122917 (689294)
Текст из файла
Курсова робота на тему
Визначення деформації балок при згині
1. Прогин і поворот перерізу балки
До проектуємих частин споруджень пред'являються вимоги не тільки до міцності, але і до твердості, тобто щоб їхні пружні деформації під дією навантаження були як можна меншими (у результаті великого прогину валів порушується правильність зачеплення зубчастих чи коліс виникають кромочні навантаження в підшипниках ковзання й ін.). Вивчення деформацій також необхідно при рішенні статично невизначених задач.
На мал. 1 зображена в перекрученому масштабі скривлена вісь балки, затисненої одним кінцем і завантаженої на іншому кінці зосередженою силою. Початок системи координат розташуємо в одній із крапок первісної осі балки, яку завжди будемо вибирати за вісь х; вісь у будемо направляти перпендикулярно до первісної осі балки нагору. Центр ваги О якого-небудь перетину з абсцисою х переміщається в точку O1. Переміщення у центра ваги перетину по напрямку, перпендикулярному до осі балки, називається прогином балки в цьому перетині, чи прогином цього перетину балки. Оскільки прогини у звичайно малі в порівнянні з довжиною балки, то зсувом точки O1 (нейтральний шар не змінює своєї довжини при вигині) убік від перпендикуляра до осі балки можна зневажити як величиною вже 2-го порядку малості. Тоді рівняння вигнутої осі балки буде
Y = f (x) (1)
Мал. 1.
Найбільший прогин може служити мірилом того, наскільки спотворюється форма конструкції при дії зовнішніх сил (прогини, що допускаються, у залежності від призначення конструкції коливаються в межах
частки прольоту).
При деформації балки перетин, залишаючись плоским, повертається стосовно свого колишнього положення (1). Кут , на який кожен перетин повертається стосовно свого первісного положення, називається кутом повороту перетину. Дотична до вигнутої осі балки (1) у точці O1 складе з віссю х кут, рівний , тобто це кут повороту поперечного переріза щодо первісного положення. З іншого боку, тангенс кута, утвореного дотичної до кривої у = /(х) з віссю х, дорівнює
На практиці прогини звичайно дуже малі, при цьому кути також дуже малі, тому можна прийняти tg == і тоді (2) запишемо так:
тобто кут повороту перетину дорівнює першої похідної х від прогину у в цьому перетині.
Таким чином, вивчення деформації балки зводиться до одержання рівняння вигнутої осі у == f (х), а вже потім простим диференціюванням обчислимо кут повороту (3). Варто пам'ятати, що по своїй фізичній сутності пружна лінія вигнутої осі балки повинна бути кривою неперервною і гладкою, що рівнозначно вимозі, щоб функція у == f (х) і її перша похідна
були неперервні усюди протягом осі балки.
2. Диференціальне рівняння вигнутої осі балки
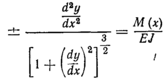
Для того щоб визначити у == f (х), необхідно установити залежність деформації балки від зовнішніх сил, розмірів і матеріалу балки. При перебуванні нормальних і дотичних напружень у балці при вигині прийнята наступна формула:
де р(х) — радіус кривизни ділянки вигнутої осі балки між двома суміжними перетинами на відстані х від початку координат; М (х) — згинальний момент у тім же перетині; EJ — твердість балки. Вплив Q (х) на деформацію балки невеликий, про що буде сказано нижче.
Зміна радіуса кривизни в залежності від зміни згинаючого моменту показана на мал. 2.
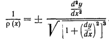
Для одержання рівняння вигнутої осі балки скористаємося відомим з диференціального числення вираженням кривизни кривої
Зіставляючи вираження (4) і (5), знайдемо залежність між х, у, М(х), EJ
Це і є диференціальне рівняння вигнутої осі. Рівняння (6) — звичайне нелінійне диференціальне рівняння другого порядку, що інтегрується в еліптичній і інших спеціальних функціях. Способи інтегрування таких рівнянь викладені в курсах теорії пружності. У практичних додатках звичайно користаються наближеним рівнянням. Прогини звичайно малі, при цьому кути нахилу дотичних також малі. Якщо навіть припустити, що кут нахилу перетину досяг 1°, то
Значення це настільки мале в порівнянні із одиницею, яка знаходиться в знаменнику лівої частини вираження (6), що їм можна зневажити. Тоді рівняння (6) спрощується
Це і є наближене диференціальне рівняння вигнутої осі балки. Воно дає цілком задовільні результати для більш твердих балок. Навіть при прогинах, рівної 1/10 довжини балки, погрішність досягає не більш 1,5 %.
Мал. 2 Мал. 3
Правило знаків для М(х) встановлено і не залежить від напрямку координатних осей
якщо убік позитивної осі у звернена увігнутість кривої і
- якщо випуклість (мал. 3).
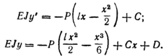
Умовимося надалі завжди вісь у направляти нагору («+» — при напрямку у нагору, «—» — при напрямку вниз) і диференціальне рівняння (7) писати у виді
Для одержання з диференціального рівняння вигнутої осі рівняння прогинів у = f (x) необхідно зробити інтегрування рівняння (8).
