142849 (691486), страница 6
Текст из файла (страница 6)
В 80-х годах произошел дальнейший сдвиг акцентов в стратегии борьбы с бедностью. Ряд стран вынужден был заняться укреплением своей экономики после спада в 70-х – начале 80-х годов. Ограничения на социальные расходы возросли. Поднялись во весь рост вопросы эффективности таких расходов. Поэтому в «Докладе о мировом развитии в 1990 г.» уже приводится такой анализ и оцениваются перспективы снижения бедности в 90-х годах. В нем подчеркивается, что успех в борьбе с бедностью может быть достигнут только при работе одновременно в двух направлениях. Во-первых, стимулирование продуктивного использования главного капитала бедных – рабочих рук. Такая политика должна предусматривать мобилизацию рыночных стимулов, социальных и политических институтов, всей инфраструктуры и возможностей современных технологий. И, во-вторых, обеспечение населения основными социальными услугами (здравоохранение, питание, начальное образование).
Оба направления взаимно усиливают друг друга и не дают эффекта в отдельности.
Наиболее сложный момент здесь – что же означает перестройка экономики, ориентированная на борьбу с бедностью? Это особенно важно для нас – страны с невысоким уровнем жизни, который к тому же сейчас быстро падает.
В качестве наиболее прямого пути структурных преобразования в целях борьбы с бедностью предлагается всемерное развитие сельского хозяйства, что, по мнению специалистов ООН, позволит реализовать основные установки этой борьбы: обеспечить работой и доходами широкие массы бедствующих людей. Для преимущественного развития сельского хозяйства должны быть предусмотрены: пониженные налоги, кредиты, предоставление новой техники и технологий, соответствующая инфраструктура. В городах основное направление борьбы с бедностью – дальнейшее развитие сферы услуг.
Официальный подход к измерению бедности. От того, что мы подразумеваем под бедностью, зависят оценки масштабов ее распространения и уровень связанных с ней проблем. В мировой практике четко выделяются три основные концепции определения бедности: абсолютная, относительная и субъективная.
Для определения порога бедности в рамках относительной концепции в международной и отечественной статистической практике используются следующие методы:
• статистический — для характеристики «бедности» как относительной категории;
• нормативный (с определением прожиточного минимума по потребительской корзине);
• комбинированный (питание определяется по нормативам, а остальное – по его доле в общих расходах);
• субъективный (проводятся опросы, какой доход респондент считает низким (высоким) для своей семьи);
• ресурсный (исходящий из возможностей экономики обеспечить прожиточный минимум и др.).
Статистический метод. Этот метод существует в двух разновидностях. В первом случае черта бедности устанавливается на уровне доходов, которыми располагают 15—20% самых малоимущих граждан страны; во втором --за минимум материальной обеспеченности принимается среднедушевой доход граждан, признанных обществом как наименее обеспеченное население, фактические затраты этой группы населения по отдельным статьям потребительских расходов в этом случае составляют структуру минимального потребительского бюджета.
Подобные методы являются наиболее простыми и наименее трудоемкими. В частности, Европейская статистическая комиссия (Евростат) получала информацию об уровне бедности в странах Европейского экономического сообщества следующим образом. «Порогом бедности» в данном случае считалась величина, равная половине медианного дохода населения страны. Медианный доход – делит ряд распределения населения по уровню дохода на две равные части.
Нормативный метод. Этот метод предполагает, что научные учреждения на основании исследований определяют набор товаров и услуг, необходимых для удовлетворения основных физиологических и социально-культурных потребностей человека, разрабатывают нормы и нормативы потребления с учетом особенностей половозрастных групп населения.
Для построения и расчета прожиточного минимума используются потрбительские корзины товаров и услуг. Например, продовольственная корзина или корзина с провиантом дает информацию о наборе продуктов питания, обеспечивающих сбалансированное по калорийности, химическому составу и энергозатратам потребление человека, необходимое для жизнедеятельности взрослых, роста и развития детей, сохранения здоровья в пожилом возрасте.
Минимально нормы и. построенные на их основе потребительские корзины должны периодически уточняться (пересматриваться).
Комбинированный метод (нормативно-статистический). Набор продуктов питания, составленный из наиболее дешевых и доступных продуктов, соответствует физиологическим потребностям, энергозатратам (калорийности) и содержанию основных пищевых веществ, обеспечивает необходимые вкусовые качества, разнообразие пищи, соблюдение традиционных навыков организации питания. При составлении наборов учитывалась взаимозаменяемость товаров, содержащих одинаковые питательные вещества. Например, мясо, рыба, молоко, яйца служат источником белков; хлеб, крупы, макаронные изделия, сахар – источники углеводов.
В рационах выдержаны требования о содержании минеральных солей, кальция, фосфора, а также витаминов. Минимальные наборы продуктов питания отличаются относительно высоким удельным весом хлебопродуктов, молока, картофеля, овощей, что характерно для малообеспеченных групп населения и позволяет достичь необходимой калорийности и сбалансированности при использовании продуктов дешевого ассортимента. В некоторых странах, в частности в США, при расчете величины прожиточного минимума ограничиваются созданием набора основных продовольственных товаров и его стоимостной оценкой. Далее исходя из условного соотношения между величиной прожиточного минимума и стоимостью продовольственного набора как 3 к 1, определяется сама величина прожиточного минимум («черты бедности»).
Здесь надо иметь ввиду, что фактические расходы на питание средней американской семьи не превышают 15% всех потребительских расходов. Подобный метод расчетов приемлем и в нашей статистической практике, однако, соотношение между величиной прожиточного минимума и стоимостью продуктового набора должно быть иным.
Показатели бедности
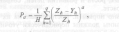
Основные составляющие определения глубины и остроты бедности объединяются следующей формулой:
где Р – общий показатель бедности;
а – параметр, показывающий, о каком именно показателе бедности идет речь.
