123785 (689612), страница 4
Текст из файла (страница 4)
Сделав необходимые преобразования, получим систему дифференциальных уравнений:
Коэффициенты при производных представляют собой постоянные времени:
– двигателя
– упругого звена
- рабочего органа
Структурная схема двухмассовой упругой системы приведена на рисунке 6.
Рисунок 6 - Структурная схема двухмассовой упругой системы
Главные инерционные массы, представленные интегрирующими звеньями с постоянными времени Тдв и Тро, разделены интегрирующим звеном с постоянной времени Тс.
9.2 Структурная схема электромеханического преобразования энергии
Математическое описание асинхронного двигателя при наличии шести обмоток на статоре и роторе с учётом их взаимного расположения, множества связей между ними, блоков произведения и нелинейностей достаточно сложно. В практике электропривода находят применение методы, в которых математическое описание упрощается за счёт различных допущений. Представление двигателя в виде эквивалентной двухфазной машины позволяет несколько упростить математическое описание и структурную схему асинхронного двигателя. Переход к упрощенной структурной схеме на основании записи уравнения момента двигателя М(s) в частных производных по напряжению питания, частоте и скорости оставляет нелинейные коэффициенты усиления. Для рассмотрения переходных процессов на рабочем участке механической характеристики возможно применение более простого соотношения между моментом и скоростью двигателя –формулы Пинчука И.С.
где β = 2*Мк / (ω0н*Sк) – модуль жесткости линеаризованной механической характеристики.
Передаточная функция электромеханического преобразования энергии в асинхронном двигателе:
После преобразований структурная схема асинхронного двигателя для рабочего участка механической характеристики полностью повторяет структурную схему двигателя постоянного тока независимого возбуждения (см. рисунок 5).
Рисунок 6 - Апериодическое звено
Для асинхронного двигателя
Пределы целесообразного использования полученных соотношений ограничиваются значениями момента – 0,8*Мк ≤ М < 0,8*Мк.
Если необходимо рассматривать работу асинхронного двигателя при больших скольжениях, при частотном регулировании скорости и момента в широких пределах следует обращаться к более сложному математическому описанию преобразования.
9.3 Структурные схемы электрических преобразователей энергии
Электрическое преобразование энергии выполняют различные устройства: тиристорные и транзисторные преобразователи переменного тока в постоянный, преобразователи частоты, широтно-импульсные преобразователи и пр., а также обычные резисторы, устанавливаемые в силовую цепь двигателя. Преобразователи электрической энергии используются в качестве регуляторов мощности, обеспечивая подачу на зажимы двигателя заданного напряжения или тока в зависимости от требований к электроприводу как в установившихся, так и в переходных режимах.
При питании силовой цепи двигателя от сети неизменного напряжения в качестве регулятора мощности применяют добавочные сопротивления в силовой цепи и релейно-контакторные станции управления для включения или выключения ступеней этих сопротивлений. Соответствующий подбор этих резисторов обеспечивает правильную пусковую диаграмму (реостатное регулирование момента) и требуемую скорость движения рабочего органа (реостатное регулирование скорости).
При питании двигателя постоянного тока от тиристорного преобразователя в силовую цепь дополнительно включаются активные и индуктивные сопротивления обмоток трансформатора (или токоограничивающего реактора) и сглаживающего реактора, в результате возрастают Rяц и Lяц и изменяются параметры структурной схемы Кяц и Тя.
Силовая часть тиристорного преобразователя относительно мгновенных значений входной и выходной координат представляет собой нелинейную импульсную систему, которая в полосе пропускания частот, ограниченной практически частотой сети, может рассматриваться как безынерционное звено с косинусоидальной зависимостью средней ЭДС Еd от угла открывания α. Фазовые сдвиги угла α относительно напряжения управления Uу вносит система импульсно-фазового управления.
Передаточная функция тиристорного преобразователя для линейного участка регулировочной характеристики Еd = f(Uу) имеет вид
Ктп = Еd / Uу – коэффициент усиления преобразователя.
С целью упрощения расчётов на стадии выбора и расчёта элементов силовой части электропривода появляется возможность не учитывать инерционность ТП и представлять ТП безынерционным звеном с коэффициентом усиления Ктп. Учёт падения напряжения в элементах преобразователя при изменении нагрузки учитывается изменением параметров структурной схемы Кяц и Тя.
Всё приведенное выше относится к преобразователям частоты. Более того, в связи с тем, что в схеме ПЧ в контуре протекания токов включено большее число элементов (тиристоров, дросселей и т.п.), электрические данные которых на стадии проектирования неизвестны, а также учитывая наличие внутренних обратных связей в преобразователе, обеспечивающих поддержание заданного напряжения на выходе при изменении нагрузки, появляется возможность не учитывать падение напряжения внутри преобразователя (считать его внутреннее сопротивление равным нулю).
Таким образом, тиристорный преобразователь электрической энергии является безынерционным звеном с коэффициентом усиления Ктп.
Выходное напряжение и частота преобразователей формируется на их входе с помощью входных устройств. В настоящее время практически все преобразователи укомплектованы задатчиками интенсивности ЗИ с различными законами изменения управляющего напряжения.
