124353 (689981), страница 2
Текст из файла (страница 2)
2.1 Проектирование зубчатой передачи
Исходные данные:
z1 = 15 ; z2 = 26 ; m = 10 .
Требуется:
-
рассчитать геометрические параметры неравносмещенной эвольвентной зубчатой передачи внешнего зацепления из условия отсутствия подрезания;
-
построить картину зацепления с изображением на ней теоретической и практической линий зацепления, рабочих участков профилей зубьев, дуг зацепления и сопряженных точек;
-
рассчитать и построить графики удельных скольжений зубьев;
- дать письменный анализ диаграммы скольжения зубьев и определить коэффициент перекрытия передачи.
Для устранения подрезания ножки зуба малого колеса необходимо сделать смещение инструмента в положительную сторону на определенную величину, которое характеризуется коэффициентом смещения.
Подсчитываем передаточное число
U12 = z2/z1 = 1.73 .
По таблицам В.Н. Кудрявцева согласно чисел зубьев колес находим коэффициент относительного смещения х1 = 0.848 и х2 = 0.440.
Определяем инволюту угла зацепления
invw = (2(x1+x2)tg/z1+z2) + inv ,
где = 20о – стандартный угол зацепления.
По значению invw из таблиц эвольвентной функции определяем угол зацепления проектируемой передачи w = 26.5о.
Определяем межцентровое расстояние передачи
Аw = m(z1+z2)cos/2cosw = 215.25 мм .
Определяем радиусы :
начальных окружностей
rw1 = Aw/U12+1 = 78.25 мм,
rw2 = Aw·U12/U12+1 = 136.4 мм;
делительных окружностей
r1 = mz1/2 = 75 мм, r2 = mz2/2 = 130 мм ;
основных окружностей
rb1 = r1cos = 70.5 мм ,
rb2 = r2cos = 122.16 мм ;
окружностей вершин зубьев
ra1 = r1+m (x1+ ha - y) = 91.58 мм ,
ra2 = r2+m (x2+ ha - y) = 142.5 мм ;
где ha = 1 коэффициент высоты головки зуба ;
y = 0.19 – коэффициент уравнительного смещения;
окружностей впадин зубьев
rf1 = r1 + m (x1 - hf - С ) = 70.98 мм ,
rf2 = r2 + m (x2 - hf - С ) = 121.9 мм ;
где hf = 1 – коэффициент высоты ножки зуба ,
С = 0.25 – коэффициент радиального зазора.
Качественные показатели зацепления
Шаг по делительной окружности
pt = m = 31.4 мм.
Толщина зубьев по делительным окружностям
s1 = 0.5pt + 2x1mtg = 21.87 мм , s2 = 0.5pt + 2x2mtg = 18.9 мм.
Ширина впадин из условия беззазорного зацепления
e1 = pt – s1 = 9.53 мм , e2 = pt – s2 = 12.5 мм.
К
оэффициент перекрытия
= ra12 – rb12 + ra22 – rb22 - awsinw/mcos = 1.23
Проверяем зуб малого колеса на отсутствие заострения
где а1 = arccos
.
Должно выполнятся условие Sa1 0.3m.
3.41 3 – условие выполняется.
Для построения картины зацепления выбираем масштаб
Проводим линию центров и в выбранном масштабе откладываем межосевое расстояние
Из точек
и
проводим дуги начальных окружностей, которые должны касаться друг друга в полюсе зацепления – Р. Через полюс зацепления проводим общую касательную Т-Т. К ней под углом
проводим линию N-N
Проведя дуги основных окружностей, убеждаемся в правильности проведенных построений – прямая N-N является общей касательной к основным окружностям в точках L1L2. Отрезок L1L2 является теоретической линией зацепления.
Для построения бокового профиля зуба первого колеса делим отрезок L1Р на равные части и несколько таких отрезка откладываем влево от точки L1 получаем 1,2,3…8. Дугами из центра L1 проецируем эти точки на основную окружность. Из полученных точек 1/,2/,3/…8/ проводим перпендикуляры к отрезкам
и т.д. На этих перпендикулярах откладываем количество отрезков, соответствующих номеру перпендикуляра.
Проводим дуги остальных окружностей – делительных, вершин зубьев и ножек зубьев.
От точки пересечения бокового профиля с делительной окружностью по последней влево откладываем толщину зуба, вправо – ширину впадины.
Определяем практическую линию зацепления -
, которая является частью теоретической линии зацепления, отсекаемой окружностями вершин зубьев.
Рабочий участок профиля зуба первого колеса определится расстоянием по окружности вершины зуба до проекции точки
по дуге с радиусом
на боковой профиль. Аналогично определяем рабочий участок профиля зуба второго колеса.
Для определения дуги зацепления изображаем пунктирной линией боковой профиль зуба на входе в зацепление (точка
) и на выходе (
). Часть начальной окружности, заключенная между этими положениями бокового профиля будет являться дугой зацепления (ав). Для второго колеса построение аналогичное.
Используя дугу зацепления, определяем графически коэффициент перекрытия
Для построения сопряженной точки М2, выбранную на боковом профиле зуба точку М1, по дуге радиусом О1М1 проецируем на практическую линию зацепления (точка m). Радиусом О2m определяем положение точки М2 на боковом профиле зуба колеса 2.
