125126 (690298)
Текст из файла
Курсова робота: Регулювання тиску пара в казані
Зміст
1. Ціль роботи. Завдання. Вихідні дані
2. Характеристика об'єкта керування, опис пристрою й роботи системи САР (Системи Автоматичного Регулювання), складання її функціональної схеми. Принцип автоматичного керування й вид системи
3. Складання структурної схеми системи
4. Визначення закону регулювання системи
5. Визначення передатних функцій системи по керуючому впливу
6. Аналіз стійкості системи. Визначення запасів стійкості
6.1 Аналіз стійкості за критерієм Гурвіца
6.2 Аналіз стійкості за критерієм Найквиста
7. Аналіз залежності статичної помилки системи від зміни керуючого впливу на систему
8. Спільний аналіз зміни керованої величини об'єкта керування й системи від впливу, що обурює, у статиці
9. Оцінка якості керування по перехідних функціях
9.1 Розглянемо оцінку прямих показників якості керування нашої системи
9.2 Швидкодія системи оцінюється часом регулювання
9.3 Коливання перехідного процесу
9.4. По перехідній функції може бути визначена статична помилка системи
10. Загальні виводи по роботі
Література
1. Ціль роботи. Завдання. Вихідні дані
Ціль роботи: закріплення базових даних і знань за курсом "Основи автоматики" на прикладі проведених аналізів системи автоматичного регулювання.
Завдання:
1. Дати коротку характеристику об'єкта керування, описати пристрій і роботу системи, скласти її функціональну схему. Зробити вивід про принцип автоматичного керування, використаному в системі.
2. Скласти структурну схему системи.
3. Визначити закон регулювання системи.
4. Визначити передатні функції системи.
5. Виконати аналіз стійкості системи за критеріями Гурвіца й Найквиста. Визначити запас стійкості.
6. Проаналізувати залежність статичної помилки системи від зміни керуючого впливу на систему. Зробити вивід про характер цієї залежності.
7. Провести спільний аналіз зміни керованої (регульованої) величини об'єкта керування й системи від впливу, що обурює, у статиці. Дати їхню порівняльну оцінку. Визначити статичну помилку системи по впливу, що обурює.
8. Оцінити якість регулювання по перехідних функціях.
9. Зробити загальні виводи по роботі.
Таблиця 1.1 Вихідні дані
| Параметри | |||||||||||
| Варіант | Схема | К1 | К2 | Т1, з | Кд | Тд, з | Ку | Кдв | Кр | Кв | Тдв, З |
| 0 | 3 | 0,1 | 0,5 | 100 | 0,5 | 1 | 10 | 0,005 | 0,2 | 40 | 0,5 |
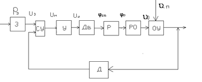
2. Характеристика об'єкта керування, опис пристрою й роботи системи САР, складання її функціональної схеми. Принцип автоматичного керування й вид системи
Об'єктом керування (ОК) є казан. Регульованою величиною є кількість подачі палива
, що спалюється й дає певну температуру в казані. При певній температурі в казані буде певний тиск у барабані казана. Керуючим впливом на ОК є відкриття вентиля, що регулює подачу палива. Основний вплив, що обурює, зміна витрати пари (зміна навантаження казана). Додатковими збурюваннями можуть бути, наприклад, зміна температури навколишнього середовища, зміна напруги живлення датчика тиску - манометра 3 з перетворювачем сигналу.
Малюнок 2. Функціональна схема системи.
Система працює в такий спосіб:
У сталому режимі при рівності тиску
в казані заданої
напруга
.
При відхиленні тиску
пари в казані від заданої, на вході ДУ з'являється різниця напруг, відмінна від нуля, що приводить до появи потенціалу на його виході. Починає обертатися двигун, відхиляючи через редуктор фрамуги на кут
, до того моменту, поки різниця напруг не стане дорівнює нулю.
У результаті розгляду пристрою й роботи системи можна зробити наступні виводи:
У системі реалізований принцип керування по відхиленню (помилково).
Система є стабілізуючою й володіє великою інерційностью
3. Складання структурної схеми системи
Структурною схемою називається наочне графічне зображення математичної моделі (математичного опису) системи.
На структурній схемі кожна ланка зображується прямокутником, усередині якого записується математичний опис ланки. Зв'язку між ланками структурної схеми зображуються лініями зі стрілками, що відповідають напрямку проходження сигналів. Над лініями ставляться позначення сигналів. Складемо структурну схему САР температури поливної води у водонагрівачі. Для цього одержимо передатні функції всіх елементів системи:
1. Рівняння теплиці, як об'єкта керування:
, (3.1)
Зображення Лапласа цього рівняння:
, (3.2)
Відповідно до принципу суперпозиції зміна вихідної величини такої ланки дорівнює сумі змін вихідних величин по кожному впливі.
