75126-1 (704913)
Текст из файла
Управление затратами на качество в процессе осуществления проектного анализа
1. Состав проектного анализа
Анализ любого инновационного проекта состоит из нескольких этапов и включает в себя ряд разделов. Они могут различаться в зависимости от принципа классификации.
Например, по времени проведения проектный анализ можно разделить на:
предварительный;
текущий;
последующий.
Предварительный анализ является самым ответственным. Выявленные и исправленные на данном этапе ошибки не несут существенного вреда предприятию, так как финансовый ущерб будет ограничен суммой средств, затраченных, например, на разработку изделия, технологий, исследование рынка сбыта.
Текущий анализ осуществляется уже в процессе изготовления новой продукции. К этому этапу предприятие затрачивает на новый проект значительно больше средств, чем до его запуска в производстве. Они включают в себя, кроме перечисленных, расходы на оснастку, закупку необходимых основных фондов (оборудования, инвентаря, инструментов и т. д.), материальных ресурсов (основных и вспомогательных материалов, комплектующих изделий и т.п.), затраты на оплату труда (заработная плата с начислениями) и др.
Если производимый инновационный продукт не отвечает требованиям, предъявляемым к его качеству, то возникают следующие ситуации:
1) товар остался у производителя, но есть возможность его реализации другому покупателю:
а) по той же цене. Тогда понесенные затраты будут компенсированы в полной мере и предприятие получит запланированную прибыль;
б) по сниженной цене. Размер фактической прибыли от реализации данной продукции может оказаться меньше запланированной или ее может не быть вовсе, или понесенные затраты не будут компенсированы полностью в зависимости от величины снижения цены;
в) реализация по запланированной или пониженной цене, но дополнительные затраты на исправление барка или доведения изделия до проектного уровня качества. Размер прибыли находится в зависимости от величины дополнительных затрат;
2) товар у производителя, но вследствие его низкого качества, возможность реализации отсутствует:
а) продажа по цене возможного использования. В этом случае незначительно компенсируются затраты на производство;
б) реализация утилизированных материалов. Дополнительные затраты на утилизацию и некоторая компенсация затраченных средств.
Отсюда очевидно большое значение непрерывного текущего анализа продукции, особенно новой, и ее реализации на потребительском рынке.
Последний этап временного анализа – последующий анализ осуществляется, как правило, по истечении отчетного периода, например, года. На нем подводится итог деятельности за период. Выявляются причины и факторы как негативных (низкого качества), так и позитивных (соответствие стандартам, ТУ, мировому уровню) результатов для их избежания в дальнейшем или использования их влияния на повышение качества продукции и снижение затрат.
Обнаруженная на данном этапе некачественная продукция наносит производителю наибольший ущерб. Он складывается из величины производственной себестоимости, коммерческих расходов, затрат на гарантийный ремонт или замену некачественной продукции, оплату штрафов и неустоек (если они предусмотрены договором поставки). Реальный ущерб больше материального вследствие действия морального фактора, наносящего производителю большой вред. В перспективе же длительное производство низкокачественного изделия приведет к падению спроса на продукцию фирмы.
Комплексный итоговый проектный анализ необходимо разделить на этапы – контрольные точки. Это позволит своевременно выявить негативные ситуации и тенденции и избежать повышения издержек фирмы и риска банкротства.
С точки зрения объекта проектный анализ качества изделий может характеризовать различные его стороны. Тогда состав анализа будет, например, следующим:
1. Коммерческий.
2. Технический.
3. Организационный.
4. Социальный.
5. Экологический.
6. Экономический.
Эти виды должны обязательно присутствовать при анализе качества новой продукции. Они позволяют увидеть ее с различных сторон и позиций. Например:
со стороны возможности сбыта и потребности в нем рынка;
с позиции его технических преимуществ и выгоды по сравнению с аналогами или его технической новизны;
с точки зрения возможности его организационного осуществления;
с позиции его социальной значимости для данного предприятия, потребителя, региона, отрасли и государства в целом;
со стороны экологических последствий осуществления данного проекта для региона, в котором располагается предприятие-производитель, или потребителей новой продукции;
с точки зрения его экономической выгоды для производителя и потребителя.
Подобный анализ проводится с помощью количественных и качественных, формальных и неформальных методов и приемов, свойственных каждому конкретному виду.
В организационном, социальном и экологическом широко используется качественный подход и неформальные методы. Это не исключает применение расчетных приемов для вычисления необходимых показателей и графического метода.
Коммерческий и технический виды анализа базируются на сочетании качественного и количественного подходов с применением и неформальных, и формальных методов, а также графического.
В экономическом анализе, основанном преимущественно на методах количественного анализа, широко используется качественный подход, т. е. в нем сочетаются как формальные, так и неформальные методы с преимуществом первых. Для иллюстрации результатов и в качестве средства сравнительного анализа широко применяется графический метод.
Наличие и сочетание подходов и методов зависит от ряда причин. Основными из них являются:
цели и задачи анализа;
наличие и особенности информационной базы анализа;
наличие технической базы и программного обеспечения. Виды проектного анализа новой продукции и ее качества и соответствующие им методы представлены в табл. 7.1.
Таблица 1
Виды и методы проектного анализа новой продукции
| Методы анализа Виды анализа | Формальные | Неформальные | ||
| А | Б | А | Б | |
| Коммерческий | + | + | ||
| Технический | + | + | ||
| Организационный | + | |||
| Социальный | + | |||
| Экологический | + | |||
| Экономический | + | + | ||
А – вариант преимущественного использования методов данной группы;
Б – частичное или сочетательное использование методов данной группы;
Знание особенностей методического обеспечения анализа позволит до его начала подобрать персонал соответствующего профессионального уровня, подготовить техническую базу, ее программное обеспечение и иной инструментарий, без которого невозможна всесторонняя разработка нового качественного, особенного сложного в техническом отношении инновационного изделия и его технико-экономического обоснования.
