111294 (709900), страница 6
Текст из файла (страница 6)
(Математическое лото)
Выполните действия:
Учащиеся выполняют задания, а затем учитель медленно и в разбивку объявляют ответы: -2,5; 0,1 и т.д. Тот учащийся, кто первым заявил, что в его работе есть объявленный ответ, вызывается к доске и прикрепляет квадрат с таким же числом, как и в его ответе к тому месту на ватмане, где увидит то же число, что и на квадрате. Постепенно складывается карта (рис. 1).
У
читель завершает этот этап урока словами: «Итак, карта у нас есть, настроение отличное. В путь! С песней!». Звучат строки из песни «Ничего на свете лучше нету» (только первый куплет):
Ничего на свете лучше нету,
Чем бродить друзьям по белу свету.
Тем, кто дружен, не страшны тревоги,
Нам любые дóроги дорóги.
Нам любые дóроги дорóги.
Н
ачиная с этого момента, у ребят перед глазами находится карта. На ней видны все этапы путешествия.
Прежде всего, мы очутились на поляне цветов. Но их красота обманчива. Среди них есть ядовитые и целебные. Наша задача не ошибиться, когда будем собирать букет.
На доске мелом нарисованы цветы (Рис. 2), их сердцевины пронумерованы, а на лепестках написаны дроби. Эти дроби надо перемножить и ответ сверить с дробью, записанной на листочке цветка. Если ответы совпадут, то цветочек целебный, если нет — ядовитый.
Дети дают ответы при помощи сигнальных карточек. У каждого ученика на парте лежат красная и зеленая карточки. Если цветок ядовитый, то поднимают красную карточку, если целебный – зеленную. Вслух ничего не произносят.(дроби подобраны так, чтобы две из трех были взаимно обратными. Так закрепляется правило умножения взаимно обратных чисел.) Все вместе устанавливают, что цветы 1, 3, 4 – целебные, а 2 и 5 – ядовитые.
После цветочной поляны мы попали на перепутье. По какой дороге идти? Об этом узнаем, если выполним задания. Их три – по одному для каждого ряда. Задания уже записаны на доске. Обязательное условие: ответ записать в виде десятичной дроби и округлить до единицы.
Задания
Ребята делают расчеты на своих местах, а трое учеников – у доски. Получаются ответы:
-
0,64 ≈ 1;
-
0;
-
0,040. ≈ 0.
Учитель объясняет, что ноль в ответе означает тупик, которым кончается дорога. Итак, дороги № 2 и 3не приведут нас к цели. Значит, надо идти по дороге № 1 .
По карте видно, что мы подошли к озеру. Наловим рыбки для ухи.
Н
а доске написаны пять заданий, которые закрыты листами бумаги, чтобы заранее дети их не увидели. На учительском столе разложены пять крупных рыб (рис. 3), вырезанных из бумаги.
На каждой рыбке проставлен номер (это номер задания). Голова рыбы унизана скрепками. Берем «удочку», на конце лески прикреплен магнит. Магнит «цепляет» скрепки – и рыбка поймана. По её номеру становится ясно, какое задание открывать для решения.
Задания
-
На какое число надо разделить 2, чтобы получить 4?
-
Меньше или больше половины литровой банки наполнится водой, если в нее влить:
л; 0,7 л;
л?
-
Вычислите
-
Найдите сумму четырех десятых числа 40 и двух третей числа 36.
П
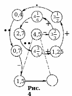
оудив рыбу и сварив воображаемую уху, мы подходим к мельнице. Вблизи (рис. 4) она, конечно, значительно больше, чем на карте. Теперь мы можем рассмотреть её во всех подробностях. Мельница перемалывает все описания числа, начиная с середины (это число 4,5). Пойдем и мы вслед за стрелками на рис. 4, выполняя то действие, которое записано на стрелке. Получив ответ, двигаемся дальше. Например:
Найдя окончательный ответ, ребята продолжают путь, но тут начинается буря (учитель включает магнитофон, и раздаются звуки сильного ветра и потоков дождя). Мы вымокли, ветер пронизывает, озябли. С надеждой смотрим на карту и с радостью замечаем, что можем укрыться в пещере. Что мы и делаем. А погода испортилась, видимо, на несколько дней. Сколько же мы сможем продержаться здесь? Ответ на этот вопрос мы найдем, решив задачу про пещеру, воду и …проценты.
