177925 (685625), страница 10
Текст из файла (страница 10)
Оценка расходов будущих периодов осуществляется исходя из принципа фактической себестоимости. К расходам будущих периодов принадлежат расходы, понесенные организацией в рассматриваемом при оценке периоде, но относящиеся к следующим периодам времени, по мере наступления которых расходы будущих периодов включаются в себестоимость либо относятся на собственные источники финансирования организации.
-
Оценка дебиторской задолженности и краткосрочных финансовых вложений
Для оценки дебиторской задолженности требуются ее анализ по срокам погашения, выявление просроченной задолженности с последующим разделением ее на:
-
безнадежную (она не войдет в экономический баланс);
-
ту, которую предприятие еще надеется получить (она войдет в экономический баланс).
При анализе дебиторской задолженности оценщик должен проверить, не являются ли сомнительными векселя, выпущенные другими предприятиями. Несписанная дебиторская задолженность оценивается метолом дисконтирования будущих основных сумм и выплат процентов к их текущей стоимости.
Оценка краткосрочных финансовых вложений производится в сумме фактически понесенных инвестором затрат. При оценке краткосрочных вложений в государственные ценные бумаги (облигации) следует иметь в виду, что разница между суммой фактических затрат на приобретение и номинальной стоимостью в течение срока их обращения равномерно (ежемесячно) относится на финансовые результаты организации.
Облигация - это эмиссионная ценная бумага, закрепляющая право ее держателя на получение от эмитента облигации в предусмотренный ею срок ее номинальной стоимости и зафиксированного в ней процента от этой стоимости или иного имущественного эквивалента. Оценщик, как правило, работает со следующими основными видами облигаций:
-
с купоном с постоянным уровнем выплат;
-
с плавающим купоном;
-
с бессрочными облигациями.
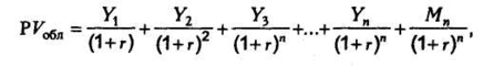
Оценка облигации с купоном с постоянным уровнем выплат. Когда купонные платежи процентов фиксированы, оценщик имеет дело с простым процентным обязательством, постоянные процентные платежи он может рассматривать как аннуитет. Текущая стоимость облигации в этом случае состоит из двух частей:
1. Текущей дисконтированной стоимости полученных до даты погашения процентных платежей.
2. Текущей дисконтированной стоимости выплаты номинала при
наступлении срока погашения облигации.
Формула по стоимости сырья, материалов и полуфабрикатов имеет следующий вид:
(7.2)
где PVобл - текущая стоимость облигаций, руб.;
Y - годовые процентные выплаты, определяющиеся номинальным процентным доходом (купонной ставкой);
r - требуемая норма доходности, %;
М - номинальная стоимость облигации (сумма, выплачиваемая при погашении облигации), руб.;
n - число лет до момента погашения.
Оценка облигации с плавающим купоном. Если купонные платежи не фиксированы, то оценщик имеет дело с облигацией с плавающей купонной ставкой. В этом случае поступления процентных платежей нельзя рассматривать как аннуитет. Поскольку каждый процентный платеж отличен от других, то он должен рассматриваться как самостоятельный единовременный платеж. Формула расчета:
где PVобл - текущая стоимость облигации, руб.;
Y1 , Y2 ,Y3 ,Yn - ежегодные процентные выплаты, меняющиеся из года руб.;
R - требуемая норма, %.
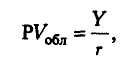
Оценка бессрочных облигаций (облигации с периодической выплатой процентов, но без обязательного погашения).
Текущая стоимость бессрочной облигации определяется по формуле:
(7.4)
где PVобл - текущая стоимость облигации, руб.;
Y - купонный доход, руб.;
r - требуемая норма, %.
Акции и паи, не оплаченные полностью, оцениваются как финансовые вложения в полной покупной стоимости (с одновременным отражением непогашенной суммы в качестве кредиторской задолженности), только в том случае, когда инвестор имеет право на получение дивидендов и несет полную ответственность по этим вложениям. В остальных случаях частично оплаченные акции и паи оцениваются не как финансовые вложения, а как дебиторская задолженность инвестора до момента их полной оплаты.
