122849 (689260)
Текст из файла
Министерство сельского хозяйства и продовольствия Республики Беларусь
Белорусский Государственный Аграрный Технический
Университет
Кафедра автоматизированных систем управления производством
Курсовая работа
По "Основам автоматики"
Анализ систем автоматического регулирования давления пара в барабане котла.
Студента гр.7эс Михновца Л.Л.
Руководитель Недбайло В.А.
Минск-2008 г.
Содержание
1. Цель работы. Задание. Исходные данные
2. Характеристика объекта управления, описание устройства и работы системы САР, составление ее функциональной схемы. Принцип автоматического управления и вид системы
3. Составление структурной схемы системы
4. Определение закона регулирования системы
5. Определение передаточных функций системы по управляющему и возмущающему воздействиям для ошибок по этим воздействиям
6. Анализ устойчивости системы. Определение запасов устойчивости
6.1 Анализ устойчивости по критерию Гурвица
6.2 Анализ устойчивости по критерию Найквиста
7. Анализ зависимости статической ошибки системы от изменения управляющего воздействия на систему
8. Совместный анализ изменения управляемой величины объекта управления и системы от возмущающего воздействия в статике. Определение статической ошибки системы по возмущающему воздействию
9. Оценка качества управления по переходным функциям
9.1 Рассмотрим оценку прямых показателей качества управления нашей системы
9.2 Быстродействие системы оценивается временем регулирования
9.3 Колебательность переходного процесса
9.4. По переходной функции может быть определена статическая ошибка системы
10. Общие выводы по работе
Литература
1. Цель работы. Задание. Исходные данные
Цель работы: закрепление базовых данных и знаний по курсу "Основы автоматики" на примере проведенных анализов системы автоматического регулирования.
Задание:
1. Дать краткую характеристику объекта управления, описать устройство и работу системы, составить ее функциональную схему. Сделать вывод о принципе автоматического управления, использованном в системе и виде системы.
2. Составить структурную схему системы.
3. Определить закон регулирования системы.
4. Определить передаточные функции системы по управляющему (задающему), возмущающему воздействиям и для ошибок по этим воздействиям.
5. Выполнить анализ устойчивости системы по критериям Гурвица и Найквиста. Определить запас устойчивости.
6. Проанализировать зависимость статической ошибки системы от изменения управляющего (задающего) воздействия на систему. Сделать вывод о характере этой зависимости.
7. Провести совместный анализ изменения управляемой (регулируемой) величины объекта управления и системы от возмущающего воздействия в статике. Дать их сравнительную оценку. Определить статическую ошибку системы по возмущающему воздействию.
8. Оценить качество регулирования по переходным функциям.
9. Сделать общие выводы по работе.
Таблица 1.1 Исходные данные
| Параметры | ||||||||||||
| Вариант | Схема | К1 | К2 | Т1, с | Кд | Тд, с | Ку | Кдв | Кр | Кв | Тдв, С | |
| 0 | 3 | 0,1 | 0,5 | 100 | 0,5 | 1 | 10 | 0,005 | 0,2 | 40 | 0,5 | |
2. Характеристика объекта управления, описание устройства и работы системы САР, составление ее функциональной схемы. Принцип автоматического управления и вид системы
Рисунок 2.1 САР давления пара в котле.
Объектом управления (ОУ) рассматриваемой САР является котел. Регулируемой величиной является количество подачи топлива
, которое сжигается и даёт определенную температуру в котле. При определенной температуре в котле будет определённое давление в барабане котла. Управляющим воздействием на ОУ является открытие вентиля, который регулирует подачу топлива. Основное возмущающее воздействие изменение расхода пара (изменение нагрузки котла). Дополнительными возмущениями могут быть, например, изменение температуры окружающей среды, изменение напряжения питания датчика давления - манометра 3 с дифтрансформаторным преобразователем сигнала и тд.
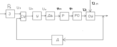
Рисунок 2.2 Функциональная схема системы.
Система работает следующим образом:
В установившемся режиме при равенстве давления
в котле заданной
напряжение
.
При отклонении давления
пара в котле от заданной, на входе ДУ появляется разность напряжений, отличная от нуля, что приводит к появлению потенциала на его выходе. Начинает вращаться двигатель, отклоняя через редуктор фрамуги на угол
, до того момента, пока разность напряжений не станет равна нулю.
В результате рассмотрения устройства и работы системы можно сделать следующие выводы:
В системе реализован принцип управления по отклонению (по ошибке).
Система является стабилизирующей и обладает большой инерционностью.
