123131 (717111)
Текст из файла
РЕФЕРАТ
ПО ФИЗИКЕ
ЗАЩИТНЫЕ ДИЭЛЕКТРИЧЕСКИЕ ПЛЕНКИ В ПЛАНАРНОЙ ТЕХНОЛОГИИ
МОСКВА, 2008 г.
1. Требования, предъявляемые к защитным диэлектрическим пленкам
Защитные диэлектрические пленки играют важную роль в изготовлении полупроводниковых приборов и интегральных микросхем по планарной технологии. Они дают возможность проводить локальную диффузию донорной и акцепторной примеси, формировать изолированные друг от друга активные и пассивные элементы микросхем, а также защищать с-з-переходы от внешних воздействий.
Поэтому к защитным диэлектрическим пленкам в планарной технологии предъявляют следующие основные требования: полная защита поверхности исходной подложки от проникновения в нее диффундирующих элементов (бора, фосфора, сурьмы, мышьяка и др.); химическая стойкость и стабильность во времени; однородность и бездефектность; высокие удельное сопротивление и электрическая прочность; высокая механическая прочность.
Выбор вещества для получения защитных диэлектрических пленок лимитируется полным выполнением этих требований. Таким образом, изыскать универсальное вещество для создания защитной диэлектрической пленки, удовлетворяющей требованиям планарной технологии, очень трудно.
В качестве исходных материалов для изготовления защитных диэлектрических пленок могут быть использованы кварц, монооксид и диоксид кремния, нитрид кремния, оксид и нитрид алюминия, нитрид бора и др. Однако в настоящее время широкое промышленное применение нашли только два вида материалов: диоксид и нитрид кремния.
Рис. 1. Модель процесса термического окисления кремния
2. Кинетика термического окисления кремния
Наиболее распространенным в планарной технологии изготовления полупроводниковых приборов и интегральных микросхем является метод термического окисления кремния, при котором защитные диэлектрические пленки SiO2 получают при нагревании исходных кремниевых подложек в окислительной среде. Этот метод позволяет получать высококачественные маскирующие пленки, равномерные по толщине и структуре и обладающие высокими защитными и диэлектрическими свойствами.
Рассмотрим кинетику процесса образования защитной диэлектрической пленки SiO2 при термическом окислении кремния в атмосфере кислорода. Для описания процесса термического окисления введем понятие «поток окислителя», под которым будем понимать количество молекул окислителя, пересекающих единицу поверхности подложки в единицу времени.
На рис. 1 показана модель процесса термического окисления кремния, представляющая собой систему окислитель (газ)—слой окисла (тв)—подложка кремния. Через эту систему проходит «поток окислителя», состоящий из четырех потоков, каждый из которых соответствует одной из областей системы окружающая окислительная среда — подложка кремния.
Как видно из рисунка, поток F соответствует газофазовому массопереносу окислителя к поверхности подложки кремния. Так как на поверхности кремния всегда имеется тонкий слой оксида, то поток Fi в этом случае соответствует переносу окислителя к поверхности оксида. Этот перенос может осуществляться как за счет процесса диффузии, так и за счет принудительного перемещения с потоком газа-носителя или самого окислителя. Скорость переноса будет зависеть от технологического режима процесса окисления.
В промышленных условиях для процесса термического окисления кремния используют принудительный поток окислителя F1, проходящий через рабочую камеру с определенной скоростью:
где h — константа скорости процесса газообразного массопереноса окислителя; C1— равновесная концентрация окислителя в объеме газовой фазы; C2—концентрация окислителя у поверхности оксида.
Окислитель, дошедший до поверхности оксида, адсорбируется на этой поверхности и растворяется в ней. При этом между концентрацией окислителя в газовой фазе и концентрацией окислителя, растворившегося в твердой фазе, устанавливается соотношение, определяемое коэффициентом распределения. Движущей силой процесса растворения окислителя в оксиде является градиент концентрации окислителя в системе газ — поверхность оксида. Поэтому поток окислителя
где д — константа скорости процесса растворения окислителя в слое оксида; C3— концентрация окислителя в слое оксида на границе с газовой фазой.
