148251 (685557), страница 8
Текст из файла (страница 8)
На внутренних транспортных операциях, а также на судовых операциях при обработке ролкеров используют различные универсальные и специальные автотранспортные средства: автомашины бортовые с двухосными и одноосными прицепами и полуприцепами, автотягачи с трейлерами, специальные портовые тягачи с контейнерными тележками и полуприцепами, колесные тракторы с двухосными прицепами и трейлерами. К технологической характеристике этих машин относят тяговое усилие, габаритные размеры, массу и нагрузку на оси, минимальный радиус поворота, размеры грузовой платформы и оснащенность ее средствами крепления груза, тип сцепного устройства, способность машины двигаться на рабочих скоростях передним и задним ходом, скорость передвижения и других рабочих движений.
Некоторые колесные тракторы с ковшами и отвалами различного типа успешно используют на судовых работах с навалочными и насыпными грузами (для подачи груза в подпалубное пространство или обратно). Их характеристику составляет тип, назначение, масса машины и нагрузка на оси, габаритные размеры, минимальный радиус поворота, скорости движений, вместимость и тип ковша.
Гусеничные тракторы, как правило, применяют с прямым или обратным отвалом в качестве бульдозеров на складских и судовых работах с навалочными и некоторыми насыпными грузами. Их технологическая характеристика: тяговое усилие, габаритные размеры и масса.
В составе специальных портовых перегрузочных комплексов для навалочных и насыпных грузов используют различные специальные подъемно-транспортные машины: причальные погрузочные и разгрузочные машины, конвейеры, штабелеобразователи, штабелеразборщики, элеваторы, вагоноопрокидыватели и др. Их технологические возможности характеризуются типом, назначением, производительностью, расстоянием транспортирования, размерами зоны обслуживания, технологическими особенностями работы и габаритными размерами. Эти машины имеют весьма высокую производительность, в несколько раз или даже в несколько десятков раз превышающую производительность портальных кранов.
На судовых и вагонных операциях с навалочными и насыпными грузами применяют целый ряд специальных машин: МВС используют для выгрузки из крытых вагонов хлористого калия и других химических грузов насыпью, ПТС — для подачи навалочных грузов в подпалубное пространство универсальных сухогрузных судов, ПСГ — для обратной операции при выгрузке насыпных и навалочных грузов из подпалубного пространства на просвет люка и др. Эти машины характеризуются типом, назначением, производительностью, массой и габаритными размерами, расстоянием перемещения груза и некоторыми специфическими параметрами.
Широко распространен в портах пневмотранспорт. Его применяют для перегрузки насыпных грузов, в первую очередь зерновых. Машины пневматического транспорта подразделены на береговые стационарные и передвижные, плавучие и мобильные. Береговые имеют, как правило, электропривод от сети, плавучие — электропривод от дизель-генераторов, мобильные снабжены дизельным приводом либо электроприводом от сети. Береговые машины предназначены для работы в составе специальных перегрузочных комплексов, мобильные — для производства работ на универсальных комплексах, как правило, по прямому варианту из судов в вагоны или из судов в суда. Основным назначением плавучих пневмоперегружателей является перемещение груза из крупнотоннажных морских судов в лихтеры, баржи и другие речные суда малого тоннажа. Технологическую характеристику этих машин составляют, кроме типа, назначения и рода привода, еще производительность, расстояние перемещения груза, габаритные размеры, масса (для мобильных машин), степень автоматизации и продолжительность операций по сборке, настройке и демонтажу трасс трубопроводов. Береговые и плавучие машины имеют обычно в своем составе от двух до четырех технологических линий, высокую технологическую производительность каждой линии (100 т/ч и более) и высокую степень механизации и автоматизации основных технологических и подготовительно-заключительных операций. Мобильные машины при достаточно большой технической производительности (60—80 т/ч) имеют весьма низкую технологическую производительность (от 10 до 25 т/ч), являющуюся следствием наличия большого числа весьма трудоемких и длительных ручных операций по сборке, налаживанию и демонтажу трасс трубопроводов, при которых весьма сложно или вообще невозможно на практике выдержать требования к качеству трассы, выполнение которых необходимо для эффективной работы машины
Глава 3
ТЕХНОЛОГИЧЕСКАЯ ОСНАСТКА ДЛЯ ПЕРЕГРУЗОЧНЫХ РАБОТ.