3. Составление структурной схемы системы
Структурной схемой называется наглядное графическое изображение математической модели (математического описания) системы.
На структурной схеме каждое звено изображается прямоугольником, внутри которого записывается математическое описание звена. Связи между звеньями структурной схемы изображаются линиями со стрелками, соответствующие направлению прохождения сигналов. Над линиями ставятся обозначения сигналов. Составим структурную схему САР температуры поливной воды в водонагревателе. Для этого получим передаточные функции всех элементов системы:
1. Уравнение теплицы, как объекта управления:
, (3.1)
Изображение Лапласа этого уравнения:
, (3.2)
Согласно принципу суперпозиции изменение выходной величины такого звена равна сумме изменений выходных величин по каждому воздействию.
Передаточная функция водонагревателя по управляющему воздействию:
, (3.3)
Передаточная функция водонагревателя по возмущающему воздействию:
, (3.4)
Аналогичным образом получим передаточные функции остальных элементов системы.
1. Термометр сопротивления совместно с измерительным блоком (ДиБИ):
,
, (3.5)
2. Задатчик.
,
,
, (3.6)
3. Дифференциальный усилитель (ДУ):
(3.7)
4. Двигатель (ДВ):
, (3.8)
5. Редуктор (Р):
, (3.9)
6. Фрамуги (РО):
, (3.10)
Составим структурную схему нашей системы.
Рисунок 3.1 Структурная схема САР давления пара в котле.
Задатчик (З) является безинерционным. Его коэффициент передачи
должен быть равен коэффициенту передачи датчика, поскольку заданная температура
и действительная
должны вычитаться в одном масштабе. Поэтому для наглядности исследования эти коэффициенты можно перенести за СУ и считать, что из заданной температуры непосредственно вычитается измеренная датчиком, и формируется сигнал ошибки
. Преобразованная таким образом структурная схема выглядит так:
4. Определение закона регулирования системы
Законом регулирования называют математическую зависимость, в соответствии, с которой управляющее воздействие на объект формировалось бы безинерционным регулятором в функции от ошибки системы.
Закон регулирования во многом определяет свойства системы. Определим закон регулирования рассматриваемой САР давления пара в котле. Для этого найдем передаточную функцию, определяющую взаимосвязь управляющего воздействия
на объект и ошибки е:
(4.1)
Передаточная функция безинерционного регулятора:
(4.2)
(4.3)
Поэтому:
(4.4)
Зависимость управляющего воздействия от ошибки показывает, что в рассматриваемой системе интегральный закон регулирования.
5. Определение передаточных функций системы по управляющему и возмущающему воздействиям для ошибок по этим воздействиям
Для рассматриваемой САР давления пара в котле передаточная функция по управляющему воздействию:
(5.1)
Передаточная функция САР по возмущающему воздействию определяет взаимосвязь между изменением регулируемой величины и изменением возмущающего воздействия.
Для данного примера передаточная функция САР температуры воздуха по возмущающему воздействию:
, (5.2)
где
- передаточная функция цепи звеньев от места приложения возмущающего воздействия до регулируемой величины.
(5.3)
Передаточная функция САР для ошибки по управляющему воздействию:
(5.4)
Передаточная функция САР для ошибки по возмущающему воздействию:
(5.5)
6. Анализ устойчивости системы. Определение запасов устойчивости
6.1 Анализ устойчивости по критерию Гурвица
Устойчивость - это свойство системы возвращаться в исходный или близкий к нему установившийся режим после снятия воздействия, вызвавшего выход из установившегося режима.
Характеристики
Тип файла документ
Документы такого типа открываются такими программами, как Microsoft Office Word на компьютерах Windows, Apple Pages на компьютерах Mac, Open Office - бесплатная альтернатива на различных платформах, в том числе Linux. Наиболее простым и современным решением будут Google документы, так как открываются онлайн без скачивания прямо в браузере на любой платформе. Существуют российские качественные аналоги, например от Яндекса.
Будьте внимательны на мобильных устройствах, так как там используются упрощённый функционал даже в официальном приложении от Microsoft, поэтому для просмотра скачивайте PDF-версию. А если нужно редактировать файл, то используйте оригинальный файл.
Файлы такого типа обычно разбиты на страницы, а текст может быть форматированным (жирный, курсив, выбор шрифта, таблицы и т.п.), а также в него можно добавлять изображения. Формат идеально подходит для рефератов, докладов и РПЗ курсовых проектов, которые необходимо распечатать. Кстати перед печатью также сохраняйте файл в PDF, так как принтер может начудить со шрифтами.
















