kursovik (722120), страница 3
Текст из файла (страница 3)
UА0 = EА0 * hДА ,
где hДА - действующая высота антенны. Для обычно используемых ферритовых антенн hДА в диапазоне СВ - 5...15 мм. Действующая высота штыревой антенны приблизительно равна половине ее геометрической длины.
UА0 = EА0 * hДА = 0,3 *0,01 = 0,003 мВ = 3 мкВ
С учетом производственного разброса параметров и старения элементов необходимо обеспечить
K0 ТРЕБ > (2...3) UВХ Д / UА0 .
Т.е. K0 ТРЕБ > 2,5 * 0,8 / 3*10 -6
Каскады ВЧ тракта (ВхУ, УРЧ, ПрЧ, ФСИ, УПЧ) должны в совокупности обеспечить усиление не менее K0 ТРЕБ, то есть необходимо иметь:
K0 вх * K0 урч * K0 пр * K0 ф * K0 упч ≥ K0 треб .
3.7. Оценка коэффициента передачи входного устройства
Значение K0 ВХ существенно зависит от типа первого активного прибора (АП1). При использовании биполярного транзистора колебательный контур входного устройства подключается ко входу транзистора частично с коэффициентом включения приблизительно 0.1...0.3. Ориентировочные значения K0 ВХ при использовании в качестве АП1 биполярного транзистора приведены в табл.4.
| Диап. | ДВ (магн. ант.) | СВ (магн. ант.) | ДВ (внешн. ант.) | СВ (внешн. ант.) | УКВ |
| K0 ВХ | 1.5...2.5 | 3.0...5.0 | 0.06...0.08 | 0.07...0.3 | 1.0...2.0 |
Таблица 4.
К затвору полевого транзистора контур входного устройства, как правило, может быть подключен полностью, поэтому K0 ВХ будет в несколько раз больше.
Примем значения K0 ВХ согласно таблице равным 5.
K0 ВХ = 5.
3.8. Определение типа, параметров и числа избирательных
систем, настроенных на промежуточную частоту.
Одной из особенностей современных транзисторных приёмников является широкое применение в них пьезокерамических фильтров сосредоточенной селекции (ФСС). Они обеспечивают высокую избирательность по соседнему каналу, имеют небольшие размеры, малый вес и постоянство частоты настройки. Для нормальной работы ФСС необходимо согласовывать с выходом ПЧ и входом УПЧ.
Ослабление на краях полосы пропускания σпу
σпу = σп – σп мах = 10 - 2 = 8 дБ
где σп – ослабление на краях полосы ВЧ тракта приёмника (= 10 дБ); σп мах – ослабление на краях полосы пропускания тракта радиочастоты (= 2 дБ).
Избирательность по соседнему каналу тракта УПЧ σсу
σсу = σс – σс мin = 80 - 0 = 80 дБ
где σс – избирательность по соседнему каналу (= 80 дБ); σс мin – избирательность по соседнему каналу тракта радиочастоты (= 0 дБ)
Выбираем ФСС электромеханического типа ЭМФП-5-465-9 со следующими параметрами:
f0 = 465 кГц;
П = 8,4 …9,6 кГц;
σфс = 34 дБ;
σфп = 4 дБ;
σф0 = 7 дБ;
номинальные значения нагрузочных сопротивлений
Rвх = 1 кОм; Rвых = 10 кОм;
номинальные ёмкости на входе и выходе
Свх = 300 пф; С вых = 2200 пф;
Рисунок 4
Для согласования УПЧ с детектором применим широкополосный контур nпр = 1. Параметры контура:
σпш = σпу – σфп = 8 – 4 = 4 дБ
σсш = σсу – σфс = 80 – 34 = 38 дБ
αп = 0,8 – расчётный коэффициент;
Определим ширину расчётной полосы ФСС:
Пр = П / αп = 8 / 0,8 = 10 кГц
Определим необходимую добротность контуров:
Определим величину относительной расстройки для соседнего канала:
а) на краях полосы пропускания
αn = П/Пр = 8/10 = 0,8
б) для соседнего канала
αс = (2*Δfс)/Пр = 20/10 = 2
Определяем величину обобщённого затухания:
σп1 = 1 дБ
σс1 = 12 дБ
Число звеньев ФСС необходимый для обеспечения избирательности по соседнему каналу.
