109156 (707899)
Текст из файла
Прямой и обратный пьезоэффект, его использование в науке и технике
1. Пьезоэлектрический эффект.
В некоторых кристаллах поляризация может возникнуть и без внешнего поля, если кристалл подвергается механическим деформациям. Это явление, открытое в 1880 г. Пьером и Жаком Кюри, получило название пьезоэлектрического эффекта.
Чтобы обнаружить пьезоэлектрические заряды, на грани кристаллической пластинки накладывают металлические обкладки. При разомкнутых обкладках между ними при деформации появляется разность потенциалов. При замкнутых обкладках на них образуются индуцированные заряды, равные по величине поляризационным зарядам, но противоположные им по знаку, и в цепи, соединяющей обкладки, в процессе деформации возникает ток. Рассмотрим основные особенности пьезоэлектрического эффекта на примере кварца. Кристаллы кварца SiO2 существуют в различных кристаллографических модификациях. Интересующие нас кристаллы (a-кварц) принадлежат к так называемой тригональной кристаллографической системе и обычно имеют форму, показанную на рис.1. Они напоминают шестигранную призму, ограниченную двумя пирамидами, однако имеют еще ряд дополнительных граней. Такие кристаллы характеризуются четырьмя кристаллическими осями, определяющими важные направления внутри кристалла.
Одна из этих осей - Z соединяет вершины пирамид. Три другие X1, Х2, Х3 перпендикулярны к оси Z и соединяют противолежащие ребра шестигранной призмы. Направление, определяемое осью Z, пьезоэлектрически неактивно: при сжатии или растяжении по этому направлению никакой поляризации не происходит. Напротив, при сжатии или растяжении в любом направлении, перпендикулярном к оси Z, возникает электрическая поляризация. Ось Z называется оптической осью кристалла, а оси X1, Х2, Х3 - электрическими или пьезоэлектрическими осями.
Рассмотрим пластинку кварца, вырезанную перпендикулярно к одной из пьезоэлектрических осей X. Ось, перпендикулярную к Z и X, обозначим через Y (рис. 2). Тогда оказывается, что при растяжении пластинки вдоль оси Х на перпендикулярных к ней гранях АВСD и ЕFGН появляются разноименные поляризационные заряды. Такой пьезоэлектрический эффект называется продольным. Если изменить знак деформации, т. е. перейти от растяжения к сжатию, то и знаки поляризационных зарядов изменятся на обратные.
Рис. 1. Кристалл кварца.
Возникновение поляризационных зарядов определенных знаков при данном типе деформации (растяжение или соответственно сжатие) показывает, что концы осей Х неравноправны, и осям Х можно приписать определенные направления (что отмечено на рис. 1 стрелками). Это значит, что при данной деформации знак заряда зависит от того, направлена ли ось Х по внешней нормали к грани или по внутренней. Такие оси с неравноправными концами получили название полярных осей. В отличие от полярных осей Х1, Х2, Х3, концы оси Z совершенно равноправны и она является неполярной осью.
Рис. 2. Кварцевая пластинка, вырезанная перпендикулярно к пьезоэлектрической оси.
Неравноправность концов полярной оси проявляется, конечно, не только в пьезоэлектрическом эффекте, но и в других явлениях. Так, например, скорость химического травления граней, расположенных у разных концов полярной оси, оказывается различной и получающиеся при этом фигуры травления отличаются друг от друга.
Наряду с продольным пьезоэлектрическим эффектом существует также поперечный пьезоэлектрический эффект. Он заключается в том, что при сжатии или растяжении вдоль оси Y возникает поляризация вдоль оси Х и на тех же гранях АВСD и ЕFGН появляются поляризационные заряды. При этом оказывается, что знаки зарядов на каждой грани при сжатии вдоль Y (в поперечном эффекте) такие же, как при растяжении вдоль Х (в продольном эффекте).
Пьезоэлектрический эффект объясняется следующим образом В ионных кристаллах вследствие несовпадения центров положительных и отрицательных ионов имеется электрический момент и в отсутствие внешнего электрического поля. Однако эта поляризация обычно не проявляется, так как она компенсируется зарядами на поверхности. При деформации кристалла положительные и отрицательные ионы решетки смещаются друг относительно друга, и поэтому, вообще говоря, изменяется электрический момент кристалла. Это изменение электрического момента и проявляется в пьезоэлектрическом эффекте.
