124158 (689874), страница 4
Текст из файла (страница 4)
a2 = Tn2 / 2 + e · (d + D) / 6 = 23,9 мм
Для промежуточного вала выбираем конические однорядные подшипники средней серии 7313А с размерами d = 65 мм, D = 140 мм, Т = 36,5, е =0,35. Определение составляющих опорных реакций и изгибающих моментов.
Рассмотрим плоскость YOZ:
Σ МCY = 0 Σ МDY = 0
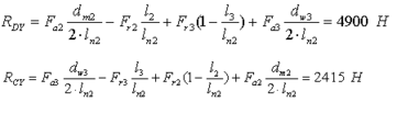
Fa2 · dm2 / 2 – Fr2 · L2 + Fr3 · (Ln2 - L3) + Fa3 · dw2 /2 - RDY · Ln2 = 0.
Fa3 · dw2 /2 – Fr3 · L3 + Fr2 · (Ln2 - L2) + Fa2 · dm2 /2 - RCY · Ln2 = 0.
dm2 = 0,857 · de2 = 0,857 · 303,8295= 260,4 мм
FУ = 0
RСУ - Fr2 + Fr3 - RDУ = 2415-5222+7725-4900≈0
Построение эпюры изгибающих моментов
Участок 1:
МZ1 = 0; - RCУ · Z1 = МZ1
0 Z1 L 2
Z1 = 0 МZ1 = - RCУ · 0 = 0.
Z1 = L2 МZ1 = - RCУ · L2 = -2415 · 0,088= -212,5
Участок 2:
МZ2 = 0; - RCУ · (L2 + Z2) + Fr2 · z2 + Fa2 · dm2 / 2 = Мz2
0 Z2 (Ln2 - L3 - L2 )
Z2 = 0
МZ2=-RCУ · L2 + Fa2 · dm2 / 2 = -2415 · 0,0952 + 1530 · 0,13 = -31 Н·м
Z2 = Ln2 - L3 - L2
МZ2=-RCУ·(Ln2-L3)+Fr2 · (Ln2 - L3 - L2)+ Fa2 · dm2/2 = -2415·(0,2642- -0,0884)+5222(0,2642-0,0884-0,0952)+1530·0,2604/2 = 193 Н·м
Участок 3:
МZ3 = 0; -RCУ·(Ln2-L3+z3)+Fr2 · (Ln2 - L3- L2 +z3)+Fa2 · dm2 / 2 –
-Fr3 · Z3 +Fa3 · dw3 / 2 = МZ3
0 Z3 L3
Z3 = 0; MZ3= – 2415 · (0,2642 – 0,0884+0,0335) + 5222·(0,2642 – 0,0884-– 0,0952+ 0,0335) + 1530·0,2604/2 - 7725·0,0335 + 5160·0,0928/2 = 284 Н·м
Z3 = L3
МZ3=-RCУ·Ln2+Fr2 · (Ln2-L2)+Fa2·dm2 / 2 - Fr3 · L3 + Fa3 · dw3 / 2 = = -2415·0,2642 + 5222·(0,2642 - 0,0952) + 1530·0,2604/2 - 7725·0,0884/2 + +5160·0,0928/2=0
Рассмотрим плоскость XOZ:
MCХ = 0;
Ft2 · L2 + Ft3 · (Ln2 - L2) – RDХ · Ln2 = 0.
RDХ=Ft2·(L2/Ln2)+Ft3·(1-L3/Ln2)=6581,4·0,0952/0,2642+20585·(1-
-0,0884/0,2642)=16 070 Н MDХ = 0;
-Ft3 · L3 – Ft2 (Ln2 – L2) + FCX · Ln2=0
RCX=11097,5 Н
X = 0; RСХ - Ft2 - Ft3 + RDХ = 11097,5-6581,4-20585+16070≈0
Построение эпюры изгибающих моментов
Участок 1:
МZ1 = 0; RCХ · Z1 = МZ1
0 Z1 L 2
Z1 = 0 МZ1 = RCХ · 0 = 0.