Растворившийся в слое оксида окислитель будет диффундировать от поверхности раздела газовая фаза — оксид к границе раздела оксид — подложка кремния. Поток окислителя F3 в этом случае будет пропорционален разности концентраций на границах оксида и обратно пропорционален толщине слоя оксида. Таким образом, поток окислителя
где D — коэффициент диффузии окислителя в оксиде; C4—концентрация окислителя на границе оксид — подложка кремния; хо — толщина слоя оксида.
Продиффундировавший через слой оксида окислитель подходит к границе оксид — кремний и вступает в реакцию с кремнием. В результате окисления кремния образуется новый слой оксида.
Поток Fi характеризует скорость химической реакции окисления, которая происходит на поверхности раздела оксид — кремний. Скорость окисления кремния пропорциональна концентрации окислителя, следовательно,
F, = kC
где k — константа скорости реакции окисления.
Так как в установившемся режиме (при равновесии) все потоки равны, т. е. Fx-F2=Fz-Fi=F, то, решая уравнения для потоков совместно, можно получить выражение для суммарного потока окислителя с учетом всех входящих в отдельные потоки величин.
При ламинарном потоке газа-носителя и окислителя распределение концентрации окислителя у границы раздела газ — твердое тело можно условно заменить на линейное:
C1 = OC2, где 0<а<М. При условии F2=Fa находим
Из условия F3=F4 находим
Складывая почленно эти выражения, получим зависимость С от Ci (Ci = aC2):
Подставляя значение C4 в выражение для потока F4, получим выражение для суммарного потока окислителя:
Если предположить, что на образование единичного объема оксида V в результате реакции окисления пошло N частиц окислителя, то скорость роста слоя оксида будет выражаться следующим уравнением:
Введем обозначения:
Интегрируя обе части уравнения методом разделения переменных, получим
Или
Решая это квадратное уравнение, получим выражение для толщины оксида в функции времени:
Или
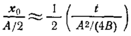
Рассмотрим два предельных случая процесса термического окисления кремния. При большом времени окислительного процесса, когда t^> >Л2/(4£), получим
Таким образом, в этом предельном случае имеет место параболический закон процесса термического окисления. Коэффициент В рассматривается как константа скорости окисления.
В другом предельном случае при относительно малом времени окисления, т. е. при условии t<^A2/(4B), получим
Рис. 2. Зависимость толщины пленки S1O2 от времени проведения процесса окисления кремния
На рис. 2 показаны общая зависимость толщины оксида от времени проведения процесса термического окисления и два ее предельных случая.
3. Термическое окисление кремния в парах воды
Для получения защитных диэлектрических пленок на кремнии используют термическое окисление в парах воды высокой чистоты (порядка 10—20 МОм-см). Высокотемпературную реакцию кремния с водяным паром используют в том случае, когда количество пара не ограничивает скорость реакции. Для поддержания необходимого парциального давления водяных паров у поверхности кремниевых пластин воду подогревают.
Структурное формирование пленки оксида происходит за счет диффузионного переноса воды через слой оксида к поверхности кремния. На структурное формирование пленки оксида оказывает влияние водород, образующийся в процессе реакции окисления и диффундирующий вглубь пластины. Так как коэффициент диффузии водорода (2·10-6 см2/с при 1050°С) значительно больше, чем коэффициент диффузии воды (9· 10-10 см2/с при 1050°С), то образование гидроксильных групп у границы раздела кремний — оксид объясняется наличием не только молекул воды, но и водорода.
При температурах процесса окисления образование слоя оксида идет согласно параболическому закону и описывается выражением X2=Bt.
Чем ниже температура процесса окисления, тем ближе к линейному закон образования слоя оксида. Линейный характер роста оксидной пленки наблюдается в парах воды высокого давления (2,5· 105—4,0*107 Па) при температуре 500—800°С.
Рис. 3. Зависимость толщины пленки SiO2, выращенной в атмосфере водяного пара, от времени для температур, °С
Рост пленки оксида по линейному закону имеет место в том случае, когда скорость окисления ограничена скоростью химической реакции на границе кремний — Оксид. На участке линейного роста скорость реакции зависит от количества свободных связей атомов кремния, которые могут реагировать с молекулами воды на границе раздела кремний— оксид.
