KURS (729922)
Текст из файла
СОДЕРЖАНИЕ
-
Задание.
-
Расчетно-пояснительная записка.
-
Аннотация.
-
Ведение.
-
Теория.
-
Алгоритмы.
-
Программы.
-
Инструкция пользователя.
-
Результаты экспериментов.
-
Заключение.
ЗАДАНИЕ
-
Выписать систему конечно-разностных уравнений.
-
Оценить вычислительные затраты, требуемые для выполнения аналитических решений с шестью десятичными цифрами в 100 и 1000 точках интервала. Определить и использовать разложение в ряд Тейлора для этих вычислений.
-
Оценить до проведения любых вычислений те вычислительные затраты, которые потребуются для решения конечно-разностных уравнений в 100 и 1000 точках при помощи:
-
Исключения Гаусса,
-
Итерационного метода Якоби,
-
Итерационного метода Гаусса-Зейделя.
-
Вычислить решения конечно-разностных уравнений при помощи каждого из трех методов из задания C.
-
Оценить применимость различных методов приближен-ного решения краевых задач для дифференциальных уравнений.
АННОТАЦИЯ
В данной работе по исследованию прямых и итерационных методов решения линейных систем, возникающих в краевых задачах для дифференциальных уравнений было составлено шесть программ непосредственно по алгоритмам Гаусса, Якоби, Гаусса-Зейделя. Каждый из методов был представлен в виде самостоятельной программы, которая имеет инструкцию для пользователя. Каждая программа работает по определенному управлению, причем программа Гаусса формирует матрицу сама, а в программах Якоби и Гаусса-Зейделя вводится только количество точек на интервал, исходя из чего формируется столбец неизвестных членов. Начальные значения неизвестных задаются автоматически на основе результатов, полученных в ходе исследования были сделаны соответствующие выводы.
ВВЕДЕНИЕ
Персональные компьютеры являются одним из самых мощных факторов развития человечества. Благодаря универсальности, высокому быстродействию, неутомимостью в работе, простоте в управлении PC нашли широкое применение в различных сферах деятельности человека.
С развитием научно-технического прогресса все большая часть задач требует решения на ЭВМ, поэтому наш курсовой проект направили на развитие не только определенных навыков логического мышления, но и способность развивать и закреплять эти навыки.
ТЕОРИЯ
Дискретизация обыкновенных дифференциальных уравнений конечными разностями приводит к линейным уравнениям; если рассматривается краевая задача, то уравнения образуют совместную линейную систему.
Прямым методом решения линейной системы
называется любой метод, который позволяет получить решение с помощью конечного числа элементарных арифметических операций: сложения, вычитания, деления и т.д. Этот метод основан на сведении матрицы, системы A к матрице простой структуры - диагональной (и тогда решение очевидно ) и треугольной - разработка эффективных методов решения таких систем. Например, если А является верхней треугольной матрицей:
решение
отыскивается с помощью последовательных обратных подстановок. Сначала из последнего уравнения вычисляется
, затем полученные значения подставляются в предыдущие уравнения и вычисляется
и т.д.
;
;
или в общем виде:
Стоимость такого решения составляет
сложений умножений(а также и делении, которыми можно пренебречь).
Сведение матриц А к одному из двух указанных выше видов осуществляется с помощью ее умножения на специально подобранную матрицу М, так что система
преобразуется в новую систему
.
Во многих случаях матрицу М подбирают таким образом, чтобы матрица МА стала верхней треугольной.
Прямые методы решения СЛУ нельзя применять при очень больших, из-за нарастающих ошибок, округлениях, связанных с выполнением большого числа арифметических операций. Устранить эти трудности помогают итерационные методы. С их помощью можно получить, начиная с вектора
, бесконечную последовательность
векторов, сходящихся к решению системы( m- номер итерации )
.
Метод является сходящимся, если это состояние справедливо для произвольного начального вектора
.
Во всех методах, которые рассмотрены ниже, матрица А представляется в виде А=М-N ( ниже показано, как это наполняется ) и последовательно решаются системы
.
