kursovik (709229), страница 6
Текст из файла (страница 6)
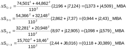
U4=U(2-1)=110,234-1,083=109,151 кВ
U3=U(4-3)=109,151+2,407=111,558 кВ
UС=U(С-3)=111,558+3,388=114,946 кВ
Уровни напряжений на подстанциях:
«С»-115 кВ; ПС1-110,234 кВ; ПС2-112,074 кВ; ПС3-11,558 кВ; ПС4-109,151 кВ
9. ЭЛЕКТРИЧЕСКИЙ РАСЧЕТ ВЫБРАННОГО ВАРИАНТА В МИНИМАЛЬНОМ РЕЖИМЕ НАГРУЗОК ПОТРЕБИТЕЛЕЙ.
Выбор сечений проводов проводился в электрическом расчете при максимальных нагрузках потребителей. Но так как нагрузки в течение суток изменяются, то необходимо произвести расчет и при минимальных нагрузках. В этом режиме отдельные линии снизят свою нагрузку, другие, наоборот, могут увеличить. Это вызовет увеличение нагрева проводов этих линий. Изменяться потери и уровни напряжения, потери мощности во всех линиях и трансформаторах. С целью проверки проводов по нагреву и определения уровней напряжения при минимальных нагрузках потребителей производится дополнительный расчет. Методика расчета остается прежней. Различие лишь в том, что трансформаторы и сечение проводов уже известны, а поэтому в расчете минимального режима пересчитываются потери мощности в обмотках трансформаторов, ведется расчет потокораспределения сразу через сопротивления линий, рассчитываются потери мощности и потери и уровни напряжения. После расчета производится проверка по нагреву и анализируются уровни напряжения.
Расчет аналогичный (см. выше) не приводится для сокращения размера файла.
Проверку проводов на нагрев в минимальном режиме работы проведем в табличной форме.
Таблица 9.1.
| Наименование линии | P+jQ | S | U | I | Марка и сечение провода | I0ДОП | Примечание |
| МВА | МВА | кВ | А | мм2 | А | ||
| С-2 | 33,936+j24,508 | 41.86 | 114 | 220 | АС-240/39 | 610 | проходит |
| 2-1 | 19.544+j13.536 | 23.77 | 111.795 | 122.7 | АС-185/29 | 510 | проходит |
| 1-4 | 0.96+j3.620 | 3.74 | 110.402 | 19.5 | АС- 95/16 | 330 | проходит |
| 4-3 | 21.644+j12.511 | 25 | 109.901 | 131.3 | АС-185/29 | 510 | проходит |
| С-3 | 20.232+j22.918 | 30.57 | 111.849 | 157.8 | АС-240/39 | 610 | проходит |
10. ЭЛЕКТРИЧЕСКИЙ РАСЧЕТ ОДНОГО, НАИБОЛЕЕ ТЯЖЕЛОГО АВАРИЙНОГО РЕЖИМА ПРИ МАКСИМАЛЬНЫХ НАГРУЗКАХ ПОТРЕБИТЕЛЕЙ
10.1. Нагрузки узлов с учетом зарядной мощности при отключении линии 3-4
10.2. Расчет потокораспределения в нормальном режиме работы по нагрузкам узлов с учетом зарядной мощности.
10.4. Потокораспределение в схеме с учетом потерь мощности.
Исходное напряжение задано в узле «С» UС=115 кВ, поэтому с него и начинаем.
U2=U(С-2)=115-3,84=111,16 кВ
U1=U(2-1)=111,16-2,86=108,3 кВ
U4=U(2-1)=108,3-4,45=103,85 кВ
U3=U(4-3)=115-1,65=113,35 кВ
Проверку проводов на нагрев в аварийном режиме проведем в табличной форме.
