125983 (717687)
Текст из файла
Упругие механические колебания, распространяющиеся в воздухе, воспринимают обычно как звуки. Это — акустические колебания. Если их частота более 20 000 Гц (20 кГц), т. е. выше порога слышимости для человеческого уха, то такие колебания называют ультразвуковыми (УЗК). В дефектоскопии наиболее часто используют диапазон частот 0,5—10 МГц.
Упругие колебания могут быть возбуждены в твердых, жидких и газообразных средах. При этом колебательное движение возбужденных частиц благодаря наличию упругих сил между ними вызывает распространение упругой УЗ-волны, сопровождаемое переносом энергии.
Для получения УЗ-колебаннй применяют пьезоэлектрические, магнитострикционные, электромагнитио-акустические (ЭМЛ) и другие преобразователи. Наибольшее распространение получили пьезоэлектрические преобразователи.
Процесс распространения ультразвука в пространстве является волновым. Граница, отделяющая колеблющиеся частицы среды от частиц, еще не начавших колебаться, называется фронтом волны. Упругие волны характеризуются скоростью распространения С, длиной волны X и частотой колебаний /. При этом под длиной волны понимается расстояние между ближайшими частицами, колеблющимися одинаковым образом (в одинаковой фазе). Число волн, проходящих через данную точку пространства в каждую секунду, определяет частоту УЗ-колебаний. Длина волны связана со скоростью ее распространения соотношением
В зависимости от направления колебания частиц различают несколько типов волн. Если частицы среды колеблются вдоль распространения волны, то такие волны (рис. 1,а) называются продольными (волнами растяжения-сжатия). В случае, если частицы среды колеблются перпендикулярно к направлению распространения волны, то это волны (рис. 1,б) — поперечные (волны сдвига). Поперечные волны могут возникать лишь в среде, обладающей сопротивлением сдвига. Поэтому в жидкой и газообразной средах образуются только продольные волны. В твердой среде могут возникать как продольные, так и поперечные волны.
Кроме поперечных и продольных волн, в твердых телах могут быть возбуждены волны других типов. Вдоль свободной поверхности тела могут распространяться п о-верхностные волны (волны Рэлея). Они являются комбинацией поперечных и продольных волн. Плоскость поляризации у них, т. е. плоскость, в которой колеблются частицы среды, перпендикулярна к поверхности. Глубина распространения этих волн в теле примерно равна длине волны, а скорость составляет СRе = 0,9Сt (рис. 1, в).
В тонких листах или в изделиях, толщина которых соизмерима с длиной волны, распространяются пластиночные волны (волны Лэмба). Они занимают всю толщину пластины (рис. 1, г).
В плакирующих слоях биметаллических листов могут распространяться поверхностные волны с горизонтальной поляризацией (волны Лява).
Пространство, в котором распространяются УЗ-волны, называют ультразвуковым полем. УЗ-волна в направлении своего движения несет определенную энергию. Количество энергии, переносимое УЗ-волной за 1 с через 1 см2 площади, перпендикулярной к направлению распространения, называется интенсивностью ультразвука I. Для плоской волны при амплитуде смещения А
Произведение скорости С ультразвука на плотность Р среды называется удельным акустическим сопротивлением. Значения Z=рС (С дано для продольной волны), характеризующие акустические свойства материалов.
Затухание УЗ-колебаний происходит но экспоненциальному закону
где Ло — амплитуда зондирующего импульса;
- коэффициент затухания, см-1.
Поскольку интенсивность ультразвука равна квадрату амплитуды, то снижение интенсивности вследствие затухания описывается формулой
На практике нет необходимости определять амплитуду А или интенсивность волны / в абсолютных единицах, а достаточно найти величину их относительного ослабления. Тогда для выражения относительной величины
используют специальные единицы — децибелы.
Число децибел
Свойства ультразвука
Как показано на рис. 2 УЗ-колебания от генератора-излучателя ИП распространяются в материале изделия. При наличии дефекта Д образуется отраженное поле. За дефектом при его значительных размерах (»
.) имеется акустическая тень. Регистрируя с помощью приемника-преобразователя П1ослабление
Рис.2 Схема УЗ-контроля материала:
Д—дефект; ИЛ — излучатель и приемник (совмещенная схема); П1 приемник о теневом методе; П2 приемник в эхо методе.
УЗ-волны или с помощью преобразователя П2 (или ИП) эхо, т. е. отраженную УЗ-волну, можно судить о наличии дефектов в материале. Это является основой двух наиболее распространенных методов УЗ-контроля: теневого и эхо-метода.
Наиболее важные дефектоскопические свойства УЗК'. направленность УЗК» ближняя и дальняя зоны преобразователей, отражение УЗК от несплошностей, затухание, трансформация УЗК.
Направленность УЗК- При излучении пьезоэлемеитом (рис. 2.5, а) импульса УЗК в среде возникает УЗ-поле, которое имеет вполне определенные пространственные границы. Угол расхождения фр зависит от соотношения длины волны и диаметра излучателя 2а:
Направленность УЗ-поля удобно представлять в виде графика в полярных координатах, называемого диаграммой направленности (рис. 3 в). Диаграмма характеризует угловую зависимость Ф (ф) амплитуды поля в дальней зоне. Полярный угол ф отсчитывают от полярной оси, совпадающей с направлением излучения максимальной амплитуды.
