166446 (685454), страница 2
Текст из файла (страница 2)
Предлагаемый продукт может найти свое применение в качестве антипиреновой добавки в различные полимерные материалы, например, его можно добавлять при полимеризации дивинила, винилхлорида, и др.
Образующийся как побочный продукт, метанол, используется для синтеза диметилфосфита (ДМФ), из которого, взаимодействием его с акрилонитрилом (в присутствии алкоголята натрия, при охлаждении), получают требующийся диметиловый эфир β-цианоэтилфосфоновой кислоты:
Таким образом, получаем практически безотходное производство, в котором конечный продукт – метанол идет на производство исходного реагента.
Все исходные реагенты – МЭГ, акрилонитрил, треххлористый фосфор, гидрохинон – производятся в промышленных масштабах, поэтому их использование не представляет никаких затруднений.
В предлагаемом продукте переэтерификации содержание фосфора составляет 8,62%, что снижает его необходимое количество при добавлении в полимеры, для снижения их горючести, по сравнению с аналогом.
Отсутствие атомов галогенов в составе продукта также является бесспорно положительным, поскольку при нагревании модифицированных этим соединением полимеров не выделяется вредных веществ.
Таким образом, рекомендуемое производство является перспективным для получения малотоксичных полимерных материалов пониженной горючести.
Методы получения фосфорсодержащих (мет)акрилатов (литературный обзор)
Применение фосфорсодержащих (мет)акрилатов
Многие основные способы ингибирования горения полимеров основаны, как правило, на применении хлор- бромсодержащих антипиренов, а также на модификации полимеров хлор- или бромсодержащими соединениями. Но «в то же время, сейчас уже однозначно установлено, что эти элементы, попадая в атмосферу, способствуют разрушению озонового слоя Земли. Поэтому одной из главных задач современного полимерного материаловедения является разработка безгалоидных способов снижения горючести» [1]. Однако никакими добавками нельзя полностью предотвратить горение полимеров. Но можно существенно уменьшить скорости горения и распространения пламени и получить самозатухающий материал.
Анализ литературных источников [2], [4] по снижению горючести полимерных материалов позволил сделать вывод о том, что, как и в ряде других случаев, введение фосфора в структуру акрилатных мономеров (фосакрилаты) может быть успешно использовано для решения этой проблемы.
Эффективное действие соединений фосфора в качестве замедлителей горения обеспечивают следующие факторы [3]:
1) специфическое влияние фосфорных соединений на процессы, протекающие в конденсированной фазе при горении полимера: химические превращения полимеров осуществляются в направлении увеличения выхода нелетучего карбонизованного остатка и уменьшения летучих продуктов пиролиза;
2) образование поверхностного стеклообразного или вязкого расплавленного слоя полифосфорных кислот, который служит физическим барьером для переноса тепла от пламени к полимеру и диффузии реагентов;
3) ингибирование газофазных пламенных реакций;
4) влияние на гетерогенное окисление карбонизованного остатка, образующегося при пиролизе полимеров.
Как показали исследования процессов термической и термоокислительной деструкции полимерных материалов в присутствии замедлителей горения, наибольший огнезащитный эффект дают вещества, замедляющие массо-теплопередачу за счет разложения с эндотермическим эффектом в узком температурном интервале, совпадающем с началом интенсивного разложения модифицируемого полимера. По информации [3] «фосфорсодержащие соединения, включающие С—Р и Р—N связи, обеспечивают более высокую термостабильность полимера, причем наличие фосфорамидной группы может способствовать проявлению фосфор-азотного синергизма — усиливать процесс дегидратации и карбонизации полимера».
Методы синтеза фосфорсодержащих (мет)акрилатов
Ниже рассмотрены различные способы получения фосфорсодержащих мономеров и олигомеров акрилового ряда.
Общим универсальным методом синтеза фосфорорганических веществ является перегруппировка Арбузова. Этот способ используется также и для получения непредельных фосфорсодержащих соединений [2].
Триалкил(арил)фосфиты вступают в реакцию Арбузова и с галогеналкиловыми эфирами акриловых кислот. Фосфорорганические эфиры акриловой кислоты, содержащие амидные группировки, получают реакцией эфира α-бромакриловой кислоты с диамидофосфитами.