Передатна функція водонагрівача по керуючому впливі:
, (3.3)
Передатна функція водонагрівача по впливі, що обурює:
, (3.4)
Аналогічним образом одержимо передатні функції інших елементів системи.
1. Термометр опору разом з вимірювальним блоком:
,
, (3.5)
2. Датчик.
,
,
, (3.6)
3. Диференціальний підсилювач (ДП):
(3.7)
4. Двигун (ДВ):
, (3.8)
5. Редуктор (Р):
, (3.9)
6. Фрамуги (ФО):
, (3.10)
Складемо структурну схему нашої системи.
Датчик (З) є безінерційним. Його коефіцієнт передачі
повинен бути дорівнює коефіцієнту передачі датчика, оскільки задана температура
й дійсна
повинні відніматися в одному масштабі. Тому для наочності дослідження ці коефіцієнти можна перенести за СУ й уважати, що із заданої температури безпосередньо віднімається обмірювана датчиком, і формується сигнал помилки
.
Малюнок 3.1 Структурна схема САР тиску пари в казані.
4. Визначення закону регулювання системи
Законом регулювання називають математичну залежність, у відповідності, з якого керуючий вплив на об'єкт формувалося б безінерційним регулятором у функції від помилки системи.
Закон регулювання багато в чому визначає властивості системи. Визначимо закон регулювання розглянутої САР тиску пари в казані. Для цього знайдемо передатну функцію, що визначає взаємозв'язок керуючого впливу
на об'єкт і помилки е:
(4.1)
Передатна функція безінерційного регулятора:
(4.2)
(4.3)
Тому:
(4.4)
Залежність керуючого впливу від помилки показує, що в розглянутій системі інтегральний закон регулювання.
5. Визначення передатних функцій системи по керуючому впливу
Для розглянутої САР тиску пари в казані передатна функція по керуючому впливі:
(5.1)
Передатна функція САР по впливу, що обурює, визначає взаємозв'язок між зміною регульованої величини й зміною впливу, що обурює.
Для даного приклада передатна функція САР температури повітря по впливі, що обурює:
, (5.2)
де
- передатна функція ланцюга ланок від місця додатка впливу, що обурює, до регульованої величини.
(5.3)
Передатна функція САР для помилки по керуючому впливу:
(5.4)
Передатна функція САР для помилки по впливу, що обурює:
(5.5)
6. Аналіз стійкості системи. Визначення запасів стійкості
6.1 Аналіз стійкості за критерієм Гурвіца
Стійкість - це властивість системи вертатися у вихідний або близький до нього сталий режим після зняття впливу, що викликав вихід зі сталого режиму.
Визначимо стійкість САР температури повітря в теплиці. Для цього можна скористатися кожною з отриманих у пункті 5 передатних функцій системи, з яких треба це характеристичне рівняння системи:
Для аналізу стійкості скористаємося безпосередньо умовами стійкості для рівняння четвертого ступеня:
>0,
>0,
>0,
>0,
>0;
>0
Всі коефіцієнти характеристичного рівняння позитивні.
Перевіримо другу умову:
>0
Отриманий результат показує, що система стійка.
6.2 Аналіз стійкості за критерієм Найквиста
Критерій стійкості Найквиста заснований на використанні амплітудно-фазової частотної характеристики (АФЧХ) розімкнутої системи.
Визначимо стійкість САР температури повітря в теплиці з даними значеннями параметрів. Розімкнемо систему й запишемо її передатну функцію:
Характеристики
Тип файла документ
Документы такого типа открываются такими программами, как Microsoft Office Word на компьютерах Windows, Apple Pages на компьютерах Mac, Open Office - бесплатная альтернатива на различных платформах, в том числе Linux. Наиболее простым и современным решением будут Google документы, так как открываются онлайн без скачивания прямо в браузере на любой платформе. Существуют российские качественные аналоги, например от Яндекса.
Будьте внимательны на мобильных устройствах, так как там используются упрощённый функционал даже в официальном приложении от Microsoft, поэтому для просмотра скачивайте PDF-версию. А если нужно редактировать файл, то используйте оригинальный файл.
Файлы такого типа обычно разбиты на страницы, а текст может быть форматированным (жирный, курсив, выбор шрифта, таблицы и т.п.), а также в него можно добавлять изображения. Формат идеально подходит для рефератов, докладов и РПЗ курсовых проектов, которые необходимо распечатать. Кстати перед печатью также сохраняйте файл в PDF, так как принтер может начудить со шрифтами.