Диаграмму направленности прямого преобразователя выражают через цилиндрическую функцию Бссселя (первого рода и первого порядка):
Рис.3
Ближняя и дальняя зоны. Приведенная выше формула
показывает направленность УЗ-пучка в так называемой дальней зоне или зоне Фраунгофера. В ближней зоне, называемой зоной Френеля, амплитуда поля осциллирует (изменяется) как вдоль оси (рис. 3 б), так и по сечению пучка, а УЗ-волна при этом распространяется почти без расхождения.
Протяженность ближней зоны ro для цилиндрического излучателя
Из формулы видно, что увеличение диаметра излучателя, сужая направленность пучка, увеличивает ближнюю зону преобразователя.
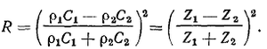
Отражение от несплошностей. Это свойство УЗ-волн служит основой для их использования в эхо-импульсном методе дефектоскопии материалов. При падении волны на поверхность раздела двух сред в общем случае часть энергии проходит во вторую среду, а часть отражается в первую. Если УЗ-волна перпендикулярна к границе двух сред, то проходящая и отраженная волны будут такого же типа, что и падающая. Коэффициент отражения R как отношение интенсивности отраженной и падающей волн зависит от соотношения удельных акустических сопротивлений Z1=P1C1 и Z2=Р2С2первой и второй сред:
Из формулы (2.11) видно, что R не зависит от направления УЗК через границу раздела сред Z1 и Z2.
Коэффициент прохождения волны D=1—R. Чем больше разница в акустических сопротивлениях, тем больше интенсивность отраженной волны. Свойство отражения УЗ-волн служит основой для выявления несилошностей в металлах, поскольку акустические свойства таких дефектов, как поры, шлаки, ненро-вары, существенно отличаются от свойств основного металла. Коэффициент отражения от трещин, несплавлений и пор близок к единице, если величина их раскрытия более 10~4 мм, а поперечный размер соизмерим с длиной волны. Для шлаков R = 0,35—0,65 в зависимости от марки флюса.
Оксидные плены, особенно в сварных швах алюминиевых сплавов или при контактной сварке, выявляются плохо, несмотря на их достаточно большое раскрытие и протяженность. Причиной этого является близость акустических свойств дефекта и металла.
Стандартная УЗ-аппаратура позволяет уверенно выявлять несплошности площадью S>1 мм2. При увеличении частоты УЗК можно выявлять иесплошности и с меньшей площадью, но при этом значительно повышается затухание УЗК.
Затухание. Коэффициент затухания б в приведенных выше формулах возрастает с увеличением частоты не линейно, а в повышенной степени. Причем коэффициент затухания различен для различных материалов и складывается из коэффициентов поглощения и рассеяния б = бп + бр.
Трансформация УЗК. Рассмотренные выше процессы отражения УЗ-волн относились к нормальному их падению на границу раздела сред. При контроле сварных швов применяют, как правило, наклонные преобразователи с вводом УЗК под некоторым углом к вертикали. В общем случае при падении продольной волны наклонно под углом β к границе двух твердых сред происходит трансформация (расщепление) этой волны (рис. 4 а). Возникают две преломленные волны (продольная С't и поперечная C't) и две отраженные Ct и Ct. Углы преломления и отражения зависят от скоростей соответствующих волн в данных средах. Эту зависимость называют законом Снеллиуса. Записанный только для преломления волн этот закон имеет вид
Рис. 4 Отражение и преломление продольной волны на границе раздела двух твердых сред.
Акустический тракт. Процессы преобразования энергии УЗ-колебаний происходят в трех так называемых трактах УЗ-дефектоскопа: электроакустическом, электрическом и акустическом.
Электроакустический тракт — это участок схемы дефектоскопа, который состоит из пьезопреобра-зователей, демпферов, переходных и контактных слоев, электрических колебательных контуров генератора на входе приемника.
В электроакустическом тракте электрические колебания преобразуются в ультразвуковые и обратно, поэтому он определяет резонансную частоту УЗК, длительность зондирующего импульса и коэффициенты преобразования электрической энергии в акустическую.
Электрический тракт, определяющий амплитуду зондирующего импульса и коэффициент усиления, состоит из генератора и усилителя.
Характеристики
Тип файла документ
Документы такого типа открываются такими программами, как Microsoft Office Word на компьютерах Windows, Apple Pages на компьютерах Mac, Open Office - бесплатная альтернатива на различных платформах, в том числе Linux. Наиболее простым и современным решением будут Google документы, так как открываются онлайн без скачивания прямо в браузере на любой платформе. Существуют российские качественные аналоги, например от Яндекса.
Будьте внимательны на мобильных устройствах, так как там используются упрощённый функционал даже в официальном приложении от Microsoft, поэтому для просмотра скачивайте PDF-версию. А если нужно редактировать файл, то используйте оригинальный файл.
Файлы такого типа обычно разбиты на страницы, а текст может быть форматированным (жирный, курсив, выбор шрифта, таблицы и т.п.), а также в него можно добавлять изображения. Формат идеально подходит для рефератов, докладов и РПЗ курсовых проектов, которые необходимо распечатать. Кстати перед печатью также сохраняйте файл в PDF, так как принтер может начудить со шрифтами.
