Формально решением системы является:
где -
обратная матрица. Решение итерационным методом упрощается еще и потому, что на каждом шагу надо решать систему с одними и теми же матрицами. Очевидно, что матрица М должна быть легко обращаемой, а для получения желаемой точности надо выполнить определенное число итераций.
Критерием окончания итерационного процесса является соблюдение соотношения:
или
,
где
- вектор невязок уравнений
, и
и
- допустимая погрешность СЛУ по неувязке или приращению вектора неизвестных на итерации.
РАЗНОСТНЫЕ УРАВНЕНИЯ
Многие физические системы моделируются дифферинци-альными уравнениями, например :
к
оторые не могут быть решены аналитически. Приближение этих уравнений конечными разностями основано на дискредитации интервала [0,1] как показано на рис.1 и замене производной.
простой разностью, например :
где, 0,2=1/5=X4-X3.
Тогда аппроксимирующее разностное уравнение имеет вид:
В каждой точке дискретизации справедливо одно такое уравнение, которое приводит к линейной системе для приближенных значений решения дифференциального уравнения.
Уравнения такого вида можно решить с помощью разложения в ряд Тейлора. В нашем случае уравнения решенные разложением в ряд Тейлора имеют вид;
Найти
y’(0); y’’(0)=1; y’’’(0)=1;
обозначим у’(0) как С.
Решение:
Решение:
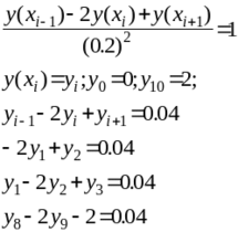
Система конечно-разностных уравнений
интервал [0,2] разделим на 10 точек
-2 1 0 0 0 0 0 0 0 0
0.04
1 -2 1 0 0 0 0 0 0 0
0.04
0 1 -2 1 0 0 0 0 0 0
0.04
0 0 1 -2 1 0 0 0 0 0
0.04
0 0 0 1 -2 1 0 0 0 0
0.04
0 0 0 0 1 -2 1 0 0 0
0.04
0 0 0 0 0 1 -2 1 0 0
0.04
0 0 0 0 0 0 1 -2 1 0
0.04
0 0 0 0 0 0 0 1 -2 1
0.04
0 0 0 0 0 0 0 0 1 -2
-2+0.04
5 точек.
|
| 1 | 0 | 0 | 0 |
| 0 |
| 1 |
| 1 | 0 | 0 |
| 0 |
| 0 | 1 |
| 1 | 0 |
| 0 |
| 0 | 0 | 1 |
| 1 |
| 0 |
| 0 | 0 | 0 | 1 |
|
| 0 |
АЛГОРИТМ ГАУССА
Назначение: Решить
относительно Х.
Входные параметры: masheps
R, n
Z,
после разложения в А сохраняются ее верхние треугольные сомножители
,
.
Код возврата retcode=0 при успешном решении и retcode=1 при вырождении матрицы.
Алгоритм
-
retcode=0
-
if n=1 then
-
if A[1,1]=0 then retcode=1
-
return
(*Гауссово исключение с частичным выбором ведущего элемента*)
-
for k=1 to n do (*найти ведущий элемент*)
-
Amax <= |A[k,k]|
-
Imax <= k
-
for i=k+1 to n do
-
if |[i,k]| > Amax then
-
Amax <= |A[i,k]|
-
Imax <= 1
(*проверка на вырожденность*)
-
if Amax < masheps*n then
-
retcode<=1
-
return
-
if Imax<> k then
-
Amax <= A[Imax,k]
-
A[Imax,k] <= A[k,k]
-
A[Imax,k] <= Amax
-
for i=k+1 to n do A[i,k] <= A[i,k]/Amax
(*перестановка и исключение по столбцам*)
-
for j=k+1 to n do
3.8.1. Amax<=A[Imax,j]
-
A[Imax,j]<=A[k,j]
-
A[k,j]<=Amax
-
if Amax<>0 then
for i=k+1 to n do
A[i,j]<=A[i,j]-A[i,k]*Amax
-
if retcode=0 then (*разложение успешно*)
(*решить СЛУ Ly=b и Vx=y *)
-
for i=2 to n do
-
for k=n downto 1 do
return
end.