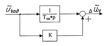
Наиболее часто применяют интегральные ЗИ, обеспечивающие плавное линейное нарастание управляющего напряжения, и пропорционально-интегральные ЗИ, в котором совместно с интегральным каналом работает пропорциональный канал. Структурная схема ЗИ для участка линейного изменения напряжения на рисунке 7.
Рисунок 7 - Структурная схема ЗИ для участка линейного изменения напряжения
9.4 Структурные схемы электроприводов
Полная структурная схема электропривода включает в себя структурные схемы составных частей: механической части, электромеханического преобразователя энергии, электрического преобразователя и задающего устройства.
Структурная схема системы ПЧ – АД в общем виде сложна. Если допустить определённые ограничения (β = const, Мк = const и др.), то для настройки систем управления можно составить структурную схему для рабочего участка механической характеристики. Однако при таких допущениях возникают погрешности в расчётах электромеханического преобразования энергии. Отсутствуют способы расчета токов в цепях двигателя. Существенно искажаются показатели нагрева, так как для расчета приходится использовать метод эквивалентного момента, также искажаются энергетические показатели системы электропривода. Поэтому сложность структурной схемы ПЧ – АД зависит от задач, которые с её помощью нужно решать.
10. РАСЧЕТ СТАТИЧЕСКИХ ХАРАКТЕРИСТИК ЭЛЕКТРОПРИВОДА
10.1 Естественные характеристики асинхронного двигателя
Наиболее точной механической характеристикой асинхронного двигателя является каталожная зависимость М(S), и лишь при отсутствии каталожной зависимости приходится обращаться к приближенным расчетам.
При увеличении номинальной мощности Рн двигателя величина активного сопротивления статора снижается, а при Рн > 10 кВт можно пренебречь его величиной r1 ≈ 0. Тогда a = 0 , выражение механической характеристики (14.14) преобразуется к виду:
а выражение критического скольжения – к виду:
где μк – перегрузочная способность асинхронного двигателя.
Момент потерь холостого хода асинхронного двигателя Мх рассчитать довольно сложно из-за отсутствия каталожных данных по сопротивлениям статора и ротора. Поэтому в расчетах асинхронного электропривода можно не учитывать момент потерь холостого хода (Мх ≈ 0), а электромагнитный момент в установившемся режиме принимать равным статическому моменту.
Электромеханические характеристики асинхронного двигателя – зависимости частоты вращения ротора ω от тока статора ω(I1) , от тока ротора ω(I2), от тока намагничивания ω(Iμ). Расчет этих зависимостей достаточно сложен, так как необходим учет сопротивлений статора и ротора и их изменений в зависимости от частоты токов ротора и статора. Также при расчете необходимо учитывать изменение сопротивления контура намагничивания с помощью кривой намагничивания. Чаще всего на стадии проектирования электропривода сопротивления обмоток и кривая намагничивания не известны.
С достаточной точностью для расчета электромеханических характеристик двигателя при питании от цеховой сети (напряжение постоянной амплитуды и частоты) можно использовать формулы профессора В.А.Шубенко. Эти формулы получены при не учете активного сопротивления статора (r1 = 0) и используют только каталожные данные двигателя. Ток холостого хода (ток намагничивания):
Ток статора
10.2 Расчет частоты и напряжения двигателя в системе ПЧ–АД при работе в заданной точке
При питании асинхронного двигателя от преобразователя частоты в процессе преобразования напряжения промышленной частоты в напряжение регулируемой амплитуды и регулируемой частоты возникают потери напряжения и мощности в преобразователе. Обычно такие преобразователи имеют внутренние обратные связи, и при изменении нагрузки двигателя выходное напряжение и частота практически не изменяются. Поэтому в дальнейшем напряжение и частоту на статоре двигателя будем считать независящими от нагрузки.
Синхронная скорость двигателя ω0 зависит от частоты питающей сети f1 и числа пар полюсов рn:
Для устойчивой работы двигателя необходимо при изменении частоты поддерживать перегрузочную способность двигателя, что обеспечивается регулированием напряжения на статоре по различным законам в зависимости от частоты и от характера изменения статического момента. Эти особенности необходимо учитывать при расчете частоты и амплитуды напряжения.
Частота напряжения в заданной точке:
10.3 Расчет частоты и тока статора двигателя в системе источник тока – асинхронный двигатель (ИТ-АД)
При работе двигателя в режиме частых пусков и торможений большое значение имеют условия формирования пусковых и тормозных моментов. Механические характеристики асинхронного двигателя при питании от преобразователя частоты, работающего в режиме автономного источника напряжения, существенно снижают критический момент в зоне малых частот. Здесь существенно влияет активное сопротивление обмотки фазы статора r1. Для увеличения момента в зоне малых частот приходится повышать напряжение на статоре.
При питании статора двигателя от источника тока величина тока статора не зависит от нагрузки двигателя, а определяется лишь управляющим воздействием. Для предварительного расчета принимают Мкт =(2…3)Мзад, обеспечивая этим перегрузочную способность двигателя, и определяют величину тока статора
Механические характеристики строят по формуле
















