122917 (689294), страница 3
Текст из файла (страница 3)
Максимальні деформації рівні будуть при х = 0 на вільному кінці балки.
Мал. 10
Порівнюючи ці значення і f значеннями для балки постійного перетину, бачимо, що деформації (70) у два, а у в 1,5 рази більше, ніж у брусів постійного перетину.
Таким чином, балки перемінного перетину мають більшу гнучкість у порівнянні з балками постійної твердості при однаковій з ними міцності. Саме тому, а не заради економії матеріалу їх і застосовують у таких конструкціях, як ресори, пружини й ін.
8. Потенційна енергія деформації при вигині
Крім розглянутих способів обчислення у і перетинів балок існує більш загальний метод, заснований на застосуванні закону збереження енергії і придатний для визначення деформацій будь-яких пружних конструкцій (систем). Під пружною системою будемо розуміти систему стрижнів, чи шарнірно жорстко зв'язаних між собою (мал. 10).
При статичній дії навантажень відбувається перетворення потенційної енергії з одного виду в іншій. Повне перетворення енергії з одного виду в іншій має місце тільки тоді, коли деформація відбувається без порушення рівноваги системи. Закон збереження енергії при деформації пружних систем приймає вид
Рівність (71) показує, що при переміщеннях без порушення рівноваги сума робіт усіх сил, прикладених до крапок тіла, дорівнює нулю і що потенційна енергія деформації U численно дорівнює роботі зовнішніх сил Ар, проробленої ними при цій деформації,
Мал. 8.11
Мал. 12
При обчисленні потенційної енергії будемо припускати, що деформації пропорційні навантаженням і ростуть постійно разом з ними. Аналогічно, як і при розтяганні, зрушенні, крутінні, обчислимо потенційну енергію при чистому вигині
тобто потенційна енергія деформації дорівнює половині добутку сили (розтягання, зрушення) чи пари сил (крутіння, вигин) па переміщення крапки додатка цієї сили по напрямку сили. Умовимося називати терміном «узагальнена сила» усяке навантаження, яке викликає відповідне навантаженню переміщення, тобто зосереджену силу чи пару сил; переміщення, що відповідає цій силі, будемо називати «узагальненою координатою». Тоді формула для потенційної анергії при різних видах деформації узагальнюється
де Р — узагальнена сила; — узагальнена координата.
У загальному випадку вигину згинальний момент М (х) — значення перемінне. У будь-якому перетині йому буде супроводжувати поперечна сила Q (х) Тому розглядати випливає не всю балку в цілому, а лише нескінченно малий елемент балки довжиною dx При дії згинаючих зусиль перетину елемента повертаються й утворять між собою кут d (мал. 11). Дотичні зусилля прагнуть викликати перекіс елемента. Звичайно робота дотичних зусиль виявляється малої в порівнянні з роботою нормальних зусиль, тому нею зневажаємо. Елементарна ж робота нормальних зусиль дорівнює
Уся потенційна енергія виходить підсумовуванням по довжині балки
У тих випадках, коли маємо дві і більш ділянки для М (х), інтеграл (8.76) розбиваємо на суму інтегралів
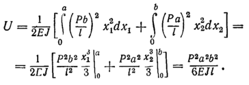
Як приклад розглянемо балку на двох опорах (мал. 12) із зосередженою силою. Обчислимо за допомогою потенційної енергії прогин під силою Р. Епюра моменту має дві ділянки, тому і потенційну енергію (77) обчислимо по формулі
де
і тоді
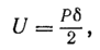
Відповідно до формул (72) і (75) з обліком того, що з зовнішніх сил тільки сила Р робить роботу при деформації балки,
одержимо прогин під цією силою
Якщо сила прикладена посередині
, то одержимо уже
відоме вираження прогину















