166446 (685454), страница 3
Текст из файла (страница 3)
При взаимодействии диалкилфосфитов с циклогексанолом, бензиловым спиртом, 2-октанолом и этиленгликолем получалась сложная смесь, из которой не удалось выделить индивидуальные вещества. Позднее было установлено, что образование продуктов переэтерификации ускоряется в присутствии щелочных катализаторов и увеличении молярного соотношения спирт:фосфит. При соотношении фосфит:спирт, равном 1:3, в присутствии алкоголята натрия симметричные диалкилфосфиты были получены с выходом 70—90%.
Полная переэтерификация диалкилфосфитов алифатическими спиртами гладко протекает в ксилоле (с выходами до 85%) и в отсутствие катализаторов. Этим способом получены ди-(2-этилгексил)-фосфит и ди-β-хлорэтилфосфит; последний в присутствии ортофосфорной кислоты без растворителя образуется с выходом только 43%.
Так, при молярном соотношении реагентов 1:1 в присутствии ортофосфорной кислоты, алкоголята натрия, или в отсутствие катализатора образуются смешанные диалкилфосфиты с выходом 24—45% [5].
Несимметричные фосфиты можно применять для получения разнообразных несимметричных эфиров фосфорной и фосфиновых кислот отдельные представители которых обладают физиологической активностью.
Большой интерес представляет переэтерификация диалкилфосфитов гликолями. В результате переэтерификации диалкилфосфитов гликолями, главным образом этиленгликолем (в сходных условиях), получаются полимерные продукты.
Например, при переэтерификации диэтилфосфита диэтиленгликолем, тетраэтиленгликолем, гексаэтиленгликолем, пропиленгликолем-1,2; бутиленгликолем-1,3; бутиленгликолем-1,4; 2-бутиндиолом-1,4 и диэтаноламином образуются полиэфиры, состоящие из 2—3 остатков исходных веществ [5].
Высокомолекулярные полифосфиты легко образуются при реакции диэтилфосфита и других простейших диалкилфосфитов с гликолями, обладающими пространственно-разобщенными гидроксилами или неустойчивыми в конформациях со сближенными гидроксилами:
Механизм реакции переэтерификации эфиров кислот трехвалентного фосфора
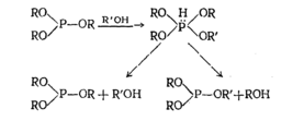
Механизм реакции переэтерификации эфиров кислот трехвалентного фосфора подробно не изучен. Предполагается, что механизм этой реакции состоит в чередующихся процессах присоединения протона к атому фосфора, алкоксил-аниона — к фосфоний-катиону и отщепления спирта от промежуточного продукта с пятивалентным фосфором с образованием исходного или другого фосфита или фосфинита:
Косвенным подтверждением образования промежуточного продукта присоединения являются данные по изучению механизма реакции Арбузова и ее различных вариантов, а также экспериментальные материалы по алкоголизу зфиров кислот трехвалентного фосфора.
Первый акт реакции является необходимым, но недостаточным для осуществления переэтерификации фосфита (фосфинита). Образовавшийся аддукт, как показано выше, может расщепляться по двум направлениям. При алкоголизе любого фосфита любым спиртом устанавливается равновесие:
Переэтерификация произойдет в том случае, если равновесие сдвинуто вправо, т. е. если отщепится от аддукта алкоксил (или остаток фенола) исходного фосфита, а не алкоксил спирта, взятого для переэтерификации. Таким образом, решающее влияние на процесс переэтерификации оказывает второй акт реакции — расщепление продукта присоединения, который, по-видимому, определяет не только направление реакции, но и ее скорость.
Решение вопроса о том, какая молекула спирта будет отщепляться от промежуточного продукта, находится в прямой зависимости от электрофильности алкокси(фенокси)-групп, входящих в его состав. Очевидно, чем электрофильнее алкоксил, тем предпочтительнее он будет отщепляться вместе с протоном в виде «более кислого» спирта. Следовательно, при получении фосфитов методом переэтерификации желательно брать исходный фосфит с алкоксигруппами более электрофильными, чем алкоксил спирта, используемый в реакции.
