kursovik (709229), страница 4
Текст из файла (страница 4)
Сделаем проверку правильности расчетов повторно определив SС-3, как поток головного участка.
Р
езультат совпал с предыдущим значением, значит расчет потокораспределения был правильным
5.2.2. Расчет потокораспределения в аварийных режимах и выявление наиболее тяжелого режима.
отключена 20,135+j13,325 42,22+j25,305 74,501+j46,731 90,203+j65,534
C 2 1 4 3 C’
20,135+j13,325 22,085+j11,98 32,281+j21,426 15,702+j18,803
20,135+j13,325 отключена 22,085+j11,98 54,366+j33,406 70,068+j52,209
C 2 1 4 3 C’
20,135+j13,325 22,085+j11,98 32,281+j21,426 15,702+j18,803
42,22+j25,305 22,085+j11,98 отключена 32,281+j21,426 47,983+j40,229
C 2 1 4 3 C’
20,135+j13,325 22,085+j11,98 32,281+j21,426 15,702+j18,803
74,501+j46,731 54,366+j33,406 32,281+j21,426 отключена 15,702+j18,803
C 2 1 4 3 C’
20,135+j13,325 22,085+j11,98 32,281+j21,426 15,702+j18,803
90,203+j65,534 70,068+j52,209 47,983+j40,229 15,702+j18,803 отключена
С 1 2 4 3 С’
20,135+j13,325 22,085+j11,98 32,281+j21,426 15,702+j18,803
рис.5.8
Сравнивая потоки мощности по вертикали против каждой линии находим наибольшие аварийные мощности для линий:
5.2.3. Выбор сечений проводов линий, проверка их по нагреву в нормальном и наиболее тяжелом для данной линии аварийном режимах.
Проделаем это в табличной форме.
Таблица 5.1
| ЛЭП | Нормальный режим работы | Наиб. Авар. | Ip | Эконом. Сечение | Пред. эконом нагрузка | Принятое сечение | Io доп (проверка по нагреву) | ||||
| P | Q | S | I | Sab | Iab | ||||||
| - | МВА | МВА | А | МВА | А | А | мм | ||||
| С-2 | 47,708 | 31,333 | 57,077 | 299,6 | 111,496 | 585,2 | 314,6 | 240 | 370>314,6 | АС-240/39 | 610>299,6 610>585,2 |
| 2-1 | 27,573 | 18,008 | 32,933 | 172,9 | 87,38 | 458,6 | 181,5 | 185 | 230>181,5 | АС-185/29 | 510>172,9 510>458,6 |
| 1-4 | 5,488 | 6,028 | 8,152 | 42,79 | 62,616 | 328,6 | 44,93 | 120 | 125>44,93 | АС- 95/16 | 330>42,79 330>328,6 |
| 3-4 | 26,793 | 15,398 | 30,902 | 162,2 | 87,944 | 461,6 | 170,3 | 185 | 230>170,3 | АС-185/29 | 510>162,2 510>461,6 |
| С-3 | 42,495 | 34,201 | 54,548 | 286,3 | 111,496 | 585,2 | 300,6 | 240 | 370>300,6 | АС-240/39 | 610>286,3 610>585,2 |
5.2.4. Определение параметров линии проделаем в табличной форме.
Таблица 5.2
| ЛЭП | Ro | d | Xo | Bo | L | R | X | Qзар/2 |
| Ом/км | мм | Ом/км | см/км | км | Ом | Ом | Мвар | |
| С-2 | 0,122 | 21,6 | 0,401 | 2,83510-6 | 18 | 2,196 | 7,214 | 0,309 |
| 2-1 | 0,159 | 18,8 | 0,409 | 2,77210-6 | 18 | 2,862 | 7,37 | 0,302 |
| 1-4 | 0,299 | 13,5 | 0,430 | 2,63410-6 | 30 | 8,97 | 12,905 | 0,478 |
| 3-4 | 0,159 | 18,8 | 0,409 | 2,77210-6 | 25 | 3,975 | 10,236 | 0,419 |
| С-3 | 0,122 | 21,6 | 0,401 | 2,83510-6 | 20 | 2,44 | 8,016 | 0,343 |
5.2.5. Нагрузки узлов с учетом зарядной мощности.
Т
ак как в узлах 1,2,3,4 только потребление реактивной мощности, то по 1 закону Кирхгофа зарядная мощность во всех узлах будет вычитаться.
5.2.6. Расчет потокораспределения в нормальном режиме работы по нагрузкам узлов с учетом зарядной мощности и по формулам через сопротивления линий.
Результат совпал с ранее вычисленным, значит расчет потокораспределения выполнен правильно.
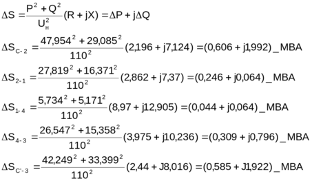
5.1.7. Расчет потерь мощности.
5.2.8. Потокораспределение в схеме с учетом потерь мощности.
Снос производим на точки «С» балансирующего узла от точки потокораздела «4» (рис.5.10.) используя 1 закон Кирхгофа.
6. ОКОНЧАТЕЛЬНАЯ РАЗРАБОТКА СХЕМ ПОДСТАНЦИЙ
Согласно норм технологического проектирования сетей, исходя из числа присоединений (число ЛЭП + число трансформаторов), вида ПС, напряжения на высшей стороне ПС, принимаем следующие схемы ПС на высшем напряжении:
Вариант 1:
ПС1 число присоединений 5 +1секционный выключатель
ПС2 число присоединений 6 +1секционный выключатель
ПС3 число присоединений 6 +1секционный выключатель
ПС4 число присоединений 4
Для подстанций 1,2,3 принимаем схему одна секционированная система шин с обходной с совмещенными секционным и обходным выключателем. Для подстанции 4 – два блока с отделителями и неавтоматической перемычкой со стороны шин.
Вариант 2:
ПС1 число присоединений 5 +1секционный выключатель
ПС2 число присоединений 4
ПС3 число присоединений 5 +1секционный выключатель
ПС4 число присоединений 4
Для подстанций 1,3 принимаем схему одна секционированная система шин с обходной с совмещенными секционным и обходным выключателем. Для подстанции 2,4 – мостик с выключателем в перемычке и отделителями в цепях трансформаторов.
Для подстанции «С» в обеих вариантах - две рабочие системы шин с обходной, так как предполагается, что это мощная узловая подстанция с большим числом присоединений.
7. ТЕХНИКО-ЭКОНОМИЧЕСКОЕ СРАВНЕНИЕ ВАРИАНТОВ
К основным техническим показателям относятся: надежность электроснабжения и долговечность объекта в целом и отдельных его частей, условия обслуживания, количество обслуживающего персонала, расход цветного металла на провода, величина номинального напряжения сети.
Сравнение вариантов по таким показателям как надежность электроснабжения, оперативная гибкость схемы, качество напряжения обычно не проводиться, так как по этим показателям рассматриваемые варианты должны удовлетворять в одинаковой степени. В сравнении также не учитываются трансформаторы и потери в них, РУ низшего напряжения, так как они в обоих вариантах одинаковые.
Расчетные приведенные затраты, без учета ущерба от недоотпуска электроэнергии
З=0,12К+Иа,р+Ипот, [2, стр. 84, ф. 4-17]
где К - капитальные затраты получаем умножением УПС на число единиц оборудования и учитывая коэффициент увеличения стоимости (Кув=10) по сравнению со стоимостью на год составления справочника.
Иа,р- ежегодные отчисления на амортизацию, текущий ремонт и обслуживание.
Ипот- стоимость потерянной электроэнергии.