На рис. 3 приведена зависимость изменения толщины пленки оксида в атмосфере водяного пара от времени проведения процесса для различных температур.
Большое влияние на скорость роста оксидной пленки оказывают ориентация подложки, тип электропроводности и концентрация примеси исходной подложки.
Высокая концентрация примеси в подложке влияет либо на скорость реакции окисления на границе раздела кремний — оксид, либо на коэффициенты диффузии окислителей. Так, наличие в исходной подложке фосфора в первую очередь оказывает влияние на скорость реакции окисления. Поверхность кристалла с высокой концентрацией фосфора окисляется значительно быстрее, чем слаболегированная поверхность. Это справедливо для низкотемпературного диапазона (600—10000C).
При термическом окислении растущий оксид оттесняет фосфор в глубь кристалла кремния и, таким образом, в оксидном слое концентрация фосфора весьма мала. Для бора картина обратная: растущий оксид включает в себя большое количество бора, что приводит к ускорению диффузии окисляющих веществ. Поэтому кремний с высокой концентрацией бора окисляется быстрее как в высокотемпературной, так и в низкотемпературной области.
Скорость окисления в парах воды зависит от ориентации исходной пластины кремния только в низкотемпературной области, где рост оксидной пленки не подчиняется параболическому закону.
4. Термическое окисление кремния в сухом кислороде
Отличием метода окисления в сухом кислороде от окисления в парах воды является то, что в первом случае веществом, диффундирующим сквозь растущую пленку оксида, является не вода, а ионы кислорода. Необходимо отметить, что коэффициент диффузии кислорода в пленке оксида (2,8· 10-14 см2/с при 1050°С) значительно меньше, чем у водорода и воды при тех же условиях. Поэтому скорость роста оксидной пленки в сухом кислороде меньше, чем в парах воды.
Так как в процессе образования оксидных пленок отсутствуют водород и - пары воды, то в структуре выращенного оксида нет гидроксильных групп (ОН). Высокая энергия активации процесса окисления кремния в сухом кислороде и отсутствие гидроксильных групп приводят к образованию прочных связей кислорода с кремнием в структуре получаемого оксидного слоя кремния.
Как и при окислении в парах воды, кинетика окисления в области низких температур определяется в большей мере скоростью реакции на границе раздела кремний — оксид, чем диффузией кислорода. Отклонение закона роста пленки оксида в сторону линейности обычно имеет место при температурах ниже 10000C
На рис. 4 приведены графики зависимости изменения толщины оксида в атмосфере сухого кислорода от времени проведения процесса окисления для различных температур.
Процесс окисления кремния в сухом кислороде проводят на установке, показанной на рис. 5. В качестве осушителя используют вымораживающую ловушку, химический поглотитель или комбинированное устройство, позволяющее снизить содержание влаги в кислороде до точки росы. Фильтр служит для удаления частиц пыли и механических загрязнений.
Рис. 4. Зависимость толщины пленки SiO2, выращенной в атмосфере сухого кислорода, от времени для температур, °С:
5. Термическое окисление кремния во влажном кислороде
Процесс окисления кремния во влажном кислороде представляет собой комбинацию двух ранее рассмотренных процессов окисления: в парах воды и в сухом кислороде. Сухой и очищенный от примесей кислород пропускают через водяную баню, где он насыщается горячими водяными парами, и затем подают его в рабочую камеру. Содержание влаги в потоке кислорода определяется температурой водяной бани и скоростью потока кислорода.
Так как скорость образования оксидного слоя в парах воды значительно выше, чем в сухом кислороде, то скорость процесса окисления кремния зависит от содержания влаги в потоке кислорода. Процесс окисления кремния во влажном кислороде проводят на установке, показанной на рис. 5.
Основным достоинством данного метода является то, что он позволяет легко изменять концентрацию паров воды в потоке кислорода и варьировать скорость окисления от значения, соответствующего 100%-ному содержанию кислорода, до значения, соответствующего 100%-ному содержанию паров воды.