Z1 = L2 МZ1 = RCХ · L2 = 11097,5·0,0952=1056,5 Н
Участок 2:
МZ2 = 0; RCХУ · (L2 + Z2) + Ft2 · z2 = Мz2
0 Z2 (Ln2 - L3 - L2)
Z2 = 0 МZ2 = RCХ · L2 = 11097,5·0,0952=1056,5 Н
Z2 = Ln2 - L3 - L2
МZ2 = RCХ · (Ln2 - L3) - Ft2 · (Ln2 - L3 - L2) = 1420,5 Н
Участок 3:
МZ3 = 0;
RCХ · (Ln2 - L3 +z3) - Ft2 · (Ln2 - L3 - L2 + z3) - Ft3 · Z3 = МZ3
0 Z3 L3
Z3 = 0
МZ3 = RCХ · (Ln2 - L3) - Ft2 · (L n2 - L3 - L2 ) = 1420,5 Н
Z3 = L3
МZ3 = RCХ · Ln2 - Ft2 · (Ln2 - L2) - Ft3 · L3 = 0 Н
Крутящий момент нагружает промежуточный вал на участке между шестерней и колесом и равен Т2 = 955 Н·м
Суммарные радиальные нагрузки на опоры равны
Суммарный изгибающий момент под коническим колесом:
Суммарный изгибающий момент под цилиндрической шестерней:
Тихоходный вал
Принимаем
4 = 2 + (bw3 - bw4) / 2 = 26,3
Для тихоходного вала ориентировочно выбираем подшипники роликовые радиально-упорные легкие широкие 7522 с размерами d = 110 мм, D = 200 мм, B=56 мм. Колесо, расположенное на тихоходном валу, находится зацеплении с шестерней промежуточного вала, поэтому при компоновке третьего вала строго выдерживаем положение центра зубчатого зацепления.
Расчетные расстояния:
L5 = bw4 /2 + 4 + Bn / 2 = 104,3 мм
L4 = bw3 /2 + 3 + Lcт + 2 + Bn / 2 = 191,7 мм
Определение составляющих опорных реакций и изгибающих моментов
Рассмотрим плоскость YOZ:
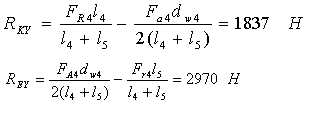
FУ = 0 REУ + RKУ - Fr4 = 0;
Построение эпюры изгибающих моментов
Участок 1:
МZ1 = 0; - RЕУ · Z1 = МZ1
0 Z1 L 4
Z1 = 0 МZ1 = - RЕУ · 0 = 0.
Z1 = L4 МZ1 = - RЕУ ∙ L4 = -2970·0,1917= -570 Н·м
Участок 2:
МZ2 = 0; - RЕУ · (L4 + Z2) + Fa4 · dw4 /2 – Fr4 · z2 = Мz2
0 Z2 L 5
Z2 = 0
МZ2 = - RЕУ · L4 + Fa4 · dw4 / 2 = -570 + 7725 · 0,3969/2 = 963
Z2 = L5
МZ2 = - RЕУ · (L4 + L5) + Fa4 · dw4 / 2 + Fr4 · L5 = 0
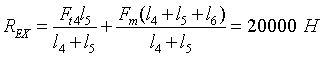
Тихоходный вал редуктора соединяется с валом барабана посредством муфты. Учитывая, что редуктор и барабан не располагаются на общей раме, для компенсации возможной в этом случае несоосности используем цепную муфту 6. Эта муфта должна передавать крутящий момент Т111 = 4150 Н·м и диаметр вала в месте посадки d111 = 110 мм. По табл. 11.4, с. 275 6 выбираем муфту цепную 4000-110 ГОСТ 20742 – 81 с длиной полумуфты Lм = 94 мм делительным диаметром звездочки dд = 229 мм. 6, с. 148
dд = t / sin 180/z = 229
где t = 50,8 – шаг цепи, z = 14 – число зубьев звездочки.
Нагрузка от муфты определяются по формуле
Fm = 0,2 · (2 · T3 /d д ) = 7250 Н
С достаточной точностью можно принять, что сила Fm приложена к тихоходному валу редуктора на расстоянии L6 = 1,5 · Lм = 225 мм от опоры Е.
