180049 (685679), страница 22
Текст из файла (страница 22)
Суть последнего заключается в том, что в качестве понятий, которыми оперирует макроэкономика, выступают агрегаты, которые представляют собой научные абстракции, образуемые путем объединения по тому или иному признаку в единое целое множества экономических явлений или процессов. Такого рода агрегатами являются не только обобщающие показатели экономической конъюнктуры (национальный доход, уровень цен, процентная ставка и т.п.) но и отдельные сектора национальной экономики, выступающие качестве основных макроэкономических субъектов. Основным критерием выделения макроэкономических субъектов является та специфическая роль, которую каждый из них играет в организации экономической деятельности.
К числу данных субъектов относятся:
сектор домашних хозяйств, включающий все семьи страны и направляющий свою деятельность на удовлетворение потребностей;
предпринимательский сектор, который объединяет всю совокупность фирм, зарегистрированных внутри страны и организующих свою деятельность с целью извлечения прибыли;
государственный сектор, представляющий собой все государственные институты и учреждения. Этот сектор организует производство общественных благ, осуществляет социальные выплаты, перераспределяет национальный доход страны между отдельными секторами экономики, обеспечивает предложение денежных средств в национальной экономике и проводит тот или иной комплекс мер по регулированию внешнеэкономических связей страны. В отличие от других макроэкономических субъектов государство при осуществлении своей экономической деятельности руководствуется не собственными, а общенациональными интересами;
иностранный сектор, под которым понимается совокупность всех экономических субъектов, имеющих постоянное местонахождение за пределами страны. Взаимодействие иностранного сектора с экономическими субъектами национальной экономики осуществляется на основе внешнеэкономических связей через взаимный обмен товарами, услугами, национальной валютой и капиталом.
Основная часть взаимосвязей экономических субъектов формируется в процессе их взаимодействия на рынках. В макроэкономике рассматриваются следующие агрегатные рынки:
рынок благ, объединяющий множество рынков, на которых реализуется весь объем произведенных в стране конечных товаров и услуг;
рынок ценных бумаг (капитала), который на макроуровне представлен рынком краткосрочных государственных облигаций;
рынок денег, характеризующий весь объем сделок, связанных с обменом национальной валюты на ценные бумаги;
рынок труда, на котором продается и покупается труд как таковой (без выделения его отдельных видов);
рынок реального капитала (машин, оборудования и пр.);
международный валютный рынок, на котором происходит обмен национальных валют.
Взаимодействие экономических субъектов в макроэкономике анализируется с помощью моделей, которые представляют собой абстрактное отображение изучаемых с их помощью реальных явлений и процессов в экономике. Необходимость применения моделей определяется тем, что они позволяют отвлечься от несущественных деталей и выявить принципиальные экономические связи.
В моделях используются два вида переменных: экзогенные (задаваемая вне модели исходная информация) и эндогенные, являющиеся результатом решения модели. Цель применения моделей состоит в выяснении .того, как экзогенные переменные влияют на эндогенные. В зависимости от конкретных задач исследования применяются разные типы моделей. Типизация моделей может быть проведена на основе различных критериев:
по способу представления изучаемого процесса или явления модели разделяются на графические и экономико-математические;
по продолжительности анализируемых процессов — на краткосрочные и долгосрочные;
по степени охвата внешнеэкономических связей — на закрытые (не учитывающие воздействия иностранного сектора на национальную экономику) и открытые, построенные с целью учета этого воздействия;
по характеру отражения фактора времени — на статические, не учитывающие времени, необходимого для наступления тех или иных событий, и динамические, характеризующие взаимосвязи изменений экономических показателей во времени.
Вся система рынков, выделяемых в макроэкономике, получает отражение только в открытых долгосрочных моделях. В закрытых краткосрочных моделях учитываются лишь первые четыре из указанных рынков. Связи, устанавливаемые на международном валютном рынке, рассматриваются только в открытых моделях экономики. Рынок реального капитала как составная часть рынка факторов производства в той или иной степени учитывается лишь в долгосрочных моделях (экономического роста или экономического цикла). Такого рода абстрагирование объясняется специфической направленностью каждого типа моделей на исследование определенного круга экономических проблем.
