14789 (686303), страница 6
Текст из файла (страница 6)
Пиримор - инсектицид контактного, фумигационного и системного действия, высокоэффективен против всех видов тлей и отличается быстротой действия. Системный эффект проявляется при поступлении через корни. При опрыскивании растений инсектицид передвигается только в пределах одного листа. Малотоксичен для пчел и энтомофагов тли (златоглазка, божья коровка), что позволяет применять его на цветущих культурах и в системах интегрированной защиты.
Для человека и теплокровных животных высокотоксичен (СД50 для крыс 111 мг/кг), кожно-резорбтивное, раздражающее и кумулятивные свойства выражены слабо.
Для опытно-производственного применения разрешается 50 %- ный смачивающийся порошок пиримора для борьбы с тлями, особенно устойчивыми к органическим соединениям фосфора, на семенных участках картофеля - 1,5-2 кг/га; на высадках сахарной свеклы - 0,6; на хмеле - 1- 2 кг/га.
Альто (ципроконазол)
Действующее вещество (2RS,3RS)-1-(1H-1,2,4-триазол-1-ил)-2-(4-хлофенил)-3-циклопропилбутан-2-ол, смесь изомеров ~ 1:1 (Sandoz)
Бесцветное кристаллическое вещество без запаха, температура плавления 106-109°С. Давление пара (20°С) 0,035 мПа. растворимость в воде (22°С) 140 мг/л; в органических растворителях (25°С, в %): в ацетоне > 23, этаноле > 23, ксилоле 12,1. Термо- и фотостабилен.
Выпускается в виде 10- и 40% СП, 5%-го КЭ, 10- и 40%-х Г, 10- и 40%-х ВК.
ЛД50 для крыс 1020-1333 мг/кг. Не раздражает кожу и глаза кроликов. высокотоксичен для водорослей.
Фунгицид с контактным и системным действием для борьбы с комплексом заболеваний пшеницы, ячменя, риса, виноградной лозы, овощных, декоративных, плодовых, косточковых культур, бобовых, сахарной свеклы; особенно эффективен против всех видов ржавчины. Обладает длительным защитным и лечебным действием: продолжительность устойчивого действия против ржавчин более 6 нед. Нормы расхода (в г/га): зерновых бобовых, арахиса - 40-100, для чайных плантаций - 20, для виноградников и декоративных культур - 10-50.
Альто, 40% СК - разрешен для применения (в л/га по препарату) на яровых и озимых (0,1-0,2) и ячмене (0,2-0,25), на ржи, овсе, сахарной свекле (0,15-0,2). Ингибитор биосинтеза эргостерола. В почве малоподвижен.
Стабилен при хранении в нормальных условиях в оригинальной упаковке 2 года.
Фозалон (золон)
Действующее вещество О,О-диэтил-5-(6-хлорбензоксазолинон-2-ил-3-метил)-дитиофосфат:
В чистом виде белое кристаллическое вещество с чесночным запахом, температура плавления 45-47°С, нелетучее, плохо растворимое в воде и хорошо - во многих органических растворителях.
Фозалон относительно устойчив в кислой и нейтральной средах. В щелочной среде быстро протекает его гидролиз по связи Р-Х с образованием диэтилтиофосфорной кислоты, 6-хлорбензоксазоло- на и формальдегида. При действии окислителей фозалон превращается в более токсичный P=О-аналог, который относительно неустойчив и быстро разрушается.
В почве, на листьях и внутри растений фозалон вначале окисляется до P=О-аналога с последующим гидролизом до соответствующих фосфорных кислот и 6-хлорбензоксазолона. Доказано также, что в растении может проходить разрушение молекулы фозалона по N-метилен-связи с образованием N-гликозида-6-хлор-бензоксазолона. В почве остатки его обнаруживались через 18-21 день при внесении препарата 6 кг/га. В растениях он может сохраняться до 30 дней.
Фозалон проникает через кутикулярные слои растений и накапливается в кожуре плодов и кутикуле листьев. Передвижения препарата по растению практически не происходит. После опрыскивания растений не отмечается ожогов листьев древесно-кустарниковой и травянистой растительности.
Фозалон - кишечно-контактный инсектицид и акарицид с высокой начальной токсичностью и продолжительным защитным действием. Обладает глубинным эффектом. Гибель насекомых и их личинок происходит в первые 48 ч после обработки. Продолжительность защитного эффекта в среднем 15-21 день, а иногда до 30 дней.
Препарат высокотоксичен для грызущих насекомых (гусениц плодожорок, листоверток, жуков и их личинок), минирующих и сосущих вредителей, малотоксичен для ложногусениц пилильщиков и пчел. Большое преимущество этого соединения - сохранение высокой эффективности и при низкой температуре воздуха (10-12 °С).