Принимаем, что сила Fm действует в наиболее опасной плоскости XOZ, где наибольшие нагрузки на вал.
Рассмотрим плоскость XOZ.
MEХ = 0
FM · L6 – Ft4 · L4 + RKХ · (L4 + L5) = 0
MKХ = 0
Ft4 · L 5 – REХ · (L4 + L5) + FM · (L4 + L5 + L6) = 0
FХ = 0;
REХ - FM - Ft4 + RKХ = 20 000 + 7250 – 20585 – 7820 ≈ 0
Построение эпюры изгибающих моментов.
Участок 1:
МZ1 = 0; FM · Z1 = МZ1
0 Z1 L 6
Z1 = 0 МZ1 = FM · 0 = 0
Z2 = L6 МZ1 = FM · L6 = 7250 · 0,225 = 1631,25 Н
Участок 2:
МZ2 = 0; FM · (L6 + Z2) - REХ · z2 = Мz2
0 Z2 L4
Z2 = 0 МZ2 = FM · L6 = 7250 · 0,225 = 1631,25 Н
Z2 = L4
МZ2=FM·(L6 + L4)-REХ·L4 = 7250·(0,225+0,1917)-20000·0,1917=-813 Н
Участок 3:
МZ3 = 0;
FM · (L6 + L4 + z3) - REХ · (L4 + z3) - Ft4 ·Z3 = МZ3
0 Z3 L5
Z3 = 0
МZ3 = FM · (L6 + L4) - REХ · L4 = -813 Н
Z3 = L5
МZ3 = FM · (L6 + L4 + L5) - REХ · (L4 + L5) + Ft4 · L5 = 0
Крутящий момент нагружает тихоходный вал на участке от зубчатого колеса до муфты и передается на вал барабана Т111 = 4152 Н·м
Суммарные радиальные нагрузки на опоры равны:
Суммарный изгибающий момент под зубчатым колесом:
4.7 Подбор подшипников
4.7.1 Быстроходный вал
Выбираем подшипник7212, e= 0,3 . Минимальный срок службы подшипника Lh = 10 000 часов. Осевая сила на валу Fа1 = 5222 Н направлена к опоре В. Осевые составляющие Si от действия радиальных сил 10, с. 216
SА = 0,83 · е · FrA = 930 Н
SB = 0,83 · е · FrB = 2462
Здесь SА SВ ; Fа1 = 5222 Н
Определяем расчетные осевые силы в опорах 10, с.217: FаА = SА = 930 H
FаВ = SВ + Fа1 = 2462 + 5222 = 7684 Н
В данном случае, очевидно, что радиальная и осевая нагрузки больше в опоре В. Проверим долговечность подшипника наиболее нагруженной опоры.
Определяем 10, с.212
FаВ / V FrB = 0,66> e=0,3
Где V – коэффициент при вращении внутреннего кольца V=1, при вращении наружного V=1,2.
Находим коэффициенты радиальной Х и осевой нагрузки Y. По табл. 9.18 10,с.402. Х=0,4; Y=1,947
Эквивалентная нагрузка в опоре В 10,с.212:
РВ=(X·V·FrB+Y· FaB)·Кб·Кт = (0,4 · 1 · 9888 + 1,95 · 7684) · 1 = 15000 Н
Кт =1 – температурный коэффициент 10, с.214.
Расчетная долговечность 9, с. 3
Где С – динамическая грузоподъемность;
m – показатель степени (m = 3 для шариковых и m=10/3 для роликовых подшипников);
a1 – коэффициент долговечности;
a23 – коэффициент условий работы
В каталогах указаны значения С и коэффициента надежности S = 0,9;
a1=1. Если вероятность безотказной работы отличается от 0,9, то это учитывают коэффициентом a1 9, с.3.
Значения коэффициентов условий работы a23 лежат в диапазоне
0,1 a23 5 9,с.3, при нормальных условиях смазывания (смазывание разбрызгиванием или консистентной смазкой) принимают a23 = 1.
Долговечность приемлема 10000 ч < Lн =11500≤ 36000 ч
Такой же подшипник установлен и в менее нагруженной опоре А.
4.7.2 Промежуточный вал
Проверяем долговечность выбранного подшипника 7313 (коэффициент осевого нагружения е = 0,3).
