14789 (686303), страница 5
Текст из файла (страница 5)
Для защиты гороха от ржавчины рекомендуется два препарата - альто (ципроконазол) и комбинированный препарат рекс (тиофонат-метил + эпоксиконазол). Первый препарат - производное триазола, обладает контактным и системным продолжительным действием (до 6 недель), он малотоксичен и не раздражает кожу. Второй препарат - рекс, по характеру действия является системным, защитным и лечебным, малотоксичен. Он включает два действующих вещества - тиофонат-метил - производное бензимидазола для эффективной борьбы с мучнистыми росами на различных культурах и эпоксиконазол - производное триазола для борьбы с различными видами ржавчины. Оба препарата, альто и рекс, имеют примерно одинаковые характеристики - по токсичности, кратности обработок, срокам ожидания и др. В обоих этих препаратах действующие вещества эффективные против ржавчины относятся к одной группе по химическому строению. Учитывая эти моменты, становится ясно, что нет смысла применять более универсальный (и, скорее всего, более дорогостоящий) препарат рекс для борьбы только с одним заболеванием.
Обработка альто (ципроконазолом) производится 1 раз при появлении единичных пустул ржавчины (примерно в начале цветения), а при раннем развитии - 2 раза с интервалом в 7 дней.
Для борьбы с сорными растениями на горохе существует немало препаратов, однако многие из них не подходят сразу, т.к. действуют только на один класс растений, а мы имеем смешанное засорение, причем горец и подмаренник - сорняки, устойчивые к препаратам групп 2,4-Д и 2М-4Х. Всего "Списком.." рекомендуется 3 препарата. Рассмотрим предлагаемый ассортимент гербицидов. Базагран очень эффективен, обладает системным действием, применяется в фазу 5-6 листьев всходов гороха. Однако, он достаточно токсичен и требует осторожности и предохранения кожи и глаз при работе с ним. Гезагард так же является весьма эффективным избирательным системным препаратом, безопасным для культуры при правильном применении. Метод его применения гигиеничен и прост (опрыскивание до всходов культуры). Он малотоксичен для теплокровных и нетоксичен для пчел. Но предпочтение было отдано пивоту, препарату высокоэффективному в малых нормах расхода на бобовых культурах. Он малотоксичен, обладает слабым раздражающим действием, нетоксичен для пчел и нефитотоксичен для гороха.
Яблоня
В борьбе с яблонной плодожоркой предпочтение следует отдать контактным и кишечным препаратам, т.к. гусеницы обладают грызущим ротовым аппаратом, а, кроме того, интоксикация плодов системными препаратами нежелательна с точки зрения чистоты продукции. На осенних сортах обычно проводится 3-4 опрыскивания. Рекомендуется провести два опрыскивания: первое - фософорорганикой, второе - пиретроидами. Для первого опрыскивания будет эффективен золон (фозалон), обладающий высокой начальной токсичностью, длительным защитным периодом, кроме того, обладающий акарицидным действием, а также безопасный для пчёл. Также преимущество золона для первого опрыскивания в том, что он эффективен при пониженных температурах (10-12°С). Второе опрыскивание желательно провести пиретроидным препаратом для предотвращения возникновения групповой устойчивости и снижения пестицидной нагрузки. Наиболее эффективен в данном случае децис. Из-за того, что второе поколение в Рязанской области неполное или вообще отсутствует, проводить обработки против второй генерации бабочек не нужно.
Для обработки яблони против парши рекомендовано достаточно много препаратов, но наиболее эффективным признан скор - системный фунгицид лечащего и защитного действия, действующим веществом которого является дифеноконазол. Применение его позволяет снизить пестицидную нагрузку благодаря низким дозам и сокращению количества опрыскиваний. Кроме того, он безопасен для человека, полезных насекомых и самой яблони. Препараты серы относительно малоэффективны против парши. Применения бордоской жидкости также желательно избежать, т.к. она трудоемка в приготовлении, может проявлять фитотоксичность и постепенно накапливаться в почве, стерилизуя её, что препятствует нормальному протеканию различных почвенных микробиологических процессов (разложение растительных остатков и пестицидов). Делан (дитианон) не обладает системным действием, более токсичен для человека и немного менее эффективен, чем скор. Топсин М (тиофонат-метил), обладая в целом благоприятными характеристиками, также слабее скора при применении против парши яблони.