В данном методе в качестве окислителя служит смесь кислорода и паров воды, причем соотношение этих компонентов можно изменять в широких пределах.
Если необходимо иметь низкие скорости процесса окисления, то вместо кислорода можно использовать поток аргона или азота «(температура водяной бани должна быть комнатной).
Энергия активации реакции окисления во влажном кислороде уменьшается с увеличением концентрации паров воды. Энергия активации лежит в диапазоне от 1,3 эВ, что соответствует процессу окисления в сухом кислороде, до 0,8 эВ, что соответствует процессу окисления в атмосфере водяного пара.
На рис. 6 приведены графики зависимости толщины оксидной пленки, выращенной в атмосфере влажного кислорода при температуре 1200° С, от времени проведения процесса окисления для различных температур водяного пара.
В производстве полупроводниковых приборов и интегральных микросхем широкое применение нашли двух- и трехступенчатый способы термического окисления кремния. Эти способы основаны на последовательном использовании в качестве окислителей сухого кислорода, влажного кислорода или водяного пара и снова сухого кислорода. Такой технологический процесс образования защитной диэлектрической пленки оксида кремния вызван тем, что оксид, выращенный в атмосфере сухого кислорода, имеет более совершенную структуру пленки, но малую скорость ее роста, а выращенный в атмосфере влажного кислорода и паров воды имеет менее совершенную структуру, но более высокую скорость роста.
Поэтому первая стадия в сухом кислороде многоступенчатого способа окисления направлена на получение тонкой пленки оксида кремния с совершенной структурой, вторая стадия (во влажном кислороде) применяется для убыстрения процесса окисления и наращивания достаточной по толщине пленки оксида, а третья стадия (в сухом кислороде) — вновь для получения совершенной структуры оксида на поверхности кремния.
Предельная толщина термически выращенной пленки не превышает 1 —1,5 мкм. Для практических целей планарной технологии толщина оксидных защитных пленок должна составлять 0,2— 0,8 мкм. Это продиктовано тем, что при использовании пленок толщиной более 0,8 мкм клин травления при проведении процесса фотолитографии возрастает и ограничивает возможность получения микроизображения требуемого размера. При использовании пленок толщиной менее 0,2 мкм увеличивается вероятность появления в ней сквозных отверстий и пор, которые при диффузии приводят к локальному проникновению диффузанта в подложку.
6. Пиролитическое осаждение оксидных пленок кремния
Наиболее простым и технологичным способом образования оксидов кремния без участия материалов подложки является пиролитическое разложение различных кремнийорганических соединений. Следовательно, этот способ дает возможность осаждать оксидные пленки кремния на подложку практически из любого материала. Другим важным преимуществом данного способа является то, что он позволяет свести к минимуму перераспределение примесей, которое имело место в исходной подложке, т. е. сохранить геометрические размеры и электрические параметры активных и пассивных областей подложки. Третьим достоинством способа является более низкая температура процесса.
Рис. 6. Зависимость толщины пленки SiO2, выращенной в атмосфере влажного кислорода при температуре 1200°С, от времени для различных температур водяного пара, °С
Рассмотрим два варианта данного способа, которые нашли широкое применение при изготовлении полупроводниковых приборов я интегральных микросхем.
Термическое разложение тетраэтоксилана Si(OCHs) 4. Этот процесс может проводиться непосредственно над поверхностью подложки либо в отдельной камере, из которой продукты реакции транспортируются к подложке. Реакция разложения тетраэтоксилана происходит при температуре 700—750°С. В результате реакции выделяются диоксид кремния, оксид кремния, оксид углерода и органические радикалы в газообразной форме. Источником кислорода в этой реакции служит сам тетраэтоксилан, а не внешний источник. На рис. 7 приведены графики зависимости толщины пленки от времени проведения процесса.
Если реакция разложения тетраэтоксилана проводится в одной камере с подложкой, то температура подложки соответствует температуре пиролиза. Если реакция разложения проходит в одной камере, а подложки находятся в другой камере, то температура подложек может быть значительно снижена по сравнению с температурой пиролиза.
Окисление силана кислородом. Преимущество этой реакции перед предыдущей заключается в том, что в этом случае не происходит образования газообразных органических радикалов и углерода, а сама реакция идет при более низкой температуре.