nи = σфс/σс1 = 34 / 12 = 2,8 = 3
Определяем число звеньев ФСС обеспечивающее заданное ослабление на краях полосы:
nп = σфп/σп1 = 4 / 1 = 4
nф = nи = 3
Определяем ослабление на краях полосы пропускания УПЧ:
σпш = nф* nп1 = 3*1= 3дБ
Избирательность по соседнему каналу
σс = nф* σс1 = 3*12= 36дБ
3.9. Выбор активного прибора УРЧ и оценка коэффициента передачи УРЧ
Каскады УРЧ выполняют, как правило, на дискретных транзисторах. В УРЧ находят применение как биполярные (БТ), так и полевые (ПТ) транзисторы. Биполярные транзисторы обладают большей проводимостью прямой передачи (y21) и работают при небольшом потребляемом токе (1...2 мА).
Полевые транзисторы работают при токе 5...10 мА и имеют небольшие значения y21. Высокое входное сопротивление ПТ позволяет сильнее связывать его с контуром ВхУ, получая при этом большие значения K0 вх.
В результате К0 прес = К0 вх * К0 урч оказывается достаточным для обеспечения нормальной работы преобразователя частоты. Основное преимущество ПТ в существенно лучших параметрах многосигнальной избирательности, определяемых отношением y21///y21.
Конкретный тип транзистора УРЧ выбирают из следующих соображений:
1. В пределах диапазона рабочих частот модуль проводимости прямой передачи (y21) должен оставаться приблизительно постоянным.
2. Коэффициент шума транзистора должен быть по возможности малым.
3. Коэффициент устойчивого усиления на высшей рабочей частоте (K0 УСТ) и предельный коэффициент усиления (K0 ПРЕД), рассчитанные по выражениям (1) и (2), желательно иметь как можно больше.
(1)
(2)
где y12 = С12
Таблица 5
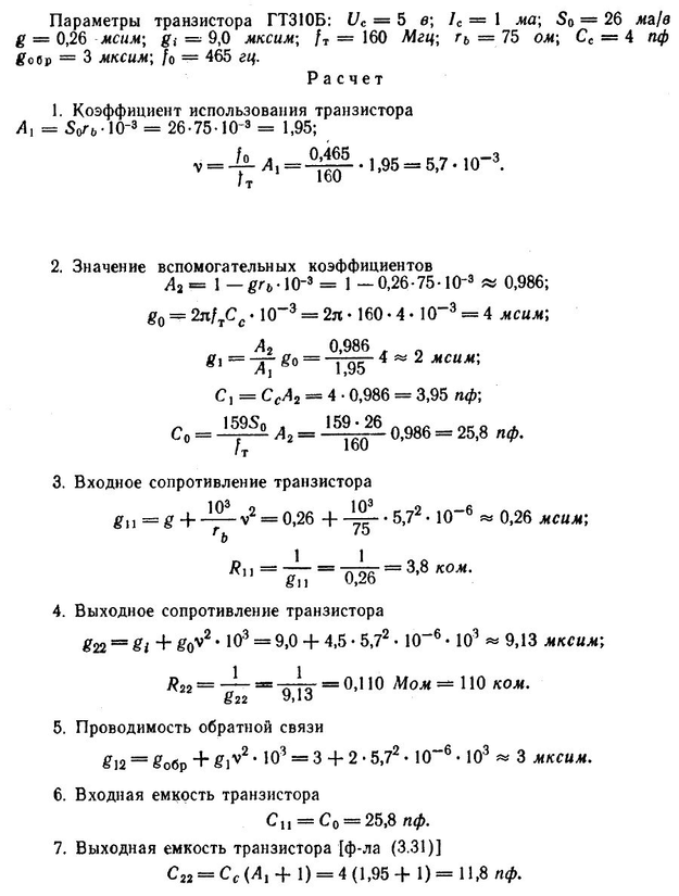
Вычислим коэффициент устойчивого усиления транзистора ГТ310Б, принятого к использованию в УВЧ:
Тогда коэффициент преселектора будет равен К0 прес = К0 вх * К0 урч = 0,8 * 28 = 22
3.10. Выбор активного прибора и оценка коэффициента
передачи преобразователя частоты
Лучшей из отечественных ИМС для построения преобразователя частоты является ИМС К174ПС1 (зарубежные аналоги TCA240 и U5010A). Ее принципиальная схема и параметры приведены ниже (рис.5 и табл.6 и 7.)