Задача. В пещере обнаружено 750 л пресной воды. На сколько дней хватит этого запаса воды для 30 человек, если один человек в день расходует 0,2 % от всего количества воды?
Сначала разбираем решение всем классом, а затем один ученик делает записи на доске:
Интересно обсудить с ребятами вопрос об округлении результата. Во-первых, нужно ли округлять число
? — Нужно, поскольку в задаче требуется узнать целое число дней. Во-вторых, как округлять? Лучше рассуждать не формально. Так, если нам хватило воды на две трети дня, то, значит, в этот день мы без воды не остались. Тогда ответ должен быть таким: воды хватит на 17 дней. Подчёркиваем, что рассуждая строго по правилу
, мы придём точно к такому же результату.
Буря кончилась, мы выходим из пещеры на лесную поляну. Здесь отдохнём. Можно расслабиться, пошутить, почитать стихи. Несколько человек приготовили на подарок — выучили стихотворение В. Лившица «Три десятых» и теперь читают его нам по четверостишьям:
Это кто из портфеля швыряет в досаде
Ненавистный задачник, пенал и тетради?
И суёт свой дневник, не краснея при этом,
Под дубовый буфет, чтоб лежал под буфетом?
Познакомьтесь, пожалуйста, Костя Жигалин,
Жертва вечных придирок, — он снова провален.
И шипит, на растрепанный глядя задачник:
— Просто мне не везёт! Просто я неудачник!
В чем причина обиды его и досады?
Что ответ не сошелся лишь на три десятых!
Это сущий пустяк, и к нему, безусловно,
Придирается строгая Марья Петровна.
Три десятых. Скажи про такую ошибку,
И, пожалуй, на лицах увидишь улыбку.
Три десятых… И всё же об этой ошибке
Я прошу вас послушать меня без улыбки.
Если б, строя ваш дом, тот, котором живете,
Архитектор немного ошибся в расчете —
Что б случилось, ты знаешь ли, Костя Жигалин?
Этот дом превратился бы в груду развалин!
Ты вступаешь на мост, он надёжен и прочен,
А не будь инженер в чертежах свои точен,
Ты бы, Костя, свалившись в холодную реку,
Не сказал бы спасибо тому человеку!
Три десятых — и стены возводятся косо!
Три десятых — и рухнут вагоны с откоса!
Ошибись только на три десятых аптека —
Станет ядом лекарство, убьёт человека…
Ты подумай об этом, мой друг, хладнокровно,
И скажи — не права ль была Марья Петровна?
Если честно подумать, Костя, об этом,
То не долго лежать дневнику под буфетом!
На отдыхе можно и шутливые задания выполнять. Например:
Одновременно написать на доске число 7,2 левой рукой, и число 2,7 — правой.
С завязанными глазами записать и выполнить задание на сложение двух десятичных дробей, обыкновенной и десятичной.
О
тдохнув, мы двигаемся далее и вот, наконец, дошли до того места, где зарыт клад. Но нам преграждает путь дракон. Его появление было предсказано картой, но он всё-таки возникает неожиданно.
Плакат с нарисованным на нем цветным драконом (Рис. 5) укреплен на обратной стороне подвижной створки доски. Учитель открывает створку, и все видят «страшное» чудовище. Каждая голова дракона держит листок с заштрихованным словом, где известны только первая и последняя буквы.
Угадав все слова, ребята повергают чудовище в прах.
Вот теперь наступает самая волнующая минута. Можно взять клад! И тут учитель из «тайника» достает ларец (стилизованный под старину), медленно его открывает. Напряжение в классе растёт: все видит много-много старинных золотых монет. На самом деле — это маленькие круглые шоколадки в золотой фольге, но дети не думают об этом. Они честно делят клад друг с другом и весело поедают свою законную добычу.
31