Фозалон высокотоксотен для человека и теплокровных животных (СД50 для крыс при однократном введении через рот 108 мг/кг), обладает слабо выраженными кожно-резорбтивными и кумулятивными свойствами. Препарат быстро разрушается в организме животного до нетоксичных продуктов и не выделяется с молоком матери.
Для применения выпускаются 35 %-ный концентрат эмульсии фозалона (золен) и 30%-ный смачивающийся порошок (бензофосфат). При испытании эти препараты не различались по эффективности, длительности защитного эффекта, по действию на насекомых и растения. Поэтому их следует считать равноценными. Препараты фозалона и бензофосфата рекомендуются в 0,2 %-ной концентрации по препарату для применения на плодовых культурах против яблонной, восточной и грушевой плодожорок, листоверток, американской белой бабочки, кольчатого и непарного шелкопрядов, тлей, медяниц, бурого и боярышникового клещей, щитовок, ложнощитовок и червецов; на цитрусовых культурах против красного цитрусового и серебристого клещей, цитрусовой белокрылки, калифорнийской и японской палочковидной щитовок, цитрусовой ложнощитовки; на виноградниках против двулетней и гроздевой листоверток, паутинного клеща и личинок кокцид; на хмеле против паутинного клеща и тлей. Норма расхода на яблоне и груше 0,7-1,4 кг д.в./га, сливе и вишне- 0,3-1, хмеле - 0,3, виноградной лозе - 0,4-1, цитрусовых 1,4-2,1 кг д.в/га.
На хлопчатнике бензофосфат используется против хлопковой совки и паутинного клеща при норме расхода 0,9-1 кг д.в/га, на картофеле, томате и баклажане - 0,5-0,7, семенниках люцерны против сосущих и грызущих вредителей - 0,5-1, табаке и махорке против тлей, совок и трипсов-0,6-0,7кг д.в/га. На озимой пшенице 35 %-ный концентрат эмульсии используется против серой зерновой совки, лугового мотылька, вредной черепашки, пьявицы и тли - 0,5-0,7 л/га; на сахарной свекле против свекловичного долгоносика и лугового мотылька - 1-1,2; на семенниках клевера против комплекса вредителей - 1; на абрикосе против тлей, листоверток, моли - 0,7-0,84; на персике против восточной плодожорки - 0,84; на ячмене против внутристебельных мух - 0,52; на капусте - 0,5-1 л/га. Для обработки складских помещений до загрузки расходуют его 0,25 г/м3, а прискладских территорий - 0,5 г/м'. Разрешается опытно-производственное применение 35%-ного концентрата эмульсии на конопле- 1,5-Зл/га, 30%-ного раствора для УМО на сахарной свекле и семенниках клевера - 3 л/га.
На плодовых культурах при обработке фозалоном значительно сокращается численность минирующих вредителей.
Обработки плодовых, цитрусовых культур и виноградников фозалоном следует прекращать не позднее чем за 40 дней до уборки урожая, хмеля - за 20, табака - за 10, остальных культур - за 30 дней. Разрешается двукратная обработка большинства культур; хлопчатника, яблони и груши - четырехкратная, персика - 2-4-кратная. МДУ в продуктах растительного происхождения 0,2 мг/кг.
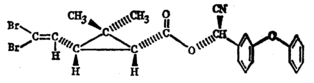
Децис (дельтаметрин)
Действующее вещество [S]-a-циано-3-феноксибензил (1R,цис)-2,2-днметил-3-(2,2-днбромвинил)-циклопропилкарбоксилат:
Белое кристаллическое вещество, t пл. 98-101 ° С. Практически нерастворим в воде, хорошо растворим в ацетоне, этаноле. диоксане и большинстве ароматических углеводородов и их галогенопроизводных. Температура вспышки 42 ° С. тех. продукт выдерживает нагревание при 40 ° С в течении 6 мес. Устойчив на свету.
Единственный пока пиретроидный препарат, содержащий только один изомер.
Дельтаметрин - высокоактивный инсектицид контактного и кишечного действия, защитный эффект 15 дней. Хорошо уничтожает вредителей уже при норме расхода 5 г д.в/га.
Для человека и теплокровных животных высокотоксичен (СД50 для крыс 128-138 мг/кг).
Децис (2,5%-ный концентрат эмульсии) рекомендуется для опытно-производственного применения на хлопчатнике против совок, тлей и белокрылки при норме расхода препарата 0,4-1 кг/ra; на картофеле против колорадского жука - 0,3; на груше против медяницы - 0,6; на яблоне против комплекса вредителей - 0,5-1; на винограде против гроздевой листовертки - 0,4-1,2; на сахарной свекле и подсолнечнике против лугового мотылька - 0,2; на горохе против тли-0,2; на нелистосборных плантациях чая против тли - 3 -4 л/га; для обработки незагруженных складов - 0,2 г/м2 и прискладских территорий - 0,4 г/м2.