Характеристика выбранных пестицидов
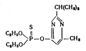
Базудин (диазинон)
Действующее вещество О-О-диэтил-О-(2-изопропил-4-метилпиримидил-6)-тиофосфат:
В частом виде это бесцветная маслянистая жидкость с температурой кипения 89°С, плохо растворимая в воде и хорошо - в большинстве органических растворителей. Летучесть при 20°С 1,39 мг/м3.
Базудин относительно легко гидролизуется в щелочной и кислой средах. В щелочных условиях образуются диэтилфосфорная кислота и 2-изопропил-4-метил-6-оксипиримидин, а в кислой среде, кроме этих веществ - небольшое количество тетраэтилдитио- и тиопирофосфатов.
Остатки базудина в почве (0,1 мг/кг) обнаруживаются через 12-14 недель после внесения гранулированного препарата. Однако 50 % вещества разлагается всего за 2-3 недели. Этот процесс обусловлен физическими и химическими факторами, а также активным участием микроорганизмов почвы.
Базудин, внесенный в почву, хорошо поглощается корнями растений и передвигается в наземные органы, накапливаясь здесь в инсектицидных количествах. Поэтому препарат защищает всходы культур от вредителей в течение 7-15 дней. Остатков инсектицидов в урожае не бывает. При обработке вегетирующих растений базу- дин обнаруживается в листьях только первые 7-10 дней.
Разложение препарата в растениях идет по двум направлениям: окисление тиофосфата до соответствующего фосфата (диазоксона) с последующим гидролизом Р-X-связи с образованием нетоксичных диэтилфосфорной кислоты и 2-изопропил-4-метил-6-оксипиримидина; окисление боковой изопропиловой группировки кольца с дальнейшим гидролизом Р-Х-связи с разрушением гетероцикла и выделением СО2.
В рекомендуемых нормах базудин не проявляет фитоцидных свойств. Однако при обработке семян и корней рассады раствором препарата отмечается угнетающее действие на рост коревой системы и проростка. К чувствительным культурам относится салат.
Базудин - контактный и системный инсектицид с непродолжительным защитным действием. Высокотоксичен для личинок двукрылых, имаго и личинок жуков, особенно долгоносиков, различных видов тлей и гусениц подгрызающих совок. Продолжительность защитного действия при опрыскивании растений 7-14 дней. При систематическом применении инсектицида отмечается появление насекомых, устойчивых к фосфорорганическим соединениям. Приобретенная устойчивость объясняется меньшей проницаемостью покровных тканей насекомых и большей активностью ферментов в их организмах. Особенность ферментных систем устойчивых насекомых - их способность окислять 4-метилгруппу гетероцикла базудина до 4-СООН-радикала, что приводит к потере токсичности и облегчает дальнейшее разрушение вещества.
Базудин относится к высокотоксичным для человека и животных веществам (СД50 для крыс 76-130 мг/кг). Проникает через кожу, кумулятивные свойства выражены слабо.
Выпускается в виде 60%-го КЭ, 40%-го СП, 10%-го Г, 50%-го П и 80%-го раствора для УМО.
40%-ный смачивающийся порошок базудина рекомендуется для обработки посевов сахарной свеклы против тлей, долгоносиков, блошек при норме расходе препарата 2,5 кг/га; пшеницы против хлебной жужелицы - 2-2,5; семенников клевера - 2,5-3 кг/га.
60%-ный концентрат эмульсии применяется для борьбы с листовыми тлями на семенниках и промышленных плантациях сахарной свеклы - 0,8 л/га; с долгоносиками и другими вредителями на семенниках люцерны и клевера в фазе бутонизации и образования плодов - 2-3; с хлебной жужелицей на пшенице - 1,5-1,8; с внутристебельными мухами на ячмене - 1,5 л/га.
10%-ный гранулированный препарат при норме расхода 40- 50 кг/га используется для внесения в почву в период отрастания семенников люцерны против комплекса вредителей. Рекомендуется для опытно-производственного применения на сахарной свекле против подгрызающих совок без заделки в почву. Вносится вместе с семенами кукурузы при посеве в условиях юга европейской части РФ против проволочников, для защиты хлопчатника против совок - 40-50 кг/га; в почву при посадке картофеля против проволочников - 15-50 кг/га.
5 %-ный гранулят вносят в почву вместе с семенами озимой пшеницы против личинок хлебной жужелицы при расходе 50 кг/га с семенами кукурузы против проволочников - так же, как и 10 %- ный препарат при той же норме расхода; применяется на капусте против капустной мухи - 20-50 кг/га.
Срок последней обработки пшеницы и капусты за 30 дней, других культур - за 20 дней до уборки. 10 %-ный гранулированный препарат применяется на сахарной свекле не позднее чем за З0 дней до уборки.