АЛГОРИТМ ЯКОБИ
Входные параметры:
- вектор начальных значений Х, после окончания решения с заданной точностью.
Код возврата: retcode=0 при успешном решении u=1, при не успешном решении превышение допустимого числа итераций.
Память: Требуется дополнительный массив
для хранения невязок.
Алгоритм
retcode=1
for Iter=1 to maxiter do (*расчет вектора невязок*)
rmax=0
for i=1 to n do
(*проверка на окончание итерационного процесса*)
if rmax
return
(*найти улучшенное решение*)
for i=1 to n do
x[i]=x[i]+r[i]/A[i,j]
АЛГОРИТМ ГАУССА-ЗЕЙДЕЛЯ
Входные параметры:
( релаксационный коэффициент )
- точность решения,
maxiter- максимальное число итераций.
Входно- выходные параметры:
- вектор начальных значений X, после окончания; решение с заданной точностью.
Алгоритм
retcode=1
for iter=1 to maxiter do
rmax=0
(*улучшить решение*)
for i=1 to n do
(*проверка на окончание итерационного процесса*)
if rmax
retcode=0
return
program GAUS1(input,output);
type
matrix=array[1..100,1..100] of real;
vektor=array[1..100] of real;
var
a:matrix;
x,b,y:vektor;
n:integer;
ret_code:integer;
procedure geradlini(var a:matrix;var b,y:vektor;var n:integer);
var
s:real;j,i:integer;
begin
for i:=1 to n do
begin
s:=0;
for j:=1 to (i-1) do
s:=s+a[i,j]*y[j];
y[i]:=b[i]-s;
end;
end;
procedure ruckgang(var a:matrix;var y,x:vektor;var n:integer);
var
s:real;i,j:integer;
begin
s:=0;
for i:=n downto 1 do
begin
s:=0;
for j:=(i+1) to n do
s:=s+a[i,j]*x[j];
x[i]:=(y[i]-s)/a[i,i];
end;
end;
procedure vvod(var a:matrix;var b:vektor;var n:integer);
var
i,j:integer;
q:real;
begin
writeln('Введите количество точек на интервал: ');
readln(n);
for i:=1 to n do
begin
for j:=1 to n do
a[i,j]:=0;
a[i,i]:=(-2);
end;
for i:=1 to (n-1) do
a[i,i+1]:=1;
for i:=2 to n do
a[i,i-1]:=1;
q:=sqr(2/n);
for i:=1 to n do
if i<>n then b[i]:=q else b[i]:=(q-2);
end;
procedure triangul(var a:matrix;var b:vektor;
var ret_code:integer;n:integer);
label 1;
var
eps,buf,max,c:real;
k,imax,i,j:integer;
begin
ret_code:=1;
eps:=1;
buf:=1+eps;
while buf>1.0 do
begin
eps:=eps/2;
buf:=1+eps;
end;
buf:=n*eps;
for k:=1 to (n-1) do
begin
max:=a[k,k];
imax:=k;
for i:=k to n do
if a[i,k]>max then
begin
max:=a[i,k];
imax:=i;
end;
if a[imax,k]>buf then
begin
for j:=1 to n do
begin
c:=a[imax,j];
a[imax,j]:=a[k,j];
a[k,j]:=c;
end;
c:=b[imax];
b[imax]:=b[k];
b[k]:=c;
for i:=(k+1) to n do
begin
a[i,k]:=a[i,k]/a[k,k];
for j:=(k+1) to n do
a[i,j]:=a[i,j]-a[i,k]*a[k,j];
end;
end
else
begin
ret_code:=0;
goto 1
end;
1: end;
end;
procedure vivod(var x:vektor;var n:integer);
var
i:integer;
begin
for i:=1 to n do
writeln('x',i:1,'=',x[i],' ');
end;
begin
vvod(a,b,n);
triangul(a,b,ret_code,n);
if ret_code=1 then
begin
geradlini(a,b,y,n);
ruckgang(a,y,x,n);
vivod(x,n);
end
else
writeln('Матрица вырожденна');
end.
