166515 (685459), страница 8
Текст из файла (страница 8)
Измерения проводили по трехэлектродной схеме: рабочий электрод – стеклоуглеродный стержень ( 0,7 мм), вспомогательный электрод – стеклоуглеродный тигель (V = 25 см3) и электрод сравнения – хлорсеребряный электрод в насыщенном растворе KCl (х.с.э.).
В работе используют растворы:
фоновый раствор – 0,1М NaCl c pH 3;
исходные растворы металлов:
1) Cu, Cd и Zn по 10-1 г/л;
2) 10-1 г/л Pb при рН 3.
Электрохимическое накопление определяемых металлов на катоде проводили за счет электровосстановления при потенциале -1,1В (относ. х.с.э.). Съемку анодных вольтамперных кривых проводили в интервале потенциалов -1,1 - +0,1 В при скорости развертки потенциала 2 – 5 мВ/с.
Перед проведением измерений в течение 15 мин, а также при проведении накопления металла через раствор пропускали инертный газ (очищенный и осушенный аргон) или облучали УФ-излучением для удаления из раствора растворенного кислорода. Во время съемки вольтамперограмм инертный газ пропускали над раствором.
3.1 Порядок работы
В ячейку заливали 30 мл фонового раствора с неизвестной концентрацией катионов Cu, Cd, Zn и Pb. Пропускали через раствор в течение 15 мин инертный газ (или облучали УФ-светом), проводили накопление металлов в течение установленного времени и снимали анодную вольтамперную кривую.
Рассчитывали, какие добавки растворов определяемых металлов с концентрацией 10-1 г/л нужно внести в ячейку для изменения концентрации рабочего раствора на определенную величину. Вводили рассчитанные добавки, 10 мин пропускают через раствор инертный газ и снимали еще 3 вольтамперограммы при том же времени накопления.
Для каждого пика определяли средние значения высоты пика, полученные в исходном растворе и в растворе после введения добавки. Концентрации катионов в исходном растворе находили с помощью соотношения
Ip1/Ip2 = cx /(cx+c),
где
Ip1 - высота пика в исходном растворе;
Ip2 - высота пика после введения в раствор добавки;
cx - концентрация катиона данного металла в исходном растворе;
c - изменение концентрации соответствующего катиона в растворе в результате введения добавки.
Вводили в ячейку вторично такие же добавки катионов металлов, пропускали инертный газ и проводили аналогичные измерения. С помощью соотношения Ip1/Ip3 = cx/(cx+2c) (где Ip3 - высота пика после введения в раствор второй добавки) также определяют исходную концентрацию в растворе ионов исследуемых металлов.
Рассчитывали средние значения концентрации ионов Cu, Cd, Pb и Zn в исходном растворе, полученные в результате расчетов после введения первой и второй добавок.
Схему процесса можно представить таким образом.
3.2 Электрохимические параметры выполнения измерений на СУ-электроде
Таблица 3.1
Параметры выполнения измерений
| Наименование параметра | Единицы измерения | Величина параметра |
| Потенциал очистки электрода | мВ | -200 |
| Продолжительность очистки | с | 60 |
| Потенциал накопления | мВ | 800 |
| Продолжительность накопления* | с | 180 |
| Мешалка | вкл. | |
| Продолжительность успокоения раствора | с | 10 |
| Скорость развертки потенциала | мВ/c | 150 |
| Начало развертки потенциала | мВ | 800 |
| Конец развертки потенциала | мВ | -200 |
| Шкала измерения катодного тока | мкА | 20мкА/2 мкА |
| Электродная схема ячейки | – | трехэлектродная |
| Вид полярографии | – | постояннотоковая |
*При низкой интенсивности сигнала (менее 0,25 мкА) допускается увеличение времени накопления со 180 до 900 с включительно
3.3 Выполнение измерений на углеродном электроде
3.3.1 Регистрация вольтамперограммы фонового раствора
Фоновый раствор переносили в стеклянный стакан электрохимической ячейки и погружали в него электроды.
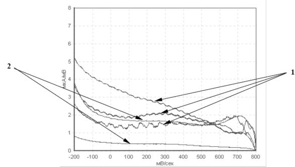
Запускали процесс измерений фона. По окончанию измерения на экране монитора выводилась вольтамперограмма фонового раствора. При соблюдении требований по квалификации реактивов и использовании чистой посуды, пипеток и электродов в фоновом растворе должны отсутствовать пики (рис. 3.1).
После того, как поверхность электрода была готова к работе, переходили к регистрации вольтамперограмм анализируемого раствора пробы.
Рис. 3.1. Вольтамперограммы фонового раствора при тестировании рабочего электрода: 1 – вольтамперограммы фонового раствора, означающие, что поверхность рабочего электрода не готова к работе, 2 - вольтамперограммы фонового раствора, полученные на рабочем электроде с подготовленной поверхностью. Можно переходить к измерениям.