Окисление моносилана кислородом является перспективным методом в полупроводниковой технологии, так как он дает возможность осаждать оксидные пленки кремния на интерметаллические соединения типа AhiBv и A11Bvi без нарушения их стехиометрического состава. Для протекания реакции образования диоксида кремния внешний нагрев не требуется, однако для получения оксидных пленок кремния более высокого качества процесс проводят при температуре 150—300°С:
Исходными веществами для проведения этого процесса являются газовые смеси, которые включают в себя высокочистый моносилан SiH4, аргон или азот (газы-носители) и кислород. Контролируемое окисление сильно разбавленного инертным газом силана (3—10%) й позволяет реализовать осаждение диоксида кремния в широком диапазоне температур со скоростью 10—50 нм/мин.
Температурный интервал осаждения оксидных пленок кремния определяется концентрациями моносилана и окислителя. При изменении концентрации моносилана от 0,8 до 0,015 об. % для постоянного отношения силан: окислитель= 1: 3 температура процесса осаждения должна быть увеличена с 140 до 450° С.
Особое внимание следует обращать на минимальную температуру процесса осаждения. Нижний температурный предел лимитируется двумя факторами: монотонным увеличением пористости пленки диоксида кремния и гомогенным окислением моносилана в газовой фазе. Монотонное увеличение пористости пленки связано с тем, что по мере снижения температуры процесса уменьшается энергия поверхностной миграции адсорбированных подложкой молекул. Кристаллизация осаждаемых частиц при этом происходит в положениях, все более далеких от минимума свободной энергии системы. Это вызывает образование рыхлых, пористых пленок с низкой электрической прочностью и невысокой адгезией к подложке. При температурах проведения процесса осаждения ниже 150° С происходит отложение частиц диоксида кремния в виде мелкодисперсного белого порошка.
Гомогенное окисление моносилана в газовой фазе связано с тем, что чем ниже температура осаждения оксидной пленки, тем большие концентрации моносилана необходимы для реализации механизма окисления и, следовательно, все большая часть моносилана окисляется в газовой фазе, засоряя реакционную камеру и ухудшая качество образующейся пленки.
В качестве окислителя кроме кислорода могут быть использованы кислородсодержащие соединения, такие, как N2O, CO2, H2O. Использование в качестве окислителей закиси азота и углекислого газа позволяет практически исключить гомогенное окисление, однако при этом невозможно реализовать осаждение пленок диоксида кремния в диапазоне температур 200—350° С.
Контролируемое окисление моносилана (кислородом), достаточно сильно разбавленного инертными газами, позволяет получать пленки SiO2 в широком диапазоне температур (200—500°С), при этом скорости осаждения пленок достигают значений порядка 50— 100 нм/мин.
Следует отметить, что пленки SiO2, полученные данным методом, равномерны по толщине по всей поверхности пластины, обладают достаточной сплошностью, стабильностью химического состава и хорошей маскирующей способностью при проведении процессов диффузии. Отличительным признаком пленок SiO2, полученных этим методом, является более высокая скорость их травления.
Анодное окисление кремния
Анодное окисление кремния является одной из основных электродных реакций, происходящих на поверхности исходной пластины при воздействии на нее электролита и электрического тока. Метод анодного окисления включает две модификации: окисление поверхности кремния в жидком электролите и окисление в газовой плазме. В первом случае процесс называют электролитическим анодированием, во втором — газовым анодированием.
Электролитическое анодирование. При обычных условиях поверхность кремниевых пластин покрыта тонкой пленкой оксида толщиной около ЗОА. Эта оксидная пленка разделяет вещества, которые участвуют в реакции анодного окисления. Поэтому дальнейший рост оксидной пленки возможен только при переносе за счет диффузии или миграции ионов реагирующих веществ через эту пленку. Скорость роста пленок SiO2 на кремнии в жидком электролите, не растворяющем эти пленки, зависит от электростатического поля в слое оксида, стимулирующего миграцию ионов. Считают, что подвижным компонентом в рассматриваемом случае является ион кремния. Поэтому процесс выращивания анодных оксидных пленок может быть описан как процесс переноса ионов кремния через границу раздела оксид — кремний и через оксид к границе раздела оксид — электролит, где происходит реакция окисления.