program GAUS2(input,output);
type
matrix=array[1..100,1..100] of real;
vektor=array[1..100] of real;
var
a:matrix;
x,b,y:vektor;
n:integer;
ret_code:integer;
procedure geradlini(var a:matrix;var b,y:vektor;
var n:integer);
var
s:real;j,i:integer;
begin
for i:=1 to n do
begin
s:=0;
for j:=1 to (i-1) do
s:=s+a[i,j]*y[j];
y[i]:=b[i]-s;
end;
end;
procedure ruckgang(var a:matrix;var y,x:vektor;
var n:integer);
var
s:real;i,j:integer;
begin
s:=0;
for i:=n downto 1 do
begin
s:=0;
for j:=(i+1) to n do
s:=s+a[i,j]*x[j];
x[i]:=(y[i]-s)/a[i,i];
end;
end;
procedure vvod(var a:matrix;var b:vektor;
var n:integer);
var
i,j:integer;
q:real;
begin
writeln('Введите количество точек на интервал: ');
readln(n);
q:=(-2+sqr(0.5/n)*(sqr(4*arctan(1))/4));
for i:=1 to n do
begin
for j:=1 to n do
a[i,j]:=0;
a[i,i]:=(q);
end;
for i:=1 to (n-1) do
a[i,i+1]:=1;
for i:=2 to n do
a[i,i-1]:=1;
for i:=1 to n do
if i<>n then b[i]:=0 else b[i]:=(-sqr(2)/2);
end;
procedure triangul(var a:matrix;var b:vektor;var ret_code:integer;
n:integer);
label 1;
var
eps,buf,max,c:real;
k,imax,i,j:integer;
begin
ret_code:=1;
eps:=1;
buf:=1+eps;
while buf>1.0 do
begin
eps:=eps/2;
buf:=1+eps;
end;
buf:=n*eps;
for k:=1 to (n-1) do
begin
max:=a[k,k];
imax:=k;
for i:=k to n do
if a[i,k]>max then
begin
max:=a[i,k];
imax:=i;
end;
if a[imax,k]>buf then
begin
for j:=1 to n do
begin
c:=a[imax,j];
a[imax,j]:=a[k,j];
a[k,j]:=c;
end;
c:=b[imax];
b[imax]:=b[k];
b[k]:=c;
for i:=(k+1) to n do
begin
a[i,k]:=a[i,k]/a[k,k];
for j:=(k+1) to n do
a[i,j]:=a[i,j]-a[i,k]*a[k,j];
end;
end
else
begin
ret_code:=0;
goto 1
end;
1: end;
end;
procedure vivod(var x:vektor;var n:integer);
var i:integer;
begin
for i:=1 to n do
writeln('x',i:1,'=',x[i]);
end;
begin
vod(a,b,n);
triangul(a,b,ret_code,n);
if ret_code=1 then
begin
geradlini(a,b,y,n);
ruckgang(a,y,x,n);
vivod(x,n);
end
else
writeln('Матрица вырождена ');
end.
