75126-1 (704913), страница 2
Текст из файла (страница 2)
превышает данный показатель у ПГ и на 0,5 балла выше общего среднего показателя. Это свидетельствует о большей конкурентоспособности генератора качающейся частоты с применением варикана в техническом отношении по сравнению с генератором традиционного типа.
Данный метод количественной оценки конкурентоспособности продукции основывается на параметрическом подходе и осуществляется в несколько этапов.
На рассмотренном первом этапе сравниваемым параметрам качества (качественным характеристикам изделия) экспертным путем присваиваются баллы по пятизначной, например, шкале. Затем с помощью абсолютных и относительных величин сравниваются полученные средние баллы.
Последующие этапы сравнения более широкого круга технических параметров и стоимостная оценка баллов будут рассмотрены в параграфе 7.4.
Для обеспечения обратной связи следует разработать вопросники и анкеты, содержащие сведения об удовлетворенности и пожеланиях потребителей относительно качества изделия. Эти сведения собираются и обрабатываются персоналом коммерческих служб предприятий для принятия решения об усовершенствовании продукции.
При проведении полного коммерческого анализа необходимо решить все задачи, отмеченные в начале данного раздела.
4. Технический анализ
В рамках технического анализа инновационных проектов необходимо изучить:
технико-технологические альтернативы;
варианты местоположения производства;
сроки реализации проекта и его фаз;
доступность и достаточность источников сырья, рабочей силы и иных потребляемых ресурсов;
графики проекта.
Все эти вопросы следует изучить на стадии предынвестиционного исследования при разработке краткого технико-экономического обоснования, полного технико-экономического обоснования и при разработке рабочей документации.
Изучение технико-технологических альтернатив касается прежде всего сравнения параметров нового и заменяемого им изделия. Такое сравнение можно провести с помощью качественного или количественного подхода в зависимости от наличия информации. В условиях коммерческой и технико-технологической тайны качественный подход является преобладающим. Однако, это не исключает возможности применения параметрических подходов, аналогичных тем, которые применяются в ценообразовании и при оценке конкурентоспособности продукции. Причем, последнюю можно рассматривать как часть технического анализа.
Для сравнения вариканов и генераторов старого типа в техническом отношении можно предложить следующие технические параметры:
1. Габариты.
2. Способ перестройки.
3. Устойчивость к механическим воздействиям.
4. Трудоемкость.
5. Область применения.
Экспертным путем оценим значимость перечисленных параметров и результаты оформим в таблице 3.
Таблица 3
Технические параметры изделий
| Вид продукции | Технические параметры | Средний | |||||
| Габариты | Способ настройки | Устойчивость к мех. возд. | Трудоемкость | Область применения | балл | ||
| ГКЧ ПГ | 5 2 | 5 1 | 5 4 | 4 3 | 4 2 | 4,6 2,4 | |
| Вес показателя, % | 35 | 10 | 20 | 15 | 20 | 3,5 100 | |
Превышение среднего балла ГКЧ по сравнению с ПГ в
= 1,92 раза
подтверждает огромные преимущества продукции на основе вариканов.
Качественный анализ перечисленных параметров еще раз подтверждает преимущества нового изделия, поскольку оно:
в сотни раз меньше заменяемого;
перестраивается не механически, а электрически;
более устойчиво к механическим воздействиям;
менее трудоемко при монтаже в схемах;
имеет более широкую область применения.
Для наглядности представим данные таблицы 15 графически (рис. 7.1).
Рис. 7.1. Соотношение технических параметров генераторов качающейся частоты и переменных генераторов в баллах
Условные обозначения:
1 – габариты;
2 – способ настройки;
3 – устойчивость к механическим воздействиям;
4 – трудоемкость;
5 – область применения.
5. Организационный, социальный, экологический и экономический анализ
Организационный анализ
Организационный анализ выполняется для оценки внутренних и внешних условий реализации нового инновационного проекта. К внутренним относятся условия, зависящие от деятельности самого предприятия; в частности:
особенности управления;
организационные структуры;
планирование;
комплектование и обучение персонала;
координация деятельности;
информационное обеспечение.
К внешним относятся политическая, правовая, общеэкономическая и научно-техническая (потенциал, потребность и т. п.) обстановка в обществе и регионе.
Основными задачами организационного анализа являются:
1. Определение задач и действий участников проекта относительно политической и правовой обстановки.
2. Оценка управления и организационных структур предприятия с позиции их соответствия задачам проекта.
3. Анализ обеспеченности проекта ресурсами и необходимости перестройки этого обеспечения, повышения квалификации персонала.
4. Выбор оптимальных управленческих решений при выявлении негативных организационных условий реализации инновационного проекта.