Осевая сила на валу Fа11 = Fа3 - Fа2 = 5160 – 1530 = 3630 Н
направлена к опоре D.
Осевые составляющие Si от действия радиальных сил 10, с. 216
SС = 0,83 · е · FrC = 0,83 · 0,3 · 11357 = 2830 Н
SD = 0,83 · е · FrD = 0,83 · 0,3 · 16800 = 4183 Н
Определяем расчетные осевые силы в опорах 10, с.217: FаC = SC = 2830 Н
FаD = SD + Fа11 = 4183 + 3630 = 7813 Н
В данном случае, очевидно, что радиальная и осевая нагрузки больше в опоре D. Проверим долговечность подшипника наиболее нагруженной опоры.
Определяем:
FаD / V · FrD = 7813/16800=0,465 > е=0,31
Находим коэффициенты радиальной Х и осевой нагрузки Y.
По табл. 9.18 10,с.402. Х=0,4; Y=1,947
Эквивалентная нагрузка в опоре D 10,с.212:
РD = (X · V · FrD + Y · FaD) · Кб · Кт = 21 916 Н
Расчетная долговечность:
Такой же подшипник установлен и в менее нагруженной опоре С.
4.7.3 Тихоходный вал
Осевая сила на валу F111 = Fа4 = 7725 Н и направлена к опоре Е
Определяем параметр 9,с.9
= L / dn = (159+74)/90=2,6<10
Где L – расстояние между опорами
L = L4 + L5
dn - внутренний диаметр подшипника.
Для валов малой жесткости 10 рекомендуется использовать двухрядные сферические шарико- и роликоподшипники 9,с.9 . Считаем , что осевая сила воспринимается более нагруженным подшипником, тогда 9,с.9
f = Fа4 / Fr = Fа111 / FrЕ = 7725/20220=0,35<0,35
Где Fr – радиальная нагрузка на наиболее нагруженный подшипник.
Со = 300000
Составляем отношение
Fа / Со = 0,0746
и определяем параметр осевого нагружения 9, с.14
е = 0,518 · (Fа /Со ) 0,24 = 0,278
Сравниваем f и е
Эквивалентная нагрузка в опоре Е
РЕ = (X · V · FrE +Y · FaE ) · Кб · Кт = 30000 Н
Определяем расчетную долговечность:
4.8 Уточненный расчет валов
Расчет вала на усталостную прочность заключается в определении коэффициента прочности в опасном сечении и сопоставлении его с допускаемым значением 9, с. 20
S = S · S / (S2+S2)1/2 S
где S - допускаемый коэффициент запаса прочности, рекомендуется принимать S =2,5;
S и S - коэффициенты запаса прочности по нормальным и касательным напряжениям.
4.8.1 Быстроходный вал
Значения S и S определяются по формулам 9,с. 20
S = -1 / (а · КD / KC + m),
S = -1 / (a · KD / KC + m)
Где -1 , -1 - пределы выносливости стали при изгибе и кручении,
KC , KC - коэффициенты долговечности,
- коэффициенты ассиметрии циклов;
а и a – амплитудные, m m - средние значения нормальных и касательных напряжений;
КD KD - приведенные эффективные коэффициенты концентрации напряжений в детали. Предел выносливости зависит от предела прочности материала вала
В и определяется по формулам 9,с.20:
-1 = 0,43 · В - для углеродистых сталей;
-1 = 0,35 · В + 100 - для легированных сталей;
-1 = 0,58 · -1.
Материал быстроходного вала сталь 40ХН ГОСТ 4543-71
-1 = 0,35 · В +100= 422 МПа
-1 = 0,58 · -1 = 245 МПа
Коэффициенты КD и KD равны 7,с.20:
КD = ( К / + - 1 )/у , KD = (K / + - 1 )/у ,
Где К и K - эффективные коэффициенты концентрации напряжений,
и - масштабные факторы, - фактор шероховатости,
у - коэффициент , учитывающий поверхностное упрочнение вала. Фактор шероховатости зависит от способа обработки поверхности вала и прочности материала вала 9,с.20
= 0,97 – 1,5 · 10-4 (В – 400) - для шлифованной поверхности,
= 0,96 – 2,5 · 10-4 (В – 400) - при чистовой обточке,
= 0,9 – 3 · 10-4 (В – 400) - при грубой обточке.