Разрешается четырехкратная обработка хлопчатника и двукратная - остальных культур, срок последней обработки за 20 дней до уборки.
В практических условиях после применения остаточные количества препарата не превышают 0,15 мг/кг. При обычном опрыскивании растений рекомендуемая норма расхода жидкости от 1000 до 1500 л/га.
В таре с антикоррозионным покрытием можно хранить 2 года.
Остаточные количества определяют ГЖХ.
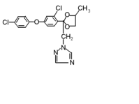
Скор (дифеноконазол)
Действующее вещество цис,транс-4-[4-Метил-2-(1H-1,2,4-триазол-1-илметил)-1,3-диоксолан-2-ил]-3-хлорфенил-4-хлофениловый эфир, соотношение изомеров цис-транс 45:55 (Ciba-Geigy).
Белое кристаллическое вещество, t пл. 76°С. Давление пара (20°С) 1,210-7. Растворимость в воде 5 мг/мл, хорошо растворим в большинстве органических растворителей. Стабилен до 300 ° С.
Выпускается в виде КЭ, СП, ВДГ.
ЛД50 1453 мг/кг. Не раздражает кожу и глаза кроликов. Практически не токсичен для птиц, земляных червей. Токсичен для рыб (в лабораторных опытах).
Системный фунгицид и протравитель семян. Обладает длительным защитным и лечебным действием при нормах расхода 30-250 г/га против широкого круга растительных патогенов из классов аскомицетов, базидиомицетов, дейтеромицетов. При обработке семян зерновых норма расхода 60 г/100 кг семян.
Скор, КЭ, 25%, разрешен для борьбы с паршой и мучнистой росой яблони при норме расхода по препарату 0,15 л/га.
Раундап (глифосат)
N-фосфонометилглицин (Monsanto).
(НО)2POCH2NHCH2COOH
Белое кристаллическое вещество, t разл. 230°С. растворимость в воде (25 °С) 12 г/л, плохо растворим в большинстве органических растворителей. С органическими основаниями образует соли, хорошо растворимые в воде.
Выпускается в виде 36%-го (по кислоте) ВР соли с изопропиламином и 50% СП.
ЛД50 для крыс 4900 мг/кг. Не кумулируется в тканях животных и не раздражает кожу. Меры предосторожности как с малотоксичными пестицидами, но следует избегать попадания растворов препарата на слизистые глаз.
Малотоксичен для пчел и других полезных насекомых. СК50 (в мг/л) для различных пород рыб 19,5-125 (24-48 ч), для крабов и устриц 280-934.
Применяется в качестве избирательного и сплошного гербицида для борьбы с одно- и многолетними сорными растениями, в частности, активен против пырея ползучего, вьюнка, мышея и ряда других сорняков при применении в вегетацию. Обладает системным действием и способен передвигаться по растению, попадая из надземной части в корни. Нормы расхода 0,65-6 кг/га. Глифосат лучше всего применять по стерне или в парах для обработки сорных растений во время вегетации. На семена не действует. Применяется в полях, предназначенных под посев кукурузы, зерновых яровых и овощных культур, подсолнечника, рапса, клещевины, сои, хлопчатника, многолетних злаковых трав на семена, однолетних цветочных культур, арбузов, после уборки урожая на плантациях мяты, лаванды (4 кг/га). Разрешена также предуборочная обработка посевов зерновых (за 2 нед до уборки при влажности зерна не более 30%) для подсушивания зерна и частичного подавления роста сорных растений (норма расхода 3 л 36%-го ВР на га). При минимальных нормах расхода (0,65 кг/га) сравнительно недолго сохраняется в почве, и через 2-4 недели обработанные участки могут засеваться злаковыми культурами. Возможно использование глифосата в посадках плодовых, цитрусовых культур и виноградниках при опрыскивании вегетирующих сорных растений весной или летом (при условии защиты культуры).
ВР соли глифосата с изопропиламином при хранении корродоруют различные металлы, в связи с чем их хранение возможно только в металлической таре со специальным антикоррозионным покрытием или в полиэтиленовой таре.
Получают при реакции глицина с хлорметилфосфоновой кислотой в присутствии акцепторов хлорида водорода.
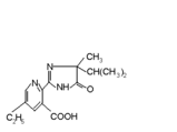
Пивот (имазетапир)
Действующее вещество 2-(4-Изопропил-4-метил-5-ооксоимидазолинил-2)никотиновой кислоты соль с изопропиламином (American Cyanamid).