Пример:
Предприятие должно решить вопрос о запуске в производство нового для него изделия – варикана. Круг данных для проведения сравнительного анализа ограничен.
2. Общая характеристика изделия
Варикан – это полупроводниковый прибор, исполняющий роль (или заменяющий) переменного конденсатора, который используется для настройки радиоприемника на требуемую станцию (или частоту).
В радиотехнике и технике много назначения, разрабатываемой с применением электронной комплектации, широко применяются колебательные контуры, состоящие из емкостей (С) (конденсаторов) и индуктивностей (L). LC контуры имеют определенные собственные частоты колебаний. Вращением ручки приемника мы изменяем значение емкости контура и, следовательно, частоту настройки приемника. Таким образом, мы настраиваем приемник на нужную нам станцию.
Переменный конденсатор (ПГ) изготавливается из металлических пластинок или из керамики и имеет большие габариты и массу.
Принцип работы варикана упрощенно можно представить следующим образом.
При приложении к варикану электрического напряжения емкость варикана изменяется в зависимости от величины напряжения, значению которого соответствует определенная величина емкости. Это позволяет электрически плавно изменять частоту контура (LC).
При конструировании радиосхем и иных частотных приборов с применением вариканов открываются широчайшие возможности уменьшения габаритно-весовых характеристик этих приборов. Одновременно возрастают возможности их функционального усложнения и совершенствования потребительских качеств.
Разработка ПГ на полупроводниковых приборах позволяет выполнить блок питания и управления также на полупроводниковых приборах.
Для перекрытия трех диапазонов частот требуется три перестраиваемых генератора на митронах с источниками питания и три перестраиваемых генератора на полупроводниковых приборах с одним боком питания и управления (т. е. варикана).
Перспективы развития электронной техники данного типа очень широки.
3. Коммерческий анализ
Цель коммерческого анализа заключается по сути в оценке предлагаемой рынку продукции конечными потребителями.
Решаемые при этом задачи в общем виде можно свести к следующим:
маркетинг;
источники и условия ресурсного обеспечения;
условия сбыта;
возможность обратной связи с потребителем продукции.
Для управления качеством продукции особенно важно решение последней задачи. Например, отсутствие спроса на новую продукцию может быть обусловлено не ее качеством непосредственно, а характером упаковки, ценой товара, выявив причину в процессе оперативного коммерческого анализа путем опроса или анкетирования потребителей, можно быстро устранить негативную причину: изменить упаковку, найти пути снижения затрат и цены.
Обычно характер информации позволяет провести как качественный, так и количественный коммерческий анализ.
Для оценки конкурентоспособности изделий возможно использование метода балльной оценки. Сравним основные технические характеристики качества широкополостного генератора качающейся частоты, перекрывающего три диапазона частот, (ГКЧ) с генератором традиционного типа (ПГ) Данные для оценки конкурентоспособности нового устройства приведены в табл. 7.2.
Таблица 2
Технические параметры изделий для оценки их конкурентоспособности
| Вид продукции | Количество диапазонов | Надежность в работе | Мощность | Качество воспроизведения | Средний балл |
| ГКЧ ПГ | 3 3 | 5 3 | 5 4 | 5 4 | 4,5 3,5 |
| Вес, % | 20 | 20 | 20 | 40 | 4 100 |
Данные табл. 14 в баллах получены экспертным методом с учетом требований зарубежных аналогов к качеству приборов такого типа.
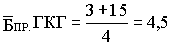
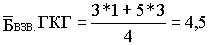
Средний балл рассчитан по формуле средней арифметической простой, но при большем числе параметров качества целесообразно использовать формулу средней арифметической взвешенной.
В идентичности результатов убедимся на нашем примере:
;
,
где
– средний балл, рассчитанный по формуле простой средней арифметической;
Б – балл по каждому параметру качества;
n – число параметров;
– средний балл, рассчитанный по формуле средней арифметической взвешенной;
f – частота повторения балов;
– сумма частот (количество параметров).
Тогда:
;
.
Аналогично и по другим расчетам.
Средний балл технических параметров взятых для оценки конкурентоспособности, по ГКЧ на 1 или на
* 100% – 100% = 28,6%
Характеристики
Тип файла документ
Документы такого типа открываются такими программами, как Microsoft Office Word на компьютерах Windows, Apple Pages на компьютерах Mac, Open Office - бесплатная альтернатива на различных платформах, в том числе Linux. Наиболее простым и современным решением будут Google документы, так как открываются онлайн без скачивания прямо в браузере на любой платформе. Существуют российские качественные аналоги, например от Яндекса.
Будьте внимательны на мобильных устройствах, так как там используются упрощённый функционал даже в официальном приложении от Microsoft, поэтому для просмотра скачивайте PDF-версию. А если нужно редактировать файл, то используйте оригинальный файл.
Файлы такого типа обычно разбиты на страницы, а текст может быть форматированным (жирный, курсив, выбор шрифта, таблицы и т.п.), а также в него можно добавлять изображения. Формат идеально подходит для рефератов, докладов и РПЗ курсовых проектов, которые необходимо распечатать. Кстати перед печатью также сохраняйте файл в PDF, так как принтер может начудить со шрифтами.
















