двух рассчитанных таким образом скоростей движения агрегата выбирают наименьшую. По тяговой характеристике трактора подбирают ближайшую передачу (или определяют расчетным путем), вычисляют производительность, расход топлива, показатели рациональности состава агрегата.
Правильно выбранная скорость движения агрегата с учетом свойств обрабатываемого материала, технических возможностей машин и их эксплуатационных свойств позволяет повысить качество и снизить стоимость механизированных работ.
Список литературы
-
Будько Ю.В., Добыш Г.Ф., «Эксплуатация машинно-тракторного парка», 1998
-
Зангиев А.А., «Эксплуатация машинно-тракторного парка»: учебник для студентов, 2003
-
www. agriculture1.by
Характеристики
Тип файла документ
Документы такого типа открываются такими программами, как Microsoft Office Word на компьютерах Windows, Apple Pages на компьютерах Mac, Open Office - бесплатная альтернатива на различных платформах, в том числе Linux. Наиболее простым и современным решением будут Google документы, так как открываются онлайн без скачивания прямо в браузере на любой платформе. Существуют российские качественные аналоги, например от Яндекса.
Будьте внимательны на мобильных устройствах, так как там используются упрощённый функционал даже в официальном приложении от Microsoft, поэтому для просмотра скачивайте PDF-версию. А если нужно редактировать файл, то используйте оригинальный файл.
Файлы такого типа обычно разбиты на страницы, а текст может быть форматированным (жирный, курсив, выбор шрифта, таблицы и т.п.), а также в него можно добавлять изображения. Формат идеально подходит для рефератов, докладов и РПЗ курсовых проектов, которые необходимо распечатать. Кстати перед печатью также сохраняйте файл в PDF, так как принтер может начудить со шрифтами.
