Равновесие реакции переэтерификации можно сдвинуть вправо и путем отгонки выделяющегося спирта. Этим приемом широко пользуются при получении разнообразных фосфитов, когда выделяющийся спирт кипит ниже исходного.
Другой возможный механизм [5] заключается в атаке атома кислорода алкилкатионом (образующимся в результате гетеролитического расщепления спирта) и одновременного выделения алкилкатиона исходного эфира:
Однако это направление реакции имеет второстепенное значение, как при переэтерификации l- и d-бутанолами-2 и оптически активным пентанолом получаются фосфиты, дающие при гидролизе спирты, в первом случае — с 75% оптической активности от первоначальной, и во втором,— 100%. В том случае, если бы реакция протекала только по второму направлению, при гидролизе продуктов переэтерификации должны были бы образоваться оптически неактивные спирты.
Представляется перспективным использование в этих синтезах микроволнового излучения, значительно снижающего время протекания реакции (в десятки и сотни раз) по сравнению с традиционно используемым нагреванием.
Нормативно-техническая документация на сырьё, вспомогательные материалы и готовую продукцию
Гидрохинон
Химическая формула:
C6H4(OH)2
Квалификация «ч», ГОСТ 19627-74;
Внешний вид: кристаллы от белого до беловато-серого цвета (возможен желтоватый оттенок). При продолжительном воздействии света кристаллы гидрохинона темнеют и теряют блеск.
Фасовка: мешки по 0,5 или 25 кг.
Метакриловый эфир этиленгликоля (МЭГ) C6H10O3
Величина ПДК рабочей зоны 20 мг/м3 (согласно ГОСТ 12.1.005-88), класс опасности IV.
Плотность (20 °C) 1.069 - 1.072 г/см3, массовая доля основного вещества 97%.
Поставляется наливом (ж/д цистерны, автоцистерны, кубы 1000 л, бочки 200л, 100 л).
Нормативно-технических документов (ГОСТ, ТУ) на диметиловый эфир β-циано-этилфосфоновой кислоты, а также конечный продукт нет, поскольку эти вещества не производятся промышленно.
Физико-химические и теплофизические свойства исходных, промежуточных, побочных, целевых продуктов и отходов производства
Гидрохинон
При нормальных условиях представляет собой кристаллы от белого до беловато-серого цвета. При продолжительном воздействии света кристаллы гидрохинона темнеют и теряют блеск.
Хорошо растворим в воде, спирте, МЭГ, эфире.
Температура плавления равна 172 °С;
Температура кипения составляет 285 °С;
Метакриловый эфир этиленгликоля (МЭГ) C6H10O3
Бесцветная прозрачная жидкость.
Величина pH 4.0 (500 г/л, H2O, 20 °C);
Температура плавления -12°C;
Температура воспламенения 101 °C;
Температура кипения: 250 °C (760 мм.рт.ст.); 95°C (9 мм.рт.ст.);
Плотность (20 °C) 1,069 – 1,072 г/см3;
Содержание основного вещества 97%;
Хорошо растворим в воде, спирте.
Диметиловый эфир β-цианоэтилфосфоновой кислоты [26]:
Бесцветная жидкость.
Температура кипения составляет 127-129 °С при давлении 4 гПа;
Плотность (20 °С) составляет 1,1970 г/см3;
Продукт переэтерификации (ди(2-метакрилоил β-оксиэтиловый) эфир 2-цианоэтилфосфоновой кислоты)
Представляет собой бесцветную, прозрачную, подвижную жидкость склонную к самопроизвольной полимеризации. Для ее предотвращения необходима стабилизация продукта гидрохиноном (около 1% масс.).
Метанол (карбинол) СH3ОН:
Бесцветная легкоподвижная жидкость с характерным запахом этилового спирта.