Рис. 3 качественно поясняет возникновение пьезоэлектрического эффекта в кварце. Здесь схематически показаны проекции положительных ионов Si (заштрихованные кружки) и отрицательных ионов О (светлые кружки) в плоскости, перпендикулярной к оптической оси Z. Этот рисунок не соответствует фактической конфигурации ионов в элементарной ячейке кварца, в которой ионы не лежат в одной плоскости, а их число больше показанного. Он, однако, правильно передает симметрию взаимного расположения ионов, что уже достаточно для качественного объяснения.
Рис. 3, а) соответствует недеформированному кристаллу. На грани A, перпендикулярной к оси X1, имеются выступающие положительные заряды, а на параллельной ей грани В - выступающие отрицательные заряды. При сжатии вдоль оси X1 (рис. 3, б) элементарная ячейка деформируется. При этом положительный ион 1 и отрицательный ион 2 «вдавливаются» внутрь ячейки, отчего выступающие заряды (положительный на плоскости А и отрицательный на плоскости В) уменьшаются, что эквивалентно появлению отрицательного заряда на плоскости А и положительного заряда на плоскости В. При растяжении вдоль оси X1 имеет место обратное (рис. 3, в): ионы 1 и 2 «выталкиваются» из ячейки. Поэтому на грани А возникает дополнительный положительный заряд, а на грани В - отрицательный заряд.
а) б)
Рис. 3. К объяснению пьезоэлектрического эффекта.
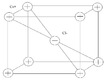
Расчеты в теории твердого тела в согласии с опытом показывают, что пьезоэлектрический эффект может существовать только в таких кристаллах, в которых элементарная ячейка не имеет центра симметрии. Так, например, элементарная ячейка кристаллов CsCl (рис. 4) имеет центр симметрии и эти кристаллы не обнаруживают пьезоэлектрических свойств. Расположение же ионов в ячейке кварца таково, что в нем центр симметрии отсутствует, и поэтому в нем возможен пьезоэлектрический эффект.
Рис. 4. Элементарная ячейка кристалла хлористого цезия CsCl.
Величина вектора поляризации Р (и пропорциональная ей поверхностная плотность пьезоэлектрических зарядов о') в определенном интервале изменений пропорциональна величине механических деформаций. Обозначим через и деформацию одностороннего растяжения вдоль оси X:
u=d/d, (1)
где d - толщина пластинки, а d — ее изменение при деформации. Тогда, например, для продольного эффекта имеем:
P=Px=u (2)
Величина называется пьезоэлектрическим модулем. Знак может быть как положительным, так и отрицательным. Так как и безразмерная величина, то измеряется в тех же единицах, что и Р, т.е. в Кл/м2. Величина поверхностной плотности пьезоэлектрических зарядов на гранях, перпендикулярных к оси X, равна '=Рх
Вследствие возникновения пьезоэлектрической поляризации при деформации изменяется и электрическое смещение D внутри кристалла. В этом случае в общем определении смещения под Р нужно понимать сумму Рe+Pu, где Pe oбусловлено электрическим полем, а Рu — деформацией. В общем случае направления Е, Pe и Рu не совпадают и выражение для D получается сложным. Однако для некоторых направлений, совпадающих с осями высокой симметрии, направления указанных векторов оказываются одинаковыми. Тогда для величины смещения можно написать:
D=0E+u, (3)
где Е - напряженность электрического поля внутри кристалла, а - диэлектрическая проницаемость при постоянной деформации. Соотношение справедливо, например, при деформации одностороннего растяжения (сжатия) вдоль одной из электрических осей X. Оно является одним из двух основных соотношений в теории пьезоэлектричества (второе соотношение приведено).
Пьезоэлектрический эффект возникает не только при деформации одностороннего растяжения, но и при деформациях сдвига.
Пьезоэлектрические свойства наблюдаются, кроме кварца, у большого числа других кристаллов. Гораздо сильнее, чем у кварца, они выражены у сегнетовой соли. Сильными пьезоэлектриками являются кристаллы соединений элементов 2-й и 6-й групп периодической системы (СdS, ZnS), а также многих других химических соединений.
2. Обратный пьезоэлектрический эффект.
Наряду с пьезоэлектрическим эффектом существует и обратное ему явление: в пьезоэлектрических кристаллах возникновение поляризации сопровождается механическими деформациями. Поэтому, если на металлические обкладки, укрепленные на кристалле, подать электрическое напряжение, то кристалл под действием поля поляризуется и деформируется.