15. КЛАССИФИКАЦИЯ И ТРЕБОВАНИЯ
К ТЕХНОЛОГИЧЕСКОЙ ОСНАСТКЕ
Технологическую оснастку разделяют на грузозахватные устройства к перегрузочным машинам, ручной инструмент и вспомогательные технологические приспособления.
Грузозахватные устройства составляют основную часть технологической оснастки. К грузозахватным устройствам относят навешиваемые на подъемно-транспортные машины приспособления и механизмы, с помощью которых осуществляется захват (застропка), удержание в процессе перемещения и освобождение (отстропка) груза. По сложности и связанным с этим особенностям технической эксплуатации их подразделяют на грузозахватные приспособления и грузозахватные механизмы. К ГЗП относят простые по конструкции устройства, при использовании которых захват и освобождение груза осуществляются с участием стропальщика либо автоматически, но без электро- или гидропривода с зубчатыми и другими передачами (стропы, крюки и др.). ГЗМ — это относительно сложные по конструкции устройства, при использовании которых захват и освобождение груза производятся автоматически или с управлением из кабины машины. ГЗМ имеют электрический, гидравлический или другой привод и передачу (грейферы, грузоподъемные электромагниты и др.).
Грузозахватные устройства делят на крановые ГЗУ и ГЗУ к погрузчикам. Крановые, в большинстве своем, имеют гибкую систему подвеса к перегрузочной машине. ГЗУ к погрузчикам, как правило, жестко крепятся к каретке грузоподъемника. В практике широко распространены крановые ГЗУ с ручной застропкой и отстропкой, автоматические и полуавтоматические, а также управляемые из кабины крановщика. ГЗУ к погрузчикам, как правило, не требуют ручной застропки и отстропки. Они действуют автоматически либо управляются водителем с его рабочего места.
Грузозахватные устройства, которые различают не только по сложности конструкции, степени автоматизации операций по застропке и отстропке, приспособленности к применению на машинах того или иного типа и способа крепления к машине, классифицируют еще по назначению, принципу действия, роду привода, способу управления и ряду других признаков. Одним из таких признаков является количество одновременно навешиваемых и используемых захватов. Каждое грузозахватное устройство состоит из подвески (у ГЗУ к погрузчикам — снование) и захватов (одного или нескольких). Захватом называется основная часть ГЗУ, выполняющая функцию по зацепке, удержанию и освобождению груза. Подвеской (основанием у ГЗУ к погрузчикам) называется часть ГЗУ, предназначенная для присоединения одного или нескольких захватов к крюку крана (каретке грузоподъемника). ГЗУ, в состав которых входит один захват, называются одинарными, а ГЗУ, включающие несколько захватов, — групповыми.
Рабочая часть захвата, вступающая в непосредственный контакт с грузом, называется захватным органом. Тип захватного органа также является одним из признаков классификации ГЗУ.
К конструкции технологической оснастки предъявляется целый ряд требований. Так ГЗУ должны осуществлять следующее: быстро, легко и надежно захватывать и освобождать груз либо создавать условия для удобной застропки и отстропки; надежно удерживать груз в процессе перемещения; не повреждать груз; создавать условия для обеспечения высокой производительности и оптимальной механизации и автоматизации технологических операций и их элементов; обеспечивать безопасные условия труда рабочих; наилучшим образом использовать грузоподъемность машины. Кроме того, должны быть легкими, небольшими по размерам, простыми по конструкции и в управлении; иметь достаточную работоспособность (т. е. безотказно срабатывать) и долговечность; по возможности легко сменяться и обладать рациональной универсальностью (для различных грузов).
Ручной инструмент — молотки, кувалды, ломики, укрутки, ключи гаечные, лапки для мешков, крюки для кип, ножницы для троса и проволоки и другое — используют на грузовых и связанных с ними вспомогательных работах. Ручной инструмент должен быть легким, удобным и безопасным в обращении; не повреждать груз; отвечать эстетическим требованиям и обладать рациональной долговечностью.
Вспомогательные технологические приспособления — это канифас-блоки и струбцины к ним, багры, оттяжки и шкентели, круги поворотные для пакетов, столы-рампы, грузовые столы, мостики для въезда погрузчиков в вагоны и контейнеры и т. д. К конструкции вспомогательных технологических приспособлений предъявляются следующие требования: надежность, работоспособность, долговечность, простота конструкции, минимальная масса и габаритные размеры, удобство и безопасность в обращении, обеспечение сохранности груза.