Присутствие ионов в электролите у границы с оксидом заметно влияет на скорость окисления, а также на предельную толщину оксидной пленки. Толщина пленки при анодном окислении определяется значениями напряжения пробоя и ионного тока. Регулирование значения общего тока в процессе анодного окисления может осуществляться при постоянном токе, при постоянном напряжении и при комбинации этих величин.
Рассмотрим окисление при постоянном токе. Для поддержания постоянного ионного тока через оксид необходимо, чтобы с увеличением толщины оксидной пленки возрастало падение напряжения в этой пленке. Поэтому анодирование при постоянном токе можно характеризовать как скорость роста напряжения в оксиде. Скорость изменения напряжения приблизительно пропорциональна току. Следовательно, чем выше плотность ионного тока, тем быстрее повышается напряжение и быстрее растет оксид. При этом типичное значение коэффициента полезного выхода ионного тока составляет около 1% от выхода электролитических реакций. Анодное окисление при постоянном токе может продолжаться до тех пор, пока напряжение не достигнет определенного значения, зависящего от типа электролита и конструкции установки, после чего происходит пробой оксидной пленки.
В случае окисления при постоянном напряжении между анодом и катодом первоначальный ток, возникающий вследствие ионной проводимости оксида, определяется сопротивлением электролита, толщиной первоначального слоя оксида на кремниевой пластине и поляризацией, связанной с образованием «двойного слоя» в электролите. По мере роста оксида электрическое поле в нем уменьшается, что приводит к уменьшению тока, проходящего через оксид. В результате рост оксида замедляется.
Большую роль в получении воспроизводимых результатов анодного окисления играет выбор электролита и процент содержания в нем влаги. Могут быть использованы самые различные электролиты на основе азотной, борной или фосфорной кислот с добавками нитрата натрия, нитрата калия, бихромата аммония и др.
Газовое анодирование кремния аналогично электролитическому с той лишь разницей, что вместо электролита используется газ. Этот метод применяется при выращивании толстых оксидных пленок. Кислородная плазма, возбуждаемая полем высокой частоты, служит источником отрицательно заряженных кислородных ионов. Ионы кислорода из плазмы взаимодействуют с поверхностью кремниевой пластины. Рост оксида зависит от режима проведения анодного окисления: от давления внутри рабочей камеры, температуры и плотности плазмы.
8. Осаждение пленок оксида кремния термическим испарением
Для нанесения защитных пленок оксида кремния используют два метода, основанные на испарении монооксида кремния. В первом методе используется технический порошкообразный монооксид кремния. Второй метод заключается в том, что кремниевый электрод нагревается в атмосфере кислорода. При этом его поверхность покрывается монооксидом, который легко испаряется, так как обладает более высоким, чем у кремния, давлением паров.
Оксиды, получаемые путем напыления на полупроводниковую подложку, представляют собой комплексы вида Si—SiO—SiO2-. При использовании в качестве источника испарения порошка монооксида кремния одним из наиболее важных моментов для получения однородной защитной оксидной пленки является конструкция лодочки для порошка монооксида кремния. Скорость испарения зависит от геометрии лодочки, температуры, давления, а также от однородности порошка монооксида. При использовании какого-либо определенного источника скорость испарения регулируют изменением электрической мощности, служащей для нагрева лодочки. Кремниевые пластины при этом методе осаждения защитной пленки нагревают до 300° С и выше, чтобы получить хорошую адгезию защитной пленки к исходной пластине. Если осаждение производится с малой скоростью, но при высоком парциальном давлении кислорода, то пленка обладает такими же характеристиками, как и пленка SiO2. При больших скоростях осаждения или при более низком парциальном давлении кислорода оптические характеристики осажденной пленки сходны с характеристиками, присущим» пленкам SiO.