Помимо использования для синтеза фосакрилатов по реакции Арбузова триалкил(арил)фосфитов с галогенакрилатом, применяются реакции фосфитов с N-оксиметил-, N-алкоксиметил-, N-ацетоксиметиламидами α, β-непредельных кислот. Скорость процесса при прочих равных условиях лимитируется нуклеофильностью заместителя и зависит также от строения исходного фосфита, температуры и соотношения реагирующих веществ. Достаточно большие выходы целевых продуктов можно получить только при температурах около 100 °С и значительном избытке исходного метакрилата. Но, в таких условиях возможна и нежелательная полимеризация мономеров и образование побочных продуктов.
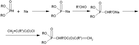
Фосфорорганические акрилаты получены также реакцией солей щелочных металлов кислот фосфора с галогенсодержащими производными α ,β-ненасыщенных карбоновых кислот.
Так диалкиловые эфиры (мет)акрилоилалкилфосфоновых кислот получают по схеме [2]:
Диалкилфосфонакрилаты таким способом получают при температурах 20-40 °С за 1-2 часа. При взаимодействии диметилфосфита натрия с менее реакционноспособным β-хлорэтиловым эфиром метакриловой кислоты (реакция Михаэлиса-Беккера) целевой продукт β - метакрилоксиэтилдиметилфосфонат образуется с низким выходом.
Для синтеза фосакрилатов могут быть использованы реакции калиевых и натриевых солей кислот акрилового ряда с галогенпроизводными фосфора. Этим методом получены смешанные ангидриды α-замещенных акриловых кислот и кислот фосфора. Ангидриды кислот пятивалентного фосфора термически неустойчивы, и при перегонке в вакууме происходит их диспропорционирование с образованием ангидридов непредельных кислот и соответствующих производных пирофосфорной и пирофосфоновой кислот. В отличие от них диэтилметакрилоилфосфиты более стабильны, в процессе перегонки не претерпевают диспропорционирования и получаются с удовлетворительными выходами.
Нитрилы кетокарбоновых кислот с хлоридами фосфора в присутствии третичных аминов образуют фосфорилированные производные акрилонитрилов.
Диалкил-1-акрилоилокси-, диалкил-1-метакрилоилокси-2-алкенил-1-фосфо- наты синтезированы присоединением диалкилфосфита к α-, β-ненасыщенным альдегидам по карбонильной группе с последующей обработкой образующихся α-оксиспиртов хлорангидридами акриловой и метакриловой кислот. В реакцию с хлорангидридами акриловой и метакриловой кислот вступают и оксиалкилфосфиновые кислоты, а также производные циклических фосфиновых кислот фосфоленового ряда.
Для получения фосфорсодержащих олигоэфирметакрилатов применяется метод конденсационной теломеризации: введение в реакцию поликонденсации наряду с ди- и полифункциональными соединениями, монофункциональных производных кислот акрилового ряда. Например, поликонденсацией дихлорангидрида фенилфосфоновой кислоты с гидрохиноном (или диэтиленгликолем) и хлорангидридом метакриловой кислоты могут быть получены фосфорорганические олигоэфирметакрилаты. Реакция проводится при температуре от 30 до 140 °С с постоянной отдувкой выделяющегося хлористого водорода [2]. Полученные таким способом олигомеры отличаются повышенной кислотностью, что, скорее всего, связано с частичным разрушением эфирных связей, выделяющимся в процессе реакции хлористым водородом.
Реакции этерификации и переэтерефикации, используемые для синтеза сложных эфиров, применяют также и для получения фосфорсодержаших метакрилатов.
Хлорметилированные олигомеры также получают совместной поликонденсацией триарил-, три(алкиларил)-, трихлоралкиларилфосфатов с хлорметилированными производными дифенилоксида, обрабатывая реакционную массу пятикратным избытком смеси ненасыщенной кислоты и амина при температуре 70-100 °С в инертном растворителе. Продукты хорошо растворимы во многих органических растворителях, а также в стироле и бензилметакрилате