В современных портах наиболее многочисленным представителем технологической оснастки являются крановые грузозахватные приспособления.
Кроме технологической оснастки на грузовых районах используют хозяйственный инвентарь (спецодежду, огнетушители, метелки, лопаты, контейнеры для мусора и т. д.), приспособления безопасности (каски, монтажные пояса, лестницы для подъема на штабели груза, полувагоны и автомашины; знаки безопасности и др.), а также крепежные и сепарационные приспособления и материалы (талрепы, тросовые зажимы, проволоку, тросе, доски, брусья, клинья и т. д.).
-
-
СЪЕМНЫЕ КРАНОВЫЕ ГРУЗОЗАХВАТНЫЕ ПРИСПОСОБЛЕНИЯ.
Крановые грузозахватные приспособления называют съемными, так как их навешивают на крюк крана, легко снимают и эксплуатируют без закрепления за конкретным краном.
Рис. 9. Классификация крановых грузозахватных приспособлений
Классификация крановых ГЗП приведена на рис. 9. Простейшими из них являются стропы из стальных, растительных и синтетических канатов и лент, а также цепей.
Стропы применяют одноветьевые и многоветьевые (рис. 10), концевые и кольцевые. Изготовление огонов концевых стропов и соединение концов каната при изготовлении кольцевых стропов можно производить заплеткой или другими способами.
Стропы для подъема груза подбирают по грузоподъемности и размерам. При симметричной застропке соответствие по грузоподъемности в общем случае можно определить по формуле:
(Rp \ G) n cos > К, (19)
Где: Rp -разрывное усилие каната в целом, Н;
G - вес груза, Н;
n - число ветвей стропов при данном способе застропки;
-угол наклона ветви стропа к вертикали:
К - коэффициент запаса прочности.
При расчете стропов общего назначения, имеющих несколько ветвей, принимают = 45, для стропов целевого назначения, предназначенных для подъема определенного груза, берут фактический угол. Коэффициент (К) принимают равным 5 для цепей, 6 для стальных и 8 для растительных канатов. Конструкция многоветвевых стропов и способ захвата ими груза должны обеспечивать равномерное натяжение всех ветвей.
Рис.10. Типы стропов и способы изготовления их огонов.
а — концевой одинарный строп; б — кольцевой строп; в — групповой концевой строп с крюками; з — два ленточных концевых стропа, д — огон стального стропа, изготовленный заплеткой с оклетневкой; е — огон стального стропа, изготовленный методом опрессовки втулкой из легких сплавов; ж — конец стального стропа с грушей; з — огон ленточного синтетического стропа, изготовленный сшивкой
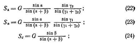
При несимметричной застропке стропы могут быть разными по прочности. Каждый строп подбирают по формуле:
Rp \ S > К, (20)
Где: S - натяжение в соответствующей ветви, Н.
Натяжение в соответствующей ветви определяется из выражений для стропа:
двухветвевого:
трехветвевого
Четырехветвевого
Приведенные выражения для четырехветвевого стропа справедливы при выполнении условий о равномерной нагруженности ветвей попарно между собой, т.е. Sa = Sв и Sc = Sд. Это требует строгого соблюдения геометрических размеров, что на практике весьма трудно достижимо, или использования для образования каждой из пар ветвей одного стропа, перегибающегося на крюке крана.
Несмотря на простоту конструкции, относительно небольшую массу и доступность в изготовлении, стропы имеют и целый ряд недостатков: необходимость в ручной застропке и отстропке, которая во многих случаях представляет собой весьма трудоемкую и длительную операцию: необходимость свободного пространства под грузом, образованного подкладками или прокладками, с целью заведения стропов под груз и выведения их из-под груза, что вызывает значительный расход лесоматериалов и дополнительные ручные операции по укладке и уборке сепарации (если грузовые места не имеют штатных, прикрепленных к ним подкладок); малый срок службы, особенно при перегрузке грузов с острыми кромками.
Рис.11 Схема несимметричной застропки.
Рис. 12. Застропка автомобиля УАЗ-469 фиксирующимися зацепами
