Допускаются остатки базудина в капусте, луке, картофеле, хлопковом масле, кукурузе, зерне - 0,1 мг/кг, в томатах, свекле, огурцах - 0,5 мг/кг. Разрешается однократная обработка пшеницы, двукратная - других культур.
В алюминиевой или железной таре со специальным покрытием можно хранить два года.
Остаточное количество определяют ТСХ или ГЖХ.
TMTД (тирам).
Действующее вещество тетраметилтиурамдиcульфид, а по новой номенклатуре - бис-(диметилтиокарбамоил)- дисульфид:
Мелкокристаллический порошок желтовато-серого цвета, температура плавления 155-156°С. Практически нерастворим в воде, но растворим в большинстве органических растворителей. Соединение химически стойкое, не разрушается в кислой и щелочной средах. Устойчиво к воздействию высоких температур. Разрушается сильными окислителями с образованием серной кислоты и углекислого газа, восстановители в щелочной среде переводят тетраметилтиурамдисульфид в соли диметилдитиокарбаминовой кислоты.
Нелетуч, поэтому при работе с ним можно использовать противопылевые респираторы.
ТМТД выпускается в форме 80%-ного смачивающегося порошка. Препарат устойчив при хранении. В виде тонкой взвешенной пыли создает взрывоопасные смеси с воздухом.
ТМТД устойчив к воздействию факторов внешней среды и относится к стойким пестицидам, которые разлагаются в биологических средах до нетоксичных компонентов в течение 0,2-2 лет.
На растениях сохраняется 1-1,5 мес после обработки. В связи с опасностью накопления остатков препарата в урожае применять ТМТД разрешается только для обработки семян и обеззараживания посадочного материала.
Протравливание семян проводят водной суспензией или с увлажнением непосредственно перед посевом или заблаговременно (за несколько месяцев до посева). Семена бобовых культур обрабатывают при нитрогенизации не менее чем за 2 нед до посева.
Нормы расхода 80%-ного препарата для обработки 1 т семян зерновых 1,5-2 кг, сахарной свеклы - 5-6, бобовых - 3-4, льна, подсолнечника - 2-3, огурца, арбуза, дыни - 4-5, томата, капусты - 8, лука-севка и лука-чернушки - 4-5 кг.
ТМТД против головневых заболеваний, особенно пленчатых культур, менее эффективен, чем ртутьсодержащие препараты, но надежно защищает семена от возбудителей плесневений и корневых гнилей. В почве на протравленном зерне сохраняет фунгицидную активность до 30 дней.
Применяют ТМТД в борьбе с фузариозом пшеницы, плесневением семян кукурузы, полиспорозом льна, аскохитозом гороха, корнеедом сахарной свеклы и др.
ТМТД эффективен против болезней маточников корнеплодов и клубней картофеля. Обработку семенников моркови проводят перед укладкой на зимнее хранение и перед высадкой в грунт, норма расхода 6-8 кг/т.
Опудривание препаратом корнеплодов перед закладкой на хранение снижает отходы за период хранения в 1,5-2 раза, повторная обработка весной перед посадкой уменьшает выпады растений на поле в 1,5-4 раза.
Обработка клубней картофеля перед посадкой в норме 2,1- 2,5 кг/т (70 л 3-3,5%-ной суспензии ТМТД на 1 т) уменьшает поврежденность паршой, ризоктониозом, фитофторозом. Для борьбы с болезнями капусты ТМТД применяют для обработки рассады в парниках и рассадниках в количестве 1-1,5 г/м2. В повышенных нормах препарат обладает репеллентными свойствами для мышей.
ТМТД среднетоксичен для теплокровных животных и человека (СД50 для крыс 400 мг/кг). Обладает выраженным кумулятивным действием, при нанесении на кожу вызывает дерматиты, при попадании в глаза - конъюнктивит, повышает чувствительность к алкоголю, в больших дозах оказывает мутагенное и канцерогенное действие.
Остатки ТМТД во всех пищевых продуктах не допускаются, ПДК в воздухе рабочей зоны 0,5 мг/м3.
Пиримор (пиримикарб)
Действующее вещество (2-диметиламино-5,6-диметилпиримидин-4-ил)-диметилкарбамат:
Химически чистое соединение-бесцветное кристаллическое вещество без запаха, слабо растворимое в воде и хорошо - в органических растворителях. В водной среде и на обработанных поверхностях быстро разрушается.
Препарат нефитотоксичен, не повреждает цветков, плодов, листьев.
