Построение макроэкономических моделей базируется на учете четырех основных видов функциональных взаимосвязей в экономике:
поведенческих, отражающих типичные предпочтения экономических субъектов. Примером такого рода зависимостей может служить инвестиционная функция (/ = b x i), которая характеризует связь между процентной ставкой как фактором, определяющим инвестиционные решения предпринимателей, и объемом инвестиций;
технологических, выражающих те связи между экономическими показателями, которые определяются утвердившимися в обществе методами организации производства, уровнем использования достижений НТП и т.д. К такого рода зависимостям относятся, в частности, производственные функции, отражающие связь между затратами на производство и его результатами;
дефиниционных, характеризующих содержание рассматриваемых понятий, даваемое им по определению. Сюда относятся все зависимости между показателями национальных счетов, а также функции, уточняющие количественную определенность или структуру рассматриваемых явлений. Например, определение нормы безработицы как доли безработных в составе самодеятельного населения может быть в количественном плане уточнено функцией и = F/L (где и — норма безработицы, a F и L — соответственно безработные и самодеятельное население);
институциональных, с помощью которых учитываются связи между рассматриваемыми показателями и параметрами, формируемые теми или иными государственными институтами. К их числу относятся зависимость объема собираемых налогов от величины установленной государством налоговой ставки (ty): T = ty x У, зависимость максимального объема денег, который может быть создан коммерческими банками (М), от определяемой центральным банком нормы обязательных резервов (r): М = 1/r x Н и ряд других.
Основополагающий для макроэкономики принцип агрегирования распространяется не только на основных субъектов экономики, систему национальных и международных рынков, все экономические показатели и функциональные зависимости, но и на характер поведения экономических субъектов. Последнее означает, что поведение, которое типично для одного рационального субъекта (фирмы или домашнего хозяйства), распространяется на всех представителей соответствующего сектора экономики.
Многие из макроэкономических проблем касаются решений, не просто имеющих место в какой-либо период, но включающих время как фактор принятия решений. Например, решая вопрос о величине сбережений в данном году, каждая семья фактически делает межвременный выбор между потреблением в настоящем и потреблением в будущем. Решения фирм о масштабах инвестирования в данном году также касаются вопроса о размещении ограниченных ресурсов во времени, т.е. относятся к проблеме динамического выбора. В тот период, когда экономические субъекты принимают динамические решения, их представления о будущем являются неопределенными. Поэтому при оценке поведения экономических субъектов определяющее значение имеет учет их ожиданий.
Концепция ожиданий в макроэкономическую теорию была введена в начале 30-х годов шведским экономистом Г. Мюрдалем. Он выделил два типа ожиданий: ожидания ex post, т.е. оценки производителей и потребителей, сформировавшиеся после завершения рассматриваемого процесса, и ожидания ex ante — планы и намерения экономических агентов, формируемые в процессе принятия решений. В макроэкономике основное внимание уделяется гипотезам относительно формирования экономическими субъектами ожиданий ex ante. Ожидания ex post учитываются главным образом тогда, когда речь идет об эмпирической проверке теоретических концепций или о расчете на основе системы национального счетоводства •обобщающих показателей, характеризующих фактические результаты развития национальной экономики.
Развитие научных представлений об ожиданиях ex ante привело к разработке трех основных концепций, рассматривающих принципы формирования ожиданий и описывающих эти принципы в соответствующих экономико-математических моделях. Они получили название концепций экстраполяционных (статических), адаптивных и рациональных ожиданий.