Інтегруючи один раз, одержимо
Інтегруючи друг раз, маємо
Таким чином, одержимо рівняння кутів повороту
і рівняння прогинів
Мал. 4
де С и D — довільні постійні інтегрування, для визначення яких необхідно мати принаймні хоча б дві умови де відомі значення функції у і її похідної. Ці умови називаються граничними умовами задачі.
Установимо граничні умови для консольної і простої балки (мал. 4). Незалежно від дії зовнішнього навантаження для кожної балки знайдемо дві граничні умови, з огляду на способи закріплення балки на кінцях.
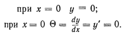
1. Для консольної балки (мал. 4, а) прогин на лівому кінці дорівнює нулю; також дорівнює нулю кут нахилу дотичної до осі. Таким чином, маємо наступні граничні умови:
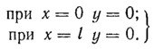
2 Для двохопорної балки (мал. 8.4 б) прогини на кінцях А и В звертаються в нуль. Одержуємо такі умови:
Визначивши з граничних умов (11) і (12) довільні постійні С и D і підставивши їх у рівняння (9) і (10), одержимо остаточне рівняння пружної лінії і кута повороту.
3. Інтегрування диференціального рівняння вигнутої осі балки, затисненої одним кінцем
Приклад 1. Розглянемо балку, зображену на мал. 5. Систему координат виберемо так, як показано на малюнку.
Диференціальне рівняння вигнутої осі має вид
Згинальний момент у перетині х від початку координат дорівнює М (х) = – Р (I – х) (реакція А = Р, а момент у закладенні М = –Р1). Тоді рівняння (13) приймає вид
Мал. 8.5 Мал. 8.6
Проінтегрувавши двічі, будемо мати
Щоб визначити постійні С и D, використовуємо граничні умови (11). При х=0
З рівняння (15) знаходимо, що C = 0; при х =0, у = 0 з (16) випливає D = 0. Постійні інтегрування обернулися в нуль, що є наслідком вибору початку координат у затисненому перетині балки. Відлік абсцис від затисненого кінця, а не від вільного, як це робилося при побудові епюр, трохи утрудняє обчислення М (х), але зате сильно полегшує обчислення деформацій (постійні С= D=0). Перетворюючи вираження (15) і (16) так, щоб у дужках були безрозмірні величини, одержимо
Інженера цікавить найбільше по абсолютній величині значення прогину. Для розглянутого випадку максимум буде в точці В при х == l
Знак мінус означає, що прогин спрямований униз. Найбільший кут повороту буде в тім же перетині при х= l
Знак мінус означає, що перетин повернувся по годинній стрілці. Для оцінки числових значень деформацій візьмемо Р = 2 • 104 Н, l == 2 м, [] = 14 • 107 Па. Перетин двотаврової балки знайдемо по сортаменті. Умова міцності
відкіля
Візьмемо балку № 24, для якої W = 289 див3, j =. 3460 cм4.
Приймемо Е=2 •1011 Па. Одержимо fB = - 0,78 см;
рад;
max fB складає
частку прольоту;
, і, звичайно, цим значенням можна зневажити в порівнянні з одиницею (6).
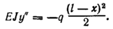
Приклад 2. Розглянемо консольну балку, навантажену суцільним навантаженням q, Н/м (мал. 6). Повторюючи те ж, що й у попередньому прикладі, знайдемо
Будемо інтегрувати рівняння
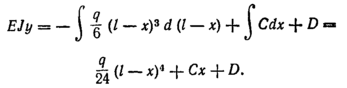
Звівши (l — х) у квадрат і інтегруючи тричлен, як і в попередньому прикладі, для довільних постійних одержимо нульові значення. Застосуємо інший прийом інтегрування, що представляє інтерес при рішенні задач з більш складним навантаженням. Оскільки dx == —d (l — х), то, не розкриваючи вираження (l — х)2 і інтегруючи перший раз по [—d (I — х)]. одержуємо
Інтегруючи далі, одержимо
Постійні інтегрування визначаємо із граничних умов при х = 0
з вираження (22) знайдемо
; при х = 0 у = 0, і з вираження (23) знайдемо постійну
Підставляючи С и D у рівняння (22) і (23), остаточно знайдемо рівняння кутів повороту і прогинів
Характеристики
Тип файла документ
Документы такого типа открываются такими программами, как Microsoft Office Word на компьютерах Windows, Apple Pages на компьютерах Mac, Open Office - бесплатная альтернатива на различных платформах, в том числе Linux. Наиболее простым и современным решением будут Google документы, так как открываются онлайн без скачивания прямо в браузере на любой платформе. Существуют российские качественные аналоги, например от Яндекса.
Будьте внимательны на мобильных устройствах, так как там используются упрощённый функционал даже в официальном приложении от Microsoft, поэтому для просмотра скачивайте PDF-версию. А если нужно редактировать файл, то используйте оригинальный файл.
Файлы такого типа обычно разбиты на страницы, а текст может быть форматированным (жирный, курсив, выбор шрифта, таблицы и т.п.), а также в него можно добавлять изображения. Формат идеально подходит для рефератов, докладов и РПЗ курсовых проектов, которые необходимо распечатать. Кстати перед печатью также сохраняйте файл в PDF, так как принтер может начудить со шрифтами.
