program jakobi1(input,output);
type
vektor=array[1..100] of real;
var
r,y:vektor;
z,ret_code,maxiter:integer;
eps:real;
procedure vvod(var z,maxiter:integer;var eps:real);
begin
writeln('Введите кол-во точек на интервал');
readln(z);
writeln('Введите точность');
readln(eps);
writeln('Введите кол-во итераций');
readln(maxiter);
end;
procedure ren(var r,y:vektor;var z,ret_kode,maxiter:integer;var eps:real);
label 1;
var
iter,i:integer;
rmax,q:real;
begin
q:=sqr(2/z);
for i:=1 to z do
y[i]:=1;
ret_code:=0;
for iter:=1 to maxiter do {c.1}
begin
rmax:=0;
for i:=1 to z do {c.2}
begin
if i=1 then
begin
r[i]:=q-(-2*y[1]+y[2]);
if rmax rmax:=abs(r[i]); end; if i=z then begin r[z]:=(-2+q)-(y[z-1]-2*y[z]); if rmax rmax:=abs(r[i]); end; if(i<>1)and(i<>z) then begin r[i]:=q-(y[i-1]-2*y[i]+y[i+1]); if rmax rmax:=abs(r[i]); end; end;{c.2} if rmax<=eps then goto 1 else for i:=1 to z do y[i]:=y[i]+r[i]/(-2); end; {c.1} ret_code:=1; 1: end; procedure vivod(var y:vektor;var z:integer); var i:integer; ch:char; begin for i:=1 to z do writeln('y',i:1,y[i]); end; begin vvod(z,maxiter,eps); ren(r,y,z,ret_code,maxiter,eps); if ret_code=0 then vivod(y,z) else writeln('Превышено допустимое число итераций'); end. program jakobi2(input,output); type vektor=array[1..100] of real; var r,y:vektor; z,ret_code,maxiter:integer; eps:real; procedure vvod(var z,maxiter:integer;var eps:real); begin writeln('Введите кол-во точек на интервал'); readln(z); writeln('Введите точность'); readln(eps); writeln('Введите кол-во итераций'); readln(maxiter); end; procedure ren(var r,y:vektor;var z,ret_kode,maxiter:integer;var eps:real); label 1; var iter,i:integer; rmax,q:real; begin q:=sqr(2/z); for i:=1 to z do y[i]:=1; ret_code:=0; for iter:=1 to maxiter do begin rmax:=0; for i:=1 to z do begin if i=1 then begin r[i]:=q-(-2*y[1]+y[2]); if rmax rmax:=abs(r[i]); end; if i=z then begin r[z]:=(-2+q)-(y[z-1]-2*y[z]); if rmax rmax:=abs(r[i]); end; if(i<>1)and(i<>z) then begin r[i]:=q-(y[i-1]-2*y[i]+y[i+1]); if rmax end; end; if rmax<=eps then goto 1 else for i:=1 to z do y[i]:=y[i]+r[i]/q; end; ret_code:=1; 1:end; procedure vivod(var y:vektor;var z:integer); var i:integer; begin for i:=1 to z do writeln('y',i:1,y[i]); end; begin vvod(z,maxiter,eps); ren(r,y,z,ret_code,maxiter,eps); if ret_code=0 then vivod(y,z) else write('Превышено допустимое число итераций'); end. program zeidel1(input,output); type vector=array[1..1000] of real; var y:vector; z,retcode,maxiter:integer; eps:real; procedure wod(var z,maxiter:integer;var eps:real); begin writeln; writeln('введите количество точек на интервал '); readln(z); writeln('введите точность ');readln(eps); writeln('введите количество итераций ');readln(maxiter); writeln('коофицент релаксации W,принят равный 1'); end; procedure reshen(var y:vector;var z,retcode,maxiter:integer;var eps:real); label 1; var Iter,I:integer;R,Rmax,Q:real; begin Q:=sqr(2/z); for i:=1 to z do y[i]:=1; retcode:=1; for Iter:=1 to maxiter do begin Rmax:=0; for i:=1 to z do begin if i=1 then begin R:=Q-(-2*y[1]+y[2]); if Rmax y[i]:=y[i]+R/(-2); end; if i=z then begin R:=(-2+Q)-(y[z-1]-2*y[z]); if Rmax y[i]:=y[i]+r/(-2); end; if (I<>1) and (i<>z) then begin r:=Q-(y[i-1]-2*y[i]+y[i+1]); if Rmax y[i]:=y[i]+R/-2; end; end; if Rmax<=eps then begin retcode:=0; goto 1; end; end; 1: end; procedure vivod(var y:vector;var z:integer); var i:integer; begin for i:=1 to z do write('y',i:2,'=',y[i]); end; begin wod(z,maxiter,eps); reshen(y,z,retcode,maxiter,eps); if retcode=0 then vivod(y,z) else write('число итераций'); end. program zeidel2(input,output); type vector=array[1..1000] of real; var y:vector; z,retcode,maxiter:integer; eps:real; procedure