ТЕМА 8. ОСОБЕННОСТИ ОЦЕНКИ ОБЪЕКТОВ ПРОМЫШЛЕННОЙ И ИНТЕЛЛЕКТУАЛЬНОЙ СОБСТВЕННОСТИ
-
Понятия нематериальных активов и их содержание
Представление о сути нематериальных активов (НМА) удобнее всего формировать путем анализа термина ОИС - объекты интеллектуальной собственности.
Под ОИС понимается совокупность исключительных прав как личного, так и имущественного характера на результаты интеллектуальной деятельности, в первую очередь творческой, а также иные приравненные к ним объекты. Отличие же ОИС от НМА заключается в том, что НМА - это стоимость долгосрочных имущественных прав на ОИС, идентифицированных в виде конкретных объектов бухгалтерского учета и обеспечивающих его владельцам определенный доход или иную пользу. При этом стоимость НМА может быть выражена как разница между стоимостью действующего предприятия и стоимостью его материальных активов.
К нематериальным активам относятся активы:
-
либо не имеющие материально-вещественной формы, либо материально-вещественная форма, которых не имеет существенного значения для их использования в хозяйственной деятельности;
-
способные приносить доход;
-
приобретенные с намерением использовать в течение длительного периода (свыше одного года).
Нематериальные активы можно подразделить на четыре основные группы:
1.Интеллектуальная собственность (ИС).
-
Имущественные права.
-
Отложенные, или отсроченные, расходы.
-
Цена фирмы (гудвилл).
1. Интеллектуальная собственность. В рамках ИС выделяются:
• права на объекты промышленной собственности (изобретения, полезные модели, права на секреты производства (ноу-хау, товарные знаки и знаки обслуживания, фирменные наименования, наименования мест происхождения товаров и меры по пресечению недобросовестной конкуренции). Изобретения и полезные модели рассматриваются как техническое решение задачи. Под промышленным образцом понимается соответствующее установленным требованиям художественно-конструкторское решение изделия, определяющее его внешний вид. Товарные знаки, знаки обслуживания, фирменные наименования, наименования мест происхождения товаров - обозначения или названия, служащие для отличия товаров или услуг другого производителя, для отличия товаров, обладающих особыми свойствами.
-
права на секреты производства (ноу-хау);
-
права на объекты авторского права и смежных прав: на все виды научных, литературных, художественных произведений, программные продукты для ЭВМ и базы данных, топологии интегральных микросхем.
Классификация объектов интеллектуальной собственности показана на рис. 8.1.
Рис. 8.1
2. Имущественные права (права пользования земельными участками, природными ресурсами, водными объектами)-вторая группа нематериальных активов. Подтверждением таких прав служит лицензия.
-
Отложенные, или отсроченные, расходы - издержки, представленные в виде организационных расходов (гонорары юристам за составление целительных документов, услуги за регистрацию фирмы и т.д.), но все эти расходы осуществляются в момент создания предприятия.
-
Цена фирмы (гудвилл). Под ценой фирмы понимается стоимость ее деловой репутации. В процессе оценки целесообразно использовать понятие гудвилл как величину, на которую стоимость бизнеса превосходит рыночную стоимость его материальных активов и той части нематериальных активов, что отражена в бухгалтерской отчетности (учтена в балансе). Для понятия «гудвилл» характерны следующие признаки:
-
гудвилл присутствует только при наличии избыточной прибыли;
-
гудвилл не может быть отделен от действующего предприятия, т. е. не может быть продан отдельно от него.
Гудвилл как экономическая величина принимается на баланс только в момент смены владельца предприятия.
-
Порядок проведения оценки нематериальных активов
Работа по оценке НМА производится в следующей последовательности.
1. Осуществляется обследование ОИС. На этом этапе выявляются технические описания, чертежи, схемы, образцы изделий и продукции.