Организационный анализ в условиях рыночной экономики существенно отличается от анализа организации внедрения нового изделия в условиях директивной экономики.
Эти отличия обусловлены изменившимися политическими, правовыми и экономическими условиями. Предприятие самостоятельно может формировать систему управления, организационные структуры, планы и т. п.
В этом смысле риск деятельности предприятия существенно возрастает. Однако, риск предприятия ТОР весьма невысок. Это связано прежде всего со стабильностью его юридического статуса. Как оборотное предприятие ТОР не подлежит приватизации. Для реализации нового проекта не требуется организационная перестройка ТОРа или создание новых научно-производственных структур. Кадровая проблема на предприятии, как уже отмечалось, отсутствует. Данный проект не требует переподготовки кадров.
Таким образом, негативные организационные условия реализации данного проекта на этапе предынвестиционного анализа не выявлены.
Социальный анализ
Целью социального анализа является определение пригодности проекта для его потребителей. С помощью социального анализа должна быть обеспечена возможность взаимодействия между производителем и пользователем данной продукции в целях продвижения данного товара и расширения объема его производства в перспективе.
Социальный анализ сосредотачивает свое внимание на четырех основных аспектах:
1. Социокультурные и демографические характеристики населения, затрагиваемого проектом.
2. Организация населения в районе действия инновационного проекта, наличие рабочей силы.
3. Приемлемость проекта для местной культуры (научного потенциала).
4. Стратегия обеспечения необходимых обязательств от групп населения и организаций, пользующихся данным проектом (его результатами).
Социальный анализ проводится с использованием качественного подхода.
В процессе социального анализа были выявлены некоторые негативные тенденции относительно демографических характеристик населения. В поселке, где расположено предприятие изменился возрастной состав населения в сторону увеличения старших возрастных групп. Это означает, что резерв рабочих кадров уменьшился. Более того, для обеспечения качества продукции на операциях по изготовлению варикапов и ГКИ используется, в основном, женский труд до 28-летнего возраста, что связано с профессиональной спецификой (требуется высокая острота зрения и точные "женские" ручки).
Следовательно, кадровые службы должны провести набор кадров со столь специфическими требованиями в Москве, ближайших поселках, воспользовавшись для этого картотеками отделов кадров родственных не загруженных в настоящее время предприятий.
Поскольку продукция может быть использована в средствах связи (телефоны, в том числе сотовые), радиотехники, медицинской техники (кардиостимуляторы) возможно привлечение инвесторов из числа заинтересованных организаций и физических лиц. Вследствие применения новых генераторов в телефонной связи улучшается качество услуги данного вида, что может стимулом инвестирования средств в развитии данного производства и улучшения инфраструктуры, ему способствующей, для местных властей.
Экологический анализ
Экологический анализ в настоящее время занимает особое положение ввиду резкого ухудшения общей экологической обстановки.
Его задачей является выявление потенциального ущерба окружающей среде, наносимого инвестиционным проектом на всех его стадиях, а также мер, необходимых для предотвращения этого ущерба.
Поскольку данный проект осуществляется на базе действующего предприятия, он не требует дополнительных капитальных вложений в новое строительство и с этой стороны не подвергает разрушению окружающую среду.
По сравнению с прежним производством в переоборудуемом цехе производств вариконов является "чистым" производством и экологически безопасно.
Сборка генераторов ГКЧ использует материалы и комплектующие также безвредны для человека и окружающей Среды.
С учетом уменьшения объемов сырья и повышения уровня чистоты производства данная продукция является для предприятия более предпочтительной по сравнению со снимаемой с производства.
Экономический анализ
Экономический анализ является важнейшей составной частью и системы управления качеством, и проектного анализа. И в том, и в другом случае обосновывается целесообразность и эффективность разработки и внедрения в производство продукции, качество которой должно отвечать определенным стандартам и удовлетворять потребителя.
В процессе экономического анализа определяются источники финансирования нового проекта, затраты на его внедрения и эффективность его реализации.
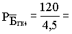
Одним из косвенных показателей эффективности можно считать стоимость единицы качества продукции. Рассчитаем ее для нашего примера.
Пусть цена генератора качающейся частоты с применением варикана составляет 120 ден. ед., а цена переменного генератора – 400 ден. ед.
Тогда стоимость одного среднего балла единицы качества будет равна:
26,67 ден. ед.
ден. ед.
Таким образом при разнице по параметрам качества в 1 балл (4,5 – 3,5) в пользу генератора касающейся частоты цена одного среднего балла переменного генератора обходится значительно выше, чем цена среднего балла генератора качающейся частоты. Разница в цене (
) составляет:
ден. ед.,
