wod(var z,maxiter:integer;var eps:real); begin writeln; writeln('введите количество точек на интервал '); readln(z); writeln('введите точность ');readln(eps); writeln('введите количество итераций ');readln(maxiter); writeln('коофицент релаксации W,принят равный 1'); end; procedure reshen(var y:vector;var z,retcode,maxiter:integer;var eps:real); label 1; var Iter,I:integer;R,Rmax,Q:real; begin Q:=(-2+sqr(0.5/z)*sqr(4*arctan(1))/4); for i:=1 to z do y[i]:=1; retcode:=1; for Iter:=1 to maxiter do begin Rmax:=0; for i:=1 to z do begin if i=1 then begin r:=-(q*y[1]+y[z]); if Rmax y[i]:=y[i]+R/q; end; if i=z then begin r:=-sqrt(z)/2-(y[z-1]+q*y[z]); if Rmax y[i]:=y[i]+r/q; end; if (I<>1) and (i<>z) then begin r:=-(y[i-1]+q*y[i]+y[i+1]); if Rmax y[i]:=y[i]+R/q; end; end; if Rmax<=eps then begin retcode:=0; goto 1; end; end; 1: end; procedure vivod(var y:vector;var z:integer); var i:integer; begin for i:=1 to z do writeln (i:1,'=',y[i],); end; begin wod(z,maxiter,eps); reshen(y,z,retcode,maxiter,eps); if retcode=0 then vivod(y,z) else write('число итераций'); end. ИНСТРУКЦИЯ ДЛЯ ПОЛЬЗОВАТЕЛЯ Программа Jacobi1 предназначена для решения уравнений Программы Zeidel1 и Zeidel2, также решают уравнения Вычисление уравнений с помощью итерационного метода Якоби требует времени t=0(maxiter Z), где Z- количество точек на интервал, а maxiter- количество итераций. Вычисление уравнений с помощью метода Гаусса требует времени t=0( Решение с помощью метода Гаусса требует больше времени чем решения другими двумя приведенными способами.
. Jacobi2 для решения уравнений
,методом конечных разностей находят значение
в точках интервала (0.2) максимальное количество точек на интервал 1000. Используется массив для хранения значений вектора невязок
. В процедуре reshen находится вектор невязок r [ i ]. Для первого и последнего уравнения системы находят вектора невязок различными способами. Для остальных уравнений системы вектор невязок находится одинаково. Сама матрица не формируется , т.е. для нахождения вектора невязок ее не нужно, это видно из текста программы.
и
. Отличия от Jacobi состоит только в том, что отсутствует массив для вектора невязок. Программы Gaus1 и Gaus2 также решают эти уравнения, только методом Гаусса. В процедурах vvod задается количество точек на интервал(max=100) и формируются матрицы в зависимости от уравнения. Процедура triangul разлагает матрицу А на две треугольные. Процедура geradlini- прямой ход метода Гаусса. Процедура ruckgang- обратный ход. Процедура vivod- выводит значения
.
), где N- количество точек на интервал.
Характеристики
Тип файла документ
Документы такого типа открываются такими программами, как Microsoft Office Word на компьютерах Windows, Apple Pages на компьютерах Mac, Open Office - бесплатная альтернатива на различных платформах, в том числе Linux. Наиболее простым и современным решением будут Google документы, так как открываются онлайн без скачивания прямо в браузере на любой платформе. Существуют российские качественные аналоги, например от Яндекса.
Будьте внимательны на мобильных устройствах, так как там используются упрощённый функционал даже в официальном приложении от Microsoft, поэтому для просмотра скачивайте PDF-версию. А если нужно редактировать файл, то используйте оригинальный файл.
Файлы такого типа обычно разбиты на страницы, а текст может быть форматированным (жирный, курсив, выбор шрифта, таблицы и т.п.), а также в него можно добавлять изображения. Формат идеально подходит для рефератов, докладов и РПЗ курсовых проектов, которые необходимо распечатать. Кстати перед печатью также сохраняйте файл в PDF, так как принтер может начудить со шрифтами.
