2. Проводится правовая экспертиза имущественных прав на ОИС. На этом этапе выявляются: неимущественные права (право на авторство и имя, право на экземпляр произведения) и имущественные права, связанные с коммерческим использованием ОИС.
На этапе экспертизы имущественных прав в обязательном порядке выявляются исключительные права, передаваемые лицензиату без сохранения за лицензиаром права на выдачу лицензий другим лицам, и неисключительные права, передаваемые лицензиату с сохранением за лицензиаром права на использование и права выдачи лицензий другим лицам.
На этапе правовой экспертизы необходимо удостовериться в наличии документов (патентов, охранных свидетельств, лицензионных договоров и т.п.), подтверждающих правомерное владение имущественными правами. Перечень таких документов должен быть представлен лицу, проводящему правовую экспертизу. Если на предприятии осуществлялись безвозмездные передачи ОИС, то эти факты должны быть обоснованы соответствующими актами приема-передачи ОИС.
3. Осуществляется оценка нематериальных активов
При проведении оценки НМА используются следующие подходы: затратный, сравнительный анализ продаж и доходный.
3.1 Затратный подход
При затратном подходе стоимость НМА определяется путем расчета затрат на воспроизводство оцениваемых ОИС в текущих ценах за вычетом износа (амортизации).
Затратный подход заключается в том, что само предприятие создает ОИС и затем вводит эти объекты в хозяйственный оборот. В этом случае следует проследить весь цикл формирования ОИС на предприятии, который, как правило, включает следующие технологические операции:
-
проведение патентных исследований;
-
создание ОИС;
-
патентование ОИС;
-
поддержание ОИС в силе в течение всего срока действия патента;
-
менеджмент ОИС.
С учетом значительной продолжительности указанных работ, достигающей как правило 10-15 лет, затраты на выполнение тех или иных операций корректируются на величину индекса цен на дату оценки. Работы, связанные с проведением патентных исследований, патентованием и проведением менеджмента НМА, рассчитываются как затраты на заработную плату патентоведам и экспертам с учетом соответствующих выплат в социальные фонды.
При определении стоимости работ, связанных с созданием ОИС, учитываются затраты на проведение опытно-экспериментальных работ, изготовление и испытание моделей и образцов, кроме того учитываются затраты на организацию выставок, смотров конкурсов и других мероприятий по изобретательству и рационализации, выплата авторских вознаграждений.
После этого рассчитывается величина амортизации стоимости ОИС. Стоимость имущественных прав на ОИС по затратному методу определяется как разница между скорректированной величиной затрат и начисленной амортизацией.
3.2 Сравнительный анализ продаж
Сравнительный анализ продаж основан на изучении условий продаж аналогичных ОИС, реализуемых на интеллектуальном и товарных рынках. При этом принимаются во внимание факты купли-продажи с независимыми решениями инвесторов и разработчиков ОИС о размерах сделок в денежном выражении.
Сделки по аналогичным ОИС, как правило, относящимся к аналогичным научно-техническим направлениям, сравниваются с оцениваемыми ОИС. По результатам сравнительного анализа продаж выявляются экономические преимущества и недостатки оцениваемых ОИС. Если установлено, что экономические преимущества или недостатки в значительной степени разнятся с оцениваемыми ОИС, то вводятся соответствующие поправки, которые учитывают качественные или количественные различия между оцениваемыми активами и их аналогами.
3.3 Доходный метод
Доходный метод заключается в определении размера прибыли (чистого дохода) от использования тех или иных ОИС в хозяйственной деятельности предприятия, производстве наукоемкой продукции и реализации ее на товарном рынке. При этом могут применяться методы дисконтирования доходов или прямой капитализации прибыли. Определение стоимости НМА, например, этими методами осуществляется только после выхода наукоемкой продукции на товарный рынок и достижения достаточно стабильных объемов продаж.
Доходный метод может быть реализован так же с помощью следующих приемов (методов), использование которых зависит от принципов создания товара с применением ОИС.
3 4 Основные подходы и методы оценки нематериальных активов
Метод «Выигрыш в себестоимости»