Защитные пленки, обладающие свойствами пленок SiOa, получают обычно при температуре источника 1300—HOO0C и суммарном давлении менее 6,5· IO-4 Па. >
Для получения оксидных пленок методом напыления в вакууме в качестве источника можно использовать кремний. При этом определяющую роль играет реакция у поверхности кремния. Температура и парциальное давление кислорода у этой поверхности определяют скорость адсорбции кислорода на поверхности кремния и испарения S1O2. Кремний нагревается до температуры 700— IOOO0C Парциальное давление кислорода должно быть таким, чтобы на поверхности кремниевого источника обеспечивалась реакция Si-f-O—*-SiO. Указанным методом на исходной полупроводниковой пластине можно получить оксидную пленку толщиной 0,1 мкм при температуре 900°С и давлении 1,3· IO-4 Па в течение 30 мин. При подогреве подложки, на которой располагаются пластины, улучшаются адсорбция паров оксида и адгезия их к полупроводниковым пластинам. Во избежание испарения осажденной пленки оксида температура пластин должна быть на 100—200° С ниже температуры источника.
9. Реактивное катодное распыление оксида кремния
Метод реактивно-катодного распыления оксида кремния основан на использовании электрического разряда между электродами при низком давлении окисляющего газа. Под действием бомбардировки ионизированными молекулами газа материал катода испаряется в виде свободных атомов или в виде соединений, образующихся при реакции катода с остаточными молекулами газа. Перенос распыленных частиц происходит либо за счет их кинетической энергии, либо за счет диффузии, если столкновения с остаточными молекулами газа заметно снижают их кинетическую энергию.
Методом реактивно-катодного распыления можно получать пленки оксида кремния, подвергая распылению в присутствии кислорода кремниевую мишень. Обычно этот процесс проходит при давлении 0,4 Па и напряжении 1500—2000 В. Скорость роста: пленки оксида кремния увеличивается при введении в кислородную атмосферу небольших количеств аргона.
Разновидностью реактивно-катодного распыления является метод, при котором плазма получается с помощью высокочастотного разряда. По данному методу защитные оксидные пленки получают при давлении 26,5—133 Па и напряжении 3—5 кВ.
Хорошая контролируемость процесса реактивно-катодного распыления позволяет автоматизировать процесс осаждения защитных пленок оксида кремния на подложки из полупроводникового материала.
10. Химическое осаждение пленок нитрида кремния
Наряду с защитными диэлектрическими пленками диоксида кремния в производстве полупроводниковых приборов и интегральных микросхем все более широкое применение находят пленки нитрида кремния.
Пленки нитрида кремния обладают меньшей проницаемостью для диффузантов, используемых в обычной планарной технологии, чем пленки диоксида кремния. Поэтому пленки нитрида кремния получают более тонкими. Это является важным фактором для фотолитографии, способствующим увеличению ее разрешающей способности.
Пленки нитрида кремния можно выращивать во много раз быстрее, чем пленки диоксида кремния, и при более низких температурах.
Рассмотрим несколько способов химического осаждения пленок нитрида кремния.
Реакция взаимодействия кремния с азотом. Для осуществления химической реакции нитрирования необходима температура J100— 1300°С:
3Si + 2N2 - Si3N4
Характеристики
Тип файла документ
Документы такого типа открываются такими программами, как Microsoft Office Word на компьютерах Windows, Apple Pages на компьютерах Mac, Open Office - бесплатная альтернатива на различных платформах, в том числе Linux. Наиболее простым и современным решением будут Google документы, так как открываются онлайн без скачивания прямо в браузере на любой платформе. Существуют российские качественные аналоги, например от Яндекса.
Будьте внимательны на мобильных устройствах, так как там используются упрощённый функционал даже в официальном приложении от Microsoft, поэтому для просмотра скачивайте PDF-версию. А если нужно редактировать файл, то используйте оригинальный файл.
Файлы такого типа обычно разбиты на страницы, а текст может быть форматированным (жирный, курсив, выбор шрифта, таблицы и т.п.), а также в него можно добавлять изображения. Формат идеально подходит для рефератов, докладов и РПЗ курсовых проектов, которые необходимо распечатать. Кстати перед печатью также сохраняйте файл в PDF, так как принтер может начудить со шрифтами.
