Молекулярная масса 32,04;
Плотность 0,7923;
Температура плавления -97,8 °С;
Температура кипения 64,7 °С;
Неограниченно растворим в воде, этиловом спирте и эфире.
Физико-химические основы технологических процессов
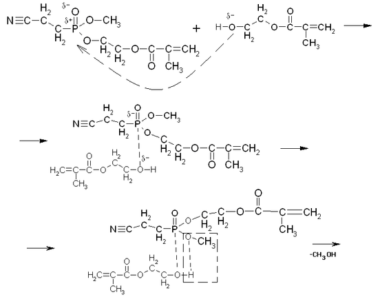
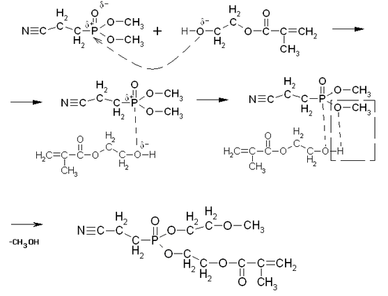
Основная реакция, протекающая в данном технологическом процессе – переэтерификация. Ее механизм представлен ниже:
Кислородный атом имеет свойство оттягивать на себя электронную плотность с соседних менее электроотрицательных атомов. В связи с этим, на атоме кислорода образуется частичный отрицательный заряд δ-, а на атоме фосфора – положительный δ+.
Атом кислорода гидроксильной группы в молекуле МЭГ также имеет частичный отрицательный заряд δ-, и под действием сил электростатического притяжения приближается к атому фосфора, имеющему противоположный заряд.
Таким образом, образуется новая связь между атомом фосфора и кислородом МЭГ. Причем эта связь более сильная, чем имеющаяся в эфире связь Р-О, которая ослабляется, и в конечном итоге разрывается, при этом образуется продукт неполной переэтерификации и молекула метанола.
Далее со второй молекулой МЭГ механизм аналогичен:
Таким образом, в результате переэтерификации может образоваться и побочный продукт неполной переэтерификации.
Кроме того, в системе также могут протекать и другие побочные реакции, например, полимеризация МЭГ, полимеризация продукта переэтерификации и т.д.:
Таким образом, в реакционной смеси может присутствовать, как продукт полной переэтерификации, так и продукт неполной, а также полимеры и олигомеры 2-гидроксиэтилметакрилата, и продукта переэтерификации.
Определенный согласно закону Гесса, тепловой эффект реакции составляет -10986,9 Дж/моль, реакция протекает с поглощением тепла.
Кинетические закономерности переэтерификации рассмотрены. Более подробно в литературе рассматриваются реакции переэтерификации в присутствии катализаторов (третичные и четвертичные амины, а также большое число различных солей металлов). Катализаторами переэтерификации является множество веществ самого разного характера, что позволяет отнести описываемый процесс к реакциям кислотно-основного типа катализа, в котором имеет место промежуточное кислотно-основное взаимодействие реагирующих веществ с катализатором, т. е. переход протона от катализатора к одному из реагирующих веществ или, наоборот, от реагирующего вещества к катализатору. При последующих стадиях протон перемещается обратно, и катализатор восстанавливает свой состав. Случай катализа недиссоциированными молекулами является частным случаем кислотно-основного катализа.
На рис. 2 приведены кинетические кривые хода переэтерификации при разных температурах для смешанного катализатора, состоящего из ацетата цинка и окиси свинца [27]. Практически реакция переэтерификации, о ходе которой, чаще всего, судят по выделению метилового спирта, не начинается ниже 150 °С. Только при 175 °С и выше достигается достаточно высокая степень конверсии.
Реакция переэтерификации с различными катализаторами может заканчиваться на разном кажущемся равновесии. Последнее объясняется потерей активности катализатором в ходе процесса. Для соединений с различными катионами потеря активности не одинакова.
