Для быстроходного вала ( чистовая обработка )
= 0,96 – 2,5 · 10-4 (В – 400) = 0,83.
При отсутствии упрочнения поверхности вала принимают у =1, иначе – по табл. 4 9,с.21. Опасным сечением для быстроходного вала является сечение под опорой В, где действует максимальный изгибающий момент
Концентратом напряжений в данном сечении является запрессовка подшипника. Для оценки концентрации напряжений в местах установки на валу деталей с натягом используют отношение К / и K / = 0,4 + 0,6 · К / .
Для быстроходного вала при dп=45 и σв=920 МПа
К / = 4,36 по табл. 12.18 1,с.215.
K / = 0,4 + 0,6 · К / =0,4 +0,6 · 4,36=3,02
Определяем коэффициенты КD и KD
КD = ( К / + - 1 )/у=(4,36 + 0,83 - 1)=4,19
KD = (K / + - 1 )/у=( 3,02 + 0,83 -1)=2,85
Коэффициент ассиметрии цикла вычисляют по формуле 9,с.22
= 0,02 · (1 + 0,01 В )=0,02 + (1 + 0,01 · 920)=0,2
= 0,5 =0,5 · 0,2=0,01
При определении амплитудных и средних значений напряжений цикла при изгибе учитывают его симметричный характер.
а = Ми max · 103 / WХ = 263 · 103 / 16334 = 16 МПа
Где WХ – осевой момент сопротивления сечения вала в мм3
WХ = · dn3 /32 = 3,14 · 553 / 32 = 16334 мм3
Среднее напряжение цикла нормальных напряжений при наличии осевой нагрузки Fа
м = 4 · Fа / · dn2 = 4 · 4300 /3,14 ·552 = 1,81 МПа
Для касательных напряжений более характерным является отнулевой цикл, что позволяет принять
а = м = 500 · Т1 / W = 500 · 283 / 32668 = 4,3 МПа
где W - полярный момент сопротивления в мм3,
W = · dn3 /16 = 16334 · 2 = 32 668
Коэффициенты долговечности равны 9 с.23
Где mf = 6 при НВ 350 и mf = 9 при НВ 350.
NFE - эквивалентное число циклов напряжений, определяемое по формуле
NFE = N · КFE 9 ,с.23.
Принимаем для быстроходного вала
mf = 9 Сталь 40ХН, термообработка – улучшение),
N = 5,84 · 108 7,с.20
КFE = 0,06 7,табл. 3,
NFE = N · КFE = 3,5 · 107
При NFE 4 · 106 принимают KC = KC = 1.
Определяем значения S и S
S = 8,574
S = 39
Определяем коэффициент запаса прочности:
Большой коэффициент запаса прочности получился потому, что пришлось увеличивать диаметр выходного участка вала для соединения с электродвигателем стандартной муфтой.
4.8.1 Промежуточный вал
Материал промежуточного вала определяется материалом цилиндрической шестерни (вал – шестерня)
Наиболее опасными по нагружению являются сечения под шестерней тихоходной передачи и под колесом конической передачи (см. рис. 6)
Вычисление запасов прочности промежуточного вала полностью аналогичны вычислениям быстроходной ступени:
МИMAX = 1425 Н·мТ11= 955 Н·м
WХ = · dn3 /32 = 3,14 · 703 / 32 = 33674 мм3
W = · dn3 /16 = 16334 · 2 = 67 348 мм3
а = Ми max · 103 / WХ = 1425 · 103 / 33674 = 42,3 МПа
м = 4 · Fа / · dn2 = 4 · 1530 /3,14 ·702 = 0,4 МПа
а = м = 500 · Т1 / W = 500 · 955 / 67348 = 7,1 МПа
S = 2,3
S = 19,4
Определяем коэффициент запаса прочности:
4.8.3 Тихоходный вал
Материал тихоходного вала выбираем сталь 45 ГОСТ 1050-88
10>0>















