122917 (689294), страница 2
Текст из файла (страница 2)
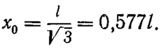
Найбільші деформації на правому кінці балки при х == I відповідно рівні
4. Інтегрування диференціального рівняння вигнутої осі балки при двох чи декількох ділянках
Якщо згинальний момент на різних ділянках балки виражається різними формулами, приходиться складати стільки диференціальних рівнянь, скільки ділянок на балці. Візьмемо балку на двох опорах, із завантаженням, розмірами і початком координат, як зазначено на мал. 8.7.
Мал. 8.7
Опорні реакції балки рівні
Згинальні моменти на ділянках / і // виражаються різними формулами, тому треба взяти два довільних перетини х1 і х2 і написати два диференціальних рівняння (розглядаємо ліві частини балки)
Інтегруючи ці рівняння, одержуємо:
перша ділянка
друга ділянка
У вираження для у і увійшли чотири постійних інтегрування, удвічі більше, ніж число ділянок. Для їхнього визначення необхідно мати 4 граничні умови, де що-небудь відомо про прогини і кути повороту. Такими перетинами будуть опорні перетини А і В і перетин С — перетину розділу між ділянками І і ІІ.
Значення у і у перетині С можна обчислити з формул як для першої ділянки, так і для другої, тобто при х1 = х2 = d повинний бути у1 = у2 і 1 = 2 Таким чином, одержимо дві умови:
тобто точка розділу завжди дає нам дві умови. Дві інших умови одержимо на опорах
у перетині А при х1 = 0 прогин у1 = 0; (34)
у перетині В при х2 = l прогин у2 = 0. (35)
Підставляючи перші рівняння виражень (30) і (31) в умову (32) при умові х1 = х2 = а, одержуємо
С1 = С2. (36)
Аналогічно з умови (33) з обліком других рівнянь (30) і (31) при х1 = х2 = а, одержимо
D1 = D2 (37)
тобто постійні інтегрування для обох ділянок виявилися однаковими завдяки прийнятому методу складання й інтегрування диференціальних рівнянь.
Застосовуючи умову (34) до другого рівняння (30), одержимо D1 = 0, а отже, і D2 = 0. Застосовуючи ті ж рівняння (35) до другого рівняння (31), одержимо
Тепер формули (30) і (31) для y і запишуться так;
перша ділянка
друга ділянка
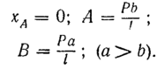
З'ясуємо найбільший прогин f. Він буде в перетині, для якого = 0.
З формули для 1 бачимо, що при х1 = 0 (у перетині A)
у перетині C при x1 = а
Таким чином, 1 між точками A и С змінює знак, тобто переходить через нуль. Виходить, найбільший прогин буде на першій ділянці. Для перебування абсциси
відповідного перетину необхідно, щоб 1=0
Підставляючи це значення
у формулу для у1 одержуємо
Мал.8.
Відстань перетину з найбільшим прогином від лівої опори буде мінятися зі зміною положення вантажу.
Якщо сила P знаходиться посередині прольоту, то
Якщо сила P наближається до опори В, тобто b 0, то
Таким чином, при переміщенні Р від середини прольоту до опори між точками D і В (мал. 8) абсциса точки з найбільшим прогином міняється усього від 0,5l до 0,577 l між точками D і F.
При розташуванні вантажу на мал. 7 прогин посередині прольоту дорівнює
і, роблячи числові підрахунки, легко переконатися, що він мало відрізняється від fmax (44).
Приведені міркування дозволяють зробити практично важливий висновок: при дії будь-яких навантажень, що згинають балку в одну сторону, найбільший прогин для балки на двох, опорах буде посередині прольоту.
У цьому параграфі показано, що при визначеному порядку складання й інтегрування диференціальних рівнянь можна число постійних скоротити до двох: С i D. При більшому числі ділянок завантаження таке скорочення значно спрощує підрахунки Рівність між собою довільних постійних (С1 = С2 =... = С і D = D2 = … = D) можливо при визначеному порядку складання й інтегрування диференціальних рівнянь.
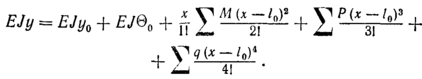
5. Метод початкових параметрів
Аналіз попередніх рішень показує, що при деякім перетворенні диференціальні рівняння можна скласти так, що вони будуть придатні при будь-якому виді завантаження. Зосереджені сили P1, Р2? …, розташовані на відстанях l1, l2, l3, … від початку координат, у рівняннях прогинів запишуться так:
Зосереджені моменти М1, М2,... з тими ж відстанями від початку координат дадуть у рівнянні
Рівномірно розподілені навантаження q1, q2,..., що починаються у відстанях l1, l2, … від початку координат і розташовані далі неперервно, дають вираження
Помітимо, що коефіцієнт у знаменниках (84)... (50) не що інше, як
24 = 1 • 2 • 3. 4 = 4!