Таблица 10.1.
| Наименование линии | P+jQ | S | U | I | Марка и сечение провода | I0ДОП | Примечание |
| МВА | МВА | кВ | А | мм2 | А | ||
| С-2 | 77.916+j53.38 | 94.44 | 115 | 474 | АС-240/39 | 610 | проходит |
| 2-1 | 56.408+j36.157 | 67 | 111.16 | 348 | АС-185/29 | 510 | проходит |
| 1-4 | 33.379+j22.527 | 40.27 | 108.3 | 211 | АС- 95/16 | 330 | проходит |
| 4-3 | АС-185/29 | 510 | проходит | ||||
| С-3 | 15.82+j18.849 | 24.6 | 115 | 123 | АС-240/39 | 610 | проходит |
11. ВЫБОР ОТВЕТВЛЕНИЙ ТРАНСФОРМАТОРОВ И ОПРЕДЕЛЕНИЕ НАПРЯЖЕНИЙ НА НИЗШЕЙ СТОРОНЕ ПОДСТАНЦИЙ ВО ВСЕХ РЕЖИМАХ РАБОТЫ
Согласно ПУЭ, в часы максимальных нагрузок напряжение должно быть не ниже 105% номинального напряжения сети. В проекте все ПС имеют нагрузку на стороне 10 кВ. тогда желаемое напряжение будет:
Общая формула коэффициента трансформации
Максимальное возможное число ступеней регулирования у этих трансформаторов М=
9. диапазон регулирования
16%. Тогда, величина одной ступени регулирования будет равна В%=16/9=1,78%, или В = 1,78115/100 = 2,05 кВ.
11.1. Расчет для подстанции 1.
Напряжение на высшей стороне трансформаторов ПС1 UВС=110,23 кВ. Напряжение на высшей стороне условно идеального трансформатора:
Желаемый коэффициент трансформации:
Подставим вместо «М» неизвестное число ступеней «Х» со знаком «-», так как КЖ<КНОМ, а само выражение «К» приравниваем КЖ.
Решив, получаем ХСТ=2,44. округлим до целого числа в большую сторону. Принимаем ХСТ=3.
Тогда принятый коэффициент трансформации
Напряжение на низшей стороне подстанции 1 будет равно:
Определим номер положения переключателя ответвлений. Номинальному коэффициенту соответствует N=1+M=1+9=10
Номер рабочего ответвления равен: NНОМ-ХПРИН=10-(-3)=13
+16% UНОМ.ВН Фаза «А» UНОМ.ВН=115 кВ
1,78% UНОМ.ВН -16% UНОМ.ВН
А
N1 N10 N16
(
+9 ступеней) (основной вывод) N19(-9 ступеней)
х
y z
рис.11.1.
11.2. Минимальный режим.
Расчет для подстанции 1.
Напряжение на высшей стороне трансформаторов ПС1 UВС=110,4 кВ. Напряжение на высшей стороне условно идеального трансформатора:
Желаемый коэффициент трансформации:
Подставим вместо «М» неизвестное число ступеней «Х» со знаком «-», так как КЖ<КНОМ, а само выражение «К» приравниваем КЖ.
Решив, получаем ХСТ=-0,89. округлим до целого числа в большую сторону. Принимаем ХСТ=0.
Тогда принятый коэффициент трансформации
Напряжение на низшей стороне подстанции 1 будет равно:
Определим номер положения переключателя ответвлений. Номинальному коэффициенту соответствует N=1+M=1+9=10
Номер рабочего ответвления равен: NНОМ-ХПРИН=10-(-0)=10
11.3. Аварийный режим.
Расчет для подстанции 1.
Напряжение на высшей стороне трансформаторов ПС1 UВС=108,3 кВ. Напряжение на высшей стороне условно идеального трансформатора:
Желаемый коэффициент трансформации:
Подставим вместо «М» неизвестное число ступеней «Х» со знаком «-», так как КЖ<КНОМ, а само выражение «К» приравниваем КЖ.
Решив, получаем ХСТ=3,51. округлим до целого числа в большую сторону. Принимаем ХСТ=4.