Используются также следующие показатели бедности: Ро (уровень бедности, %), Р1 – (индекс глубины бедности) и Р2 — (индекс остроты бедности):
Zh- черта бедности отдельного домохозяйства h, которая зависит от его состава;
Yh - уровень дохода отдельного домохозяйства h;
q- количество бедных домохозяйств;
H- общее количество домохозяйств.
Для анализа могут быть взяты не домохозяйства, а члены этих домохозяйств. Каждое домохозяйство классифицируется как бедное или небедное относительно данной черты бедности, и затем каждый член домохозяйства рассматривается как бедный или небедный.
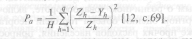
Таким образом, при а = 0 эта формула имеет следующий вид:
что и является показателем бедности, т.е. процентом домохозяйств (или членов домохозяйств, если таковые используются как единица измерения), которые относятся к бедным.
Уровень бедности придает равный вес каждому домохозяйству (члену домохозяйства), независимо от того, насколько ниже черты бедности его доходы, что, конечно, является недостатком этого показателя.
Если в результате помощи государства самое бедное домохозяйство получит пособие по нуждаемости и его доход станет только на один рубль ниже черты бедности, это, по логике вещей, означало бы, что степень бедности упала. Но уровень бедности (Ро) при этом остался бы неизменным, так как это домохозяйство по-прежнему будет рассматриваться как бедное, хотя фактически оно стало богаче, чем прежде.
Индекс глубины бедности Р1 (a = 1) в данном случае не остался бы прежним, а скорее всего снизился бы, указывая на то, что глубина бедности после выделения этого пособия сократилась:
Индекс глубины бедности Р1 (а=1), несмотря на свою большую информативность при расчетах затрат, требуемых для обеспечения предлагаемых социальных программ, придает равный вес каждому из дефицитов бюджета домохозяйства. Под дефицитом в данной формуле подразумевается величина Zh — Yh / Zh.
Чтобы выделить те домохозяйства, которые находятся намного ниже черты бедности, следует придать больший вес более крупным дефицитам более бедных домохозяйств. В связи с этим показатель бедности Р2 (а—1) характеризует степень остроты бедности населения и определяется путем возведения в квадрат дефицита дохода конкретного домохозяйства:
Важным практическим показателем, который используется в практических расчетах, является уже использованный выше дефицит дохода. Этот показатель означает сумму денежных средств, которой не хватает домохозяйству для достижения границы бедности. Дефицит дохода может рассчитываться как для конкретного домохозяйства, так и для групп домохозяйств. Отношение дефицита дохода к границе бедности называется зазором бедности.
А. Сен попытался объединить абсолютный и относительный подходы к оценке бедности. Он предлагал измерять бедность посредством взвешивания дефицитов дохода (абсолютный подход, излагаемый ниже, к оценке бедности) с учетом распространенности бедности и степени расслоения бедных по уровню дохода (относительный подход). Интегральный индикатор бедности, предложенный А. Сеном, рассчитывается по формуле:
|
| доля бедного населения, средний дефицит дохода в процентах к границе бедности, средний доход бедных домохозяйств, граница бедности, коэффициент Джини для бедных домохозяйств. |
Абсолютная концепция бедности базируется на установлении минимального перечня основных потребностей (прожиточного минимума) и размера ресурсов, требуемых для их удовлетворения. В частности, для определения потребностей в продуктах питания используют нормы необходимого потребления калорий, белков, жиров и углеводов. Официальное российское определение бедности базируется на абсолютной концепции, в соответствии с которой черта бедности устанавливается на уровне прожиточного минимума, ориентированного на физиологические минимальные нормы. В этом случае бедными считаются те, кто имеет среднемесячные доходы ниже прожиточного минимума. С 1993 г. ряд распределения доходов, полученный на базе выборочных бюджетных обследований, дооценивается примерно на 20% по данным о розничном товарообороте, включая услуги, с учетом экспертной оценки объема торговли неорганизованного рынка, а также прочих расходов населения, прироста наличных денег и сбережений. Данные, характеризующие масштабы распространения бедности на протяжении всего периода проведения рыночных реформ, приведены в таблице.
Вместе с тем ни для кого не секрет, что в условиях нерегулярности выплаты доходов, широкого распространения неденежных форм оплаты труда и занятости в неформальном секторе экономики доходы плохо отображают реальное положение бедных семей. В такой ситуации эффективным является измерение материальных ресурсов домохозяйства через расходы и потребление и поступления от неформальной занятости.
Показатели численности населения (семей) с доходами ниже прожиточного минимума рассчитываются на основании данных о распределении населения (домохозяйств) по уровню среднедушевых доходов.
Уровень доходов, с которыми соизмеряется величина прожиточного минимума, определяется в соответствии с мете кой по расчету баланса денежных доходов и расходов населения. Группировка населения (семей) по уровню среднедушевых доходов для получения данных о распределении производится на основании данных о среднедушевых денежных доходах в среднем за месяц отчетного периода.
Доля населения с доходами ниже прожиточного минимума в 1992—1998 гг. менялась следующим образом:
Таблица. Доля населения с доходами ниже прожиточного минимума
| 1992 | 1993 | 1994 | 1995 | 1996 | 1997 | 1998 | |
| Численность (млн. чел.) | 50,2 49,7* | 46,9 | 33,3 | 36,6 | 32,5 | 30,7 | 35,0 |
| В процентах к общей численности населения по соответствующим демографическим группам | 33,5 | 31,5 | 22,4 | 24,7 | 22,0 | 20,8 20,7* | 23,8* |
Источник: Россия в цифрах. 1998. – М.: Госкомстат РФ, 1998. – С. 79.