6 = 1 • 2 • 3 = 3!
2 = 1 • 2 = 2!
1 = 1 = 1! (51)
Довільні постійні при прийнятому вище порядку складання виражень М(х) і порядку інтегрування будуть на всіх ділянках однакові і можуть бути замінені через збільшені в EJ раз прогин у0 і кут повороту 0 на початку координат (звідси і метод початкових параметрів).
Розташовуючи члени рівнянь по висхідним ступенях х, заміняючи l1, l2, … через l0 і підсумовуючи всі однотипні члени, можемо скласти наступні загальні рівняння пружної лінії:
рівняння кутів повороту
рівняння прогинів
Якщо в перетині балки, що збігає з початком координат, діє сила P0 і момент М0, то їх прийнято називати статичними, початковими параметрами Для випадку декількох моментів і сил, а також декількох ділянок розподіленого навантаження універсальне рівняння пружної лінії записують у наступній формі:
Рівняння кутів повороту завжди може бути отримано безпосереднім диференціюванням рівняння пружної лінії на відповідній ділянці балки. Таким чином, визначення переміщень по методу початкових параметрів зводиться в першу чергу до визначення значень початкових параметрів у0, 0, Р0, М0.
Необхідно пам'ятати, що закон Гука справедливий не тільки для матеріалу, але і для всієї балки в цілому: прогини і кути повороту прямо пропорційні навантаженням. Ця обставина дозволяє у випадку складного навантаження одержувати рівняння вигнутої осі як суму ординат кривих, що відповідають приватним навантаженням. Особливо це спрощується при обчисленні найбільшого прогину.
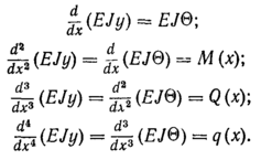
6. Диференціальні залежності при вигині
У розділі про вигин балки встановлені наступні диференціальні залежності:
для суцільного навантаження
для поперечної сили
для згинаючого моменту
для кута повороту перетину
Ці залежності можна розташувати послідовно:
Отже, знаючи навантаження q (х) і пристрій опор балки, можна послідовним інтегруванням одержати Q (х}, М (х), EJ, EJy, а знаючи рівняння вигнутої осі, можна шляхом послідовного диференціювання по х з функції EJy одержати EJ, М (х), Q (х) і q (х).
Для графічного зображення цих залежностей умовимося позитивні значення перерахованих значень відкладати нагору, вісь х — вправо, поворот перетину — проти вартовий стрілки.
7. Балки перемінного перетину. Бруси рівного опору вигину
Дотепер розглядалися балки з постійними розмірами поперечних переріз по всій довжині. В більшості випадків на балку діють навантаження так, що згинальні моменти в перетинах балки перемінні і змінюються за законом чи прямої кривої.
Розміри поперечного переріза балки підбираються по формулі
Отже, у балках постійного перетину матеріал витрачається неекономно. Щоб уникнути цього необхідно розміри поперечних переріз балки підбирати відповідно до М (х) і допустимим напруженням [], тобто щоб у всіх поперечних перерізах max, виникаючі під впливом зовнішніх сил, що діють на балку, не перевершували що допускаються
звідкіля
тобто W (х) для кожного перетину повинний мінятися пропорційно М (х).
Умови (61) і (62) справедливі і для перетину з найбільшим згинальним моментом Мmax, де W (х) = W0;
Ці вимоги можуть бути задоволені, якщо перетин балок робити перемінним. Такі балки легше по вазі, вони більш гнучкі. Ці властивості особливо необхідні пластинчастим пружинам, ресорам і ін. Балки рівного опору вигину розраховуються з умов міцності і твердості Найбільше поширення одержали балки рівного опору у виді прямокутника — з перемінною шириною b (х) і постійною висотою h чи з постійною шириною і перемінною висотою (ресори, плоскі пружини й ін.). Часто зустрічаються балки рівного опору вигину (вали, осі я ін.) круглого перетину.
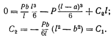
Мал. 9
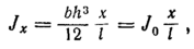
Розглянемо балку прямокутного перетину з b = b (х) і h = const (мал. 9)
Диференціальне рівняння вигнутої осі має вид
де
Значення b(х) визначимо з умов (63) з обліком того, що момент опору в перетині на відстані х від вільного кінця буде
, а М (х) = -Pх; момент опору опорного перетину
, а найбільший згинальний момент в опорному перетині Мmax = -Рl, тоді
З (65) з обліком (66) знайдемо
де j0 - момент інерції опорного перетину.
Таким чином, рівняння (64) буде мати вид
Інтегруючи, одержимо
Постійні визначаємо з граничних умов: при х = l у' = 0 відкіля
; при х = l у = 0, відкіля
Тоді