Вычисляем коэффициенты удельных скольжений зубьев по формулам
,
,
где
,
- передаточные числа (без учета знака);
L = L1L2 – длина теоретической линии зацепления
X – текущая координата, мм.
Расчетные данные сводим в таблицу 3
Таблица 3 – Значения коэффициентов удельного скольжения зубьев проектируемых колес
| Х | мм | 0 | 30 | 68 | 100 | 130 | 190 |
|
| - | - | -2 | 0 | 0.48 | 0.73 | - |
|
| - | 1 | 0.68 | 0 | -0.92 | -2.75 | 1 |
По полученным данным строим диаграмму скольжения, анализ которой показывает, что наибольшее скольжение наблюдается на ножке зуба второго колеса. Значительно скольжение на головке зуба первого колеса. Наименьшее скольжение имеет головка зуба второго колеса.
2.2 Анализ зубчатого механизма
Для определения передаточного отношения графическим методом изображаем заданный механизм в масштабе, приняв произвольное значение модуля (m = 10). Обозначим на механизме все характерные точки – полюса зацеплений и центры колес. Проводим линию, перпендикулярную осям вращения колес и на нее проецируем все характерные точки. Так как ведущим звеном является колесо 1, то изображаем линейную скорость его конца (точка А) вектором Аа произвольной длины. Соединив точки а и О1, получаем линию распределения линейных скоростей колеса 1. Соединяем точку В с точкой а, и на продолжении этой линии проецируем точку О2, получим линию распределения линейных скоростей колеса 2. Соединив точки О2, О4 получим линию распределения линейных скоростей колеса 4. На продолжении линии Аа проецируем точку А/. Соединяем точку а/ с точкой с получим линию распределения колеса 5. На эту линию проецируем точку О5. Соединяем точку О5 с точкой ОН, получим линию распределения для конечного звена – водила.
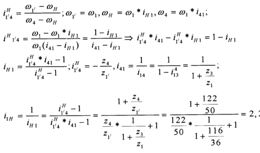
Передаточное отношение определится через отрезки SH и S1
i1Н = S1/SН = 190/83 = 2.29
Так как отрезки SH и S1 находятся по одну сторону от SP, передаточное отношение получается со знаком плюс.
Имеем дифференциальный механизм
i =
100% = 3.9 %
2.3 Проверка выполнения условий соосности, соседства и сборки планетарного механизма
Условие соосности представляет равенство межцентровых расстояний пар зубчатых колес
r1 + r2 = r3 – r2 или z1 + z2 = z3 – z2
36 + 40 = 116 – 40 76 = 76
Условие соосности выполняется.
Условие соседства определяет возможность размещения всех сателлитов по окружности их центров без задевания друг за друга.
sin
где К – число сателлитов
При К= 2 sin
>0.28
Условие соседства выполняется.
Условие сборки определяет возможность одновременного зацепления всех сателлитов с центральным колесом. Это значит, что сумма чисел зубьев центральных колес будет кратной числу сателлитов.
где С – любое целое положительное число.
Условие сборки выполняется.
Таким образом, планетарная часть заданного зубчатого механизма удовлетворяет всем требованиям проектирования.
3 Силовой расчет рычажного механизма
Вариант 20
Исходные данные:
| LOA= 0.2 LAB= 0.6 LBC= 0.5LСD= 0.2 LDE= 0.7 | LAS2= 0.2 LCS3= 0.1 LDS4= 0.3 XC=-0.22 YС=-0.45 | m2= 60 m3= 50 m4= 50 m5=140 XЕ=-0.7 | Pnc= -2Pj5 JS2= 0.1 JS3= 0.06 JS4= 0.12 1= 60π, |
где li – длины звеньев и расстояния до центров масс звеньев от их начальных шарниров, м;
Jsi – моменты инерции звеньев, кгм2;
mi – массы звеньев, кг;
1 – угловая скорость ведущего звена, с-1;
Pnc - сила полезного сопротивления, приложенная к ползуну 5, Н;
Pj5 – сила инерции 5 звена, Н.
Требуется определить уравновешивающую силу методом выделения структурных групп и методом жесткого рычага Н.Е.Жуковского, давление во всех кинематических парах.
Вычерчиваем план механизма в масштабе l
l= lOA/OA = 0.2/40 = 0.005 м/мм.
Строим план скоростей, повернутый на 90 в масштабе
v= VA/Pa = 1lOA/Pa = 603.140.2/94.2 = 0.4 м/с/мм.
Скорость точки В определится в результате решения двух векторных уравнений
VB = VA+VBA, VB = VC+VBC.
Точку d на плане скоростей определяем по теореме подобия
BC/DC = Pb/Pd
Pd = PbCD/BC = 6440/100 = 25.6 мм.
Для определения скорости точки Е составляем векторное уравнение
VЕ = VD+VED и решаем его.
Строим план ускорений, повернутый на 180 в масштабе
a= aA/a=12lOA/a = (603.14)20.2/101.4 = 70 м/с2/мм.
Ускорение точки В определяется относительно точек А и С
aB = aA+ anBA+ aBA, aB = aC + anCB + aCB,
anBA = 22lAB = (abv / lAB)2 lAB = (840.4/0.6)2 0.6 = 1881.6 м/с2
anBC = 32lBC = (Pbv / lBC)2 lBC = (640.4/0.5)2 0.5 = 1310.7 м/с2
Pd = PbCD/BC = 6440/100 = 25.6 мм.