Тогда принятый коэффициент трансформации
Напряжение на низшей стороне подстанции 1 будет равно:
Определим номер положения переключателя ответвлений. Номинальному коэффициенту соответствует N=1+M=1+9=10
Номер рабочего ответвления равен: NНОМ-ХПРИН=10-(-4)=14
Таблица 11.1
| № ПС | Тип и мощность трансформаторов | Сопротивления | РПР’ | QПР’ | UВС | Uт | UВС’ | Принятый коэф- фициент трансформации | № положения переключателя | UНС | ||||
| RТ | ХТ | |||||||||||||
| Ом | Ом | МВт | Мвар | кВ | кВ | кВ | КВ | |||||||
| 1 | ТДН-10000/110 | 2 | 7,94 | 138,86 | Режим работы сети | max | 12,057 | 7,8 | 110,23 | 5,34 | 104,89 | 115-31,78%115 11 | 13 | 10,6 |
| min | 8,431 | 6,183 | 110,4 | 4,19 | 106,21 | 115-01,78%115 11 | 10 | 10,16 | ||||||
| ав | 12,057 | 7,8 | 108,3 | 5,44 | 102,86 | 115-41,78%115 11 | 14 | 10,59 | ||||||
| 2 | ТДН-16000/110 | 2 | 4,65 | 86,79 | max | 20,093 | 13,069 | 112,07 | 5,47 | 106,6 | 115-21,78%115 11 | 12 | 10,57 | |
| min | 14,05 | 10,342 | 111,8 | 4,31 | 107,49 | 115+11,78%115 11 | 9 | 10,1 | ||||||
| ав | 20,093 | 13,069 | 111,16 | 5,52 | 105,64 | 115-31,78%115 11 | 13 | 10,68 | ||||||
| 3 | ТРДН-40000/110 | 2 | 1,32 | 34,72 | max | 57,618 | 38,243 | 111,56 | 6,29 | 105,27 | 115-51,78%115 10,5 | 15 | 10,55 | |
| min | 40,297 | 30,077 | 111,85 | 4,91 | 106,94 | 115-21,78%115 10,5 | 12 | 10,12 | ||||||
| ав | 57,618 | 38,243 | 113,35 | 6,19 | 107,16 | 115-41,78%115 10,5 | 14 | 10,54 | ||||||
| 4 | ТРДН-25000/110 | 2 | 2,54 | 55,55 | max | 32,231 | 21,051 | 109,51 | 5,71 | 103,8 | 115-61,78%115 10,5 | 16 | 10,61 | |
| min | 22,54 | 16,639 | 109,9 | 4,46 | 105,44 | 115-31,78%115 10,5 | 13 | 10,17 | ||||||
| ав | 32,231 | 21,051 | 103,85 | 6,55 | 97,83 | 115-91,78%115 10,5 | 19 | 10,64 | ||||||
На всех подстанциях получены нормальные напряжения, значит дополнительное регулирование напряжения другими средствами не требуется.
12. СПИСОК ИСПОЛЬЗУЕМОЙ ЛИТЕРАТУРЫ
-
Правила устройства электроустановок. –М.: Энергоатомиздат, 1986. –648 с.
-
В.А. Боровиков, В.К. Косарев, Г.А. Ходот. Электрические сети энергетических систем. –Л.: Энергия, 1977. –392 с.
-
Справочник по электрическим установкам высокого напряжения. Под редакцией И.А. Баумштейна, С.А. Бажанова. –М.: Энергоатомиздат, 1989. –768 с.
-
Электрический справочник: В 3т. Т.3. В 2 кн. Кн.1. Производство и распределение электрической энергии (Под общей редакцией профессоров МЭИ: И.И. Орлова и др.) –М.: Энергоатомиздат, 1988. –880 с.
-
Справочник по проектированию электроэнергетических систем. В.В. Ершевич, А.Н. Зейлигер и др. Под редакцией С.С. Рокотяна. –М.: Энергоатомиздат, 1985. –392 с.
-
В.И. Идельчик. Электрические системы и сети. –М.: Энергоатомиздат, 1989. –592 с.
-
Б.Н. Неклепаев, И.П. Крючков. Электрическая часть электростанций и подстанций: Справочные материалы для курсового и дипломного проектирования. –М.: Энергоатомиздат, 1989. –608 с.
-
Методическое пособие по выполнению курсового проекта предмета «Электрические сети энергетических систем» Быков С.П. 2000.
-
Пример выполнения курсового проекта по «Электрическим сетям энергосистем» для специальности 1001 «электрооборудование электрических станций и сетей» Быков С.П. 1998-1999.