ИМС К174ПС1
Схема принципиальная электрическая
Рисунок 5
Параметры ИМС:
| напряжение питания | UП = 9 + 0.9 В; |
| потребляемый ток | I < 2.5 мА; |
| входная емкость | CВХ = 20 пФ; |
| проходная емкость | CПРОХ = 0.02 пФ; |
| минимальный коэффициент шума | KШ МИН < 7дБ; |
| оптимальная по шумам проводимость генератора | gГ ОПТ = 1 мСм; |
Таблица 6
| f, МГц | 0.1 | 1.0 | 10 | 40 | 80 | 100 | |
| gВХ, мСм | 0.41 | 0.45 | 0.70 | 1.3 | 1.7 | 1.9 | |
| ПрЧ с несиммет. | y21 ПР, мСм | 5 | |||||
| включен.нагрузки | CВЫХ, пФ | 6 | |||||
| (рис.6.1) | gВЫХ, мкСм | 3.8 | 4.1 | 5.8 | 8.2 | 10 | 12 |
| ПрЧ с симметр. | y21 ПР, мСм | 10 | |||||
| включен.нагрузки | CВЫХ, пФ | 3 | |||||
| (рис.6.2) | gВЫХ, мкСм | 1.9 | 2.0 | 2.9 | 4.1 | 5 | 6 |
| УПЧ с несиммет. | y21 , мСм | 15 | |||||
| включен.нагрузки | CВЫХ, пФ | 6 | |||||
| (рис.9.3) | gВЫХ, мкСм | 5.1 | 5.5 | 7.7 | 11 | 13 | 18 |
Таблица 7
Сигнал от входного устройства или УРЧ подают между выводами 7 и 8 ИМС, при этом один из них может быть “заземлен“ по переменному току через блокировочный конденсатор.
Схема допускает построение преобразователя частоты либо с совмещенным гетеродином на транзисторах, входящих в ИМС, либо с внешним гетеродином.
При работе от отдельного гетеродина его напряжение подается между выводами 11 и 13 ИМС (базы нижних транзисторов, которые в этом случае выполняют функции генераторов тока, управляемых напряжением гетеродина). При этом выводы 10 и 12 ИМС (эмиттеры этих транзисторов) соединяют непосредственно, либо через небольшое сопротивление.
При подсоединении к выводам ИМС внешних элементов необходимо следить за тем, чтобы по постоянному току выводы не были соединены с источником постороннего постоянного напряжения, либо с корпусом.
В зависимости от способа подключения согласующего контура (СК) к выходу ИМС реализуется либо балансная, либо кольцевая схема преобразователя частоты. В первом случае СК подключен несимметрично либо к выводу 2, либо к выводу 3 ИМС. Во втором случае СК подключен симметрично между выводами 2 и 3 ИМС.
Несимметричное подключение СК к ИМС позволяет включить в свободный вывод еще один СК, настроенный на fПЧ АМ тракта, либо на fПЧ ЧМ тракта. В первом случае снимаемое с этого контура напряжение можно подать на отдельный детектор АРУ для УРЧ. Второй вариант позволяет иметь один преобразователь частоты для всех диапазонов приемника.
Параметры ИМС в режиме преобразования частоты приведены в таблице7. При построении преобразователя частоты на ИМС К174ПС1 обычно не возникает проблем с получением нужного коэффициента усиления. На этапе эскизного расчета рекомендуется принять коэффициент передачи преобразователя частоты K0 ПР = 20...30 при работе в диапазонах ДВ, СВ и КВ и K0 ПР = 4...6 при работе в диапазоне УКВ.
Таким образом из вышеописанных обоснований получим следующую структурную схему приёмника:
Рисунок 6