Первая концепция базируется на гипотезе о том, что экономические субъекты при формировании своих ожиданий ex ante учитывают тенденции, которые сложились в прошлом, и распространяют их на будущее. Таким образом, предполагается, что люди действуют так, как будто ожидают, что следующий год будет точно таким же, как и год нынешний. В формализованном виде это простое интуитивное правило формирования ожиданий относительно будущего значения какого-либо экономического показателя X(среднего уровня цен, процентной ставки, располагаемого дохода и т.д.) может быть представлено следующим равенством:
Хе+1=Х0,
где Хе+1 — ожидаемое значение показателя Х в следующем периоде; Х0 — фактическое значение показателя Х в текущем периоде.
Концепция адаптивных ожиданий предполагает, что экономические субъекты не приравнивают ожиданий ex ante к ожиданиям ex post, а формируют их с учетом прошлых ошибок. Иными словами, действуя интуитивно, они подвергают ревизии свои будущие планы в зависимости от того, в какой степени оказались ложными их ожидания относительно настоящего. Модель формирования адаптивных ожиданий будущего значения показателя Сможет быть представлена в виде:
Хе+1= Хе +g×(Х0 - Хе)
где Xе — ожидаемое значение показателя X в текущем периоде, сформированное в предыдущем периоде; (Хо - Xе) — ошибка прогноза, сделанного в предыдущем периоде; g — доля от величины ошибки прогноза прошлого периода, учитываемая при корректировке вновь формируемых ожиданий (0 < g < 1)-Выполнив несложные преобразования, уравнение можно представить в виде:
Хе+1= (1-g)× Хе +g×Х0
Это уравнение показывает, что, согласно концепции адаптивных ожиданий, прогноз для каждого следующего года является средневзвешенной величиной прогноза прошлого года и фактического значения Х для данного года. Отсюда также следует, что при отсутствии ошибок предыдущего прогноза ожидания не изменяются во времени Хе+1= Хе. Такая же ситуация складывается, если экономические субъекты не учитывают прошлых ошибок, т.е. g = 0. В том случае, когда они корректируют свои представления о будущих значениях экономических показателей на всю величину прошлых ошибок (g = 1), ожидания являются статическими: Хе+1= Х0.
По мнению сторонников концепции рациональных ожиданий, получившей развитие начиная с 70-х годов XX в., рассмотренные выше модели слишком упрощенно представляют процесс формирования экономическими субъектами будущих оценок. Они считают, что люди используют более изощренные способы, особенно в тех случаях, когда речь идет о распределении значительных денежных средств (например, при принятии инвестиционных решений). Рационально действующие экономические субъекты не только учитывают ошибки прошлого опыта, но и заглядывают в будущее. Принимая решения, они опираются на собственные представления о модели управления экономикой и привлекают всю доступную информацию об ожидаемых событиях, которые могут повлиять на экономическую конъюнктуру. Это позволяет им при отсутствии неожиданных потрясений достаточно точно предвидеть будущие изменения и не совершать систематических ошибок. Хотя такие ошибки вполне возможны, они являются скорее исключением, чем правилом.
Рассматриваемая гипотеза сама по себе не определяет, какими конкретно должны быть ожидания экономических субъектов. Конкретизация моделей формирования ожиданий предполагает необходимость учета системы связей прогнозируемого показателя с определяющими его переменными. Поэтому для разных показателей могут использоваться разные модели.
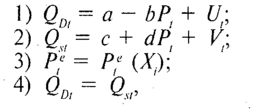
В частности, простейшая модель прогноза общего уровня цен в соответствии с концепцией рациональных ожиданий описывается системой, состоящей из следующих четырех уравнений:
где Ut, Vt — стохастические переменные, отражающие случайные ошибки в прогнозировании объемов спроса и предложения; а, Ь, с, d — константы, характеризующие форму связи между объемами совокупного спроса или предложения и уровнем цен; Xi- все параметры, учитываемые предпринимателями при формировании цен; е — индекс, показывающий, что имеются в виду ожидаемые параметры, первое из этих уравнений означает, что текущий спрос определяется его текущей ценой, второе — что решения об объеме предложения производителями принимаются на основе ожидаемой цены.
