Легко видеть, что необходимость существования обратного пьезоэффекта следует из закона сохранения энергии и факта существования прямого эффекта. Рассмотрим пьезоэлектрическую пластинку (рис. 5) и предположим, что мы сжимаем ее внешними силами F. Если бы пьезоэффекта не было, то работа внешних сил равнялась бы потенциальной энергии упруго деформированной пластинки. При наличии пьезоэффекта на пластинке появляются заряды и возникает электрическое поле, которое заключает в себе дополнительную энергию. По закону сохранения энергии отсюда следует, что при сжатии пьезоэлектрической пластинки совершается большая работа, а значит, в ней возникают дополнительные силы F1, противодействующие сжатию. Это и есть силы обратного пьезоэффекта. Из приведенных рассуждений вытекает связь между знаками обоих эффектов. Если в обоих случаях знаки зарядов на гранях одинаковы, то знаки деформаций различны. Если при сжатии пластинки на гранях появляются заряды, указанные на рис. 5, то при создании такой же поляризации внешним полем пластинка будет растягиваться.
Рис .5. Связь прямого и обратного пьезоэлектрических эффектов.
Обратный пьезоэлектрический эффект имеет внешнее сходство с электрострикцией. Однако оба эти явления различны. Пьезоэффект зависит от направления поля и при изменении направления последнего на противоположное изменяет знак. Электрострикция же не зависит от направления поля. Пьезоэффект наблюдается только в некоторых кристаллах, не обладающих центром симметрии. Электрострикция имеет место во всех диэлектриках как твердых, так и жидких.
Если пластинка закреплена и деформироваться не может, то при создании электрического поля в ней появится дополнительное механическое напряжение Его величина s пропорциональна напряженности электрического поля внутри кристалла:
s=-Е (4)
где - тот же пьезоэлектрический модуль, что и в случае прямого пьезоэффекта. Минус в этой формуле отражает указанное выше соотношение знаков прямого и обратного пьезоэффектов.
Полное механическое напряжение внутри кристалла складывается из напряжения, вызванного деформацией, и напряжения, возникшего под влиянием электрического поля. Оно равно:
s=Cu-E (5)
Здесь С есть модуль упругости при деформации одностороннего растяжения (модуль Юнга) при постоянном электрическом поле. Формулы (51.2) и (52.2) являются основными соотношениями в теории пьезоэлектричества.
При написании формул мы выбирали u и Е в качестве независимых переменных и считали D и s их функциями. Это, конечно, необязательно, и мы могли бы считать независимыми переменными другую пару величин, одна из которых — механическая, а другая — электрическая. Тогда мы получили бы тоже два линейных соотношения между u, s, Е и D, но с другими коэффициентами. В зависимости от типа рассматриваемых задач удобны различные формы записи основных пьезоэлектрических соотношений.
Так как все пьезоэлектрические кристаллы анизотропны, то постоянные , С и зависят от ориентации граней пластинки относительно осей кристалла. Кроме того, они зависят от того, закреплены боковые грани пластинки или свободны (зависят от граничных условий при деформации). Чтобы дать представление о порядке величины этих постоянных мы приведем их значения для кварца в случае, когда пластинка вырезана перпендикулярно оси Х и ее боковые грани свободны:
Характеристики
Тип файла документ
Документы такого типа открываются такими программами, как Microsoft Office Word на компьютерах Windows, Apple Pages на компьютерах Mac, Open Office - бесплатная альтернатива на различных платформах, в том числе Linux. Наиболее простым и современным решением будут Google документы, так как открываются онлайн без скачивания прямо в браузере на любой платформе. Существуют российские качественные аналоги, например от Яндекса.
Будьте внимательны на мобильных устройствах, так как там используются упрощённый функционал даже в официальном приложении от Microsoft, поэтому для просмотра скачивайте PDF-версию. А если нужно редактировать файл, то используйте оригинальный файл.
Файлы такого типа обычно разбиты на страницы, а текст может быть форматированным (жирный, курсив, выбор шрифта, таблицы и т.п.), а также в него можно добавлять изображения. Формат идеально подходит для рефератов, докладов и РПЗ курсовых проектов, которые необходимо распечатать. Кстати перед печатью также сохраняйте файл в PDF, так как принтер может начудить со шрифтами.
