Регистрацию вольтамперограмм повторяли до тех пор, пока относительная разность высот пиков в двух последних вольтамперограммах не будет превышать 5 – 8 % (обычно максимум до четырёх измерений при подготовленной поверхности электрода).
3.3.2 Регистрация вольтамперограмм анализируемого раствора пробы с добавкой стандартного раствора ионов тяжелых металлов
После выполнения регистрации вольтамперограммы анализируемого раствора пробы в стакан с анализируемым раствором вносили пипеткой добавку стандартного раствора ионов тяжелых металлов. Объем добавки (VД), который не должен превышать 2,0 см3, подбирали таким образом, чтобы после её внесения высота пика на вольтамперограмме увеличивалась в 1,5 – 2,0 раза. Регистрацию вольтамперограмм повторяли до тех пор, пока относительная разность высот пиков в двух последних вольтамперограммах не превышала 5 – 8 %.
На рис. 3.2. – 3.4 приведены вольтамперограммы анодного растворения тяжелых металлов.
0 0,2 0,4 0,6 0,8 1,0 Е, В
1 мкА
Рис. 3.2. Анодная инверсионная вольтамперограмма образца речной воды, содержащей 5 мкг/л Сu2+, 0,5 мкг/л Cd2+, 15 мкг/л Pb2+и Zn2+ после электролитического концентрирования в течение 5 мин при 1,2 В. Рабочий электрод – СУ. Электрод сравнения – хлорсеребряный.
Рис. 3.3. Анодная инверсионная вольтамперограмма образца речной воды. 1 – фон, 2 – проба, 3 – проба с добавками градуировочных растворов. Время электролитического концентрирования – 5 мин при 1,2 В. Рабочий электрод – СУ. Электрод сравнения – хлорсеребряный.
Рис. 3.4. Анодная инверсионная вольтамперограмма образца речной воды, содержащей 5 мкг/л Сu2+ после электролитического концентрирования в течение 5 мин при 1,2 В. 1 – фон, 2 – проба, 3 – проба с добавками градуировочного раствора (1 мл). Рабочий электрод – СУ. Электрод сравнения – хлорсеребряный.
3.4 Обсуждение результатов
По результатам анализа с использованием метода добавок был построен калибровочный график, по которому были определены концентрации тяжелых металлов.
0,0846 0 0,1 С, мг/л
Рис. 3.5. Калибровочный график (ионы меди)
Подобные расчеты были проведены и для других ионов (Pb, Zn) для различных проб.
В таблицах 3.2 и 3.3 приведены результаты анализа растворов сточных вод и водопроводной воды.
Таблица 3.1
Содержание тяжелых металлов в сточной воде
| № пробы сточных вод | Cср10-2 мг/л | S10-3 | Cср10-2 мг/л | = (CсрCср)10-2 |
| №1 | ||||
| Zn Pb Cu | 5,88 2,07 8,46 | 2,12 2,83 4,51 | 0,67 0,25 1,78 | 5,88 0,67 2,07 0,25 8,46 1,78 |
| №2 | ||||
| Zn Pb Cu | 2,12 23,60 12,40 | 7,94 7,07 9,19 | 0,01 2,50 2,40 | 2,12 0,01 23,60 2,50 12,40 2,40 |
| №3 | ||||
| Zn Cd Pb Cu | 1,41 0,11 5,06 14,91 | 0,35 0,08 0,71 1,41 | 0,66 0,03 0,89 5,00 | 1,410,66 0,110,03 5,060,8914,9 5,00 |
Таблица 3.2
Содержание тяжелых металлов в водопроводной воде
| Тяжелые металлы | Cср10-2 мг/л | S10-3 | Cср10-2 мг/л | = (Cср Cср)10-2 |
| №1 | ||||
| Zn Cd Pb Cu | 1,32 0,25 0,96 6,81 | 3,18 0,18 0,14 0,75 | 0,41 0,02 0,07 0,33 | 1,320,41 0,250,02 0,960,07 6,810,33 |
| №2 | ||||
| Zn Cd Pb Cu | 1,53 5,4710-2 5,71 10,30 | 0,21 0,04 1,15 7,29 | 0,06 0,1110-2 0,01 2,40 | 1,530,06 (5,470,11)10-2 5,710,01 10,302,40 |
| № 3 | ||||
| Zn Cd Pb Cu | 1,44 4,3510-2 0,96 11,50 | 1,04 0,06 0,03 10,41 | 0,13 0,8010-2 0,04 1,04 | 1,440,13 (4,350,80)10-2 0,960,04 11,501,04 |
Следует отметить, что содержание тяжелых металлов в водопроводной воде в целом не превышает ПДК для воды.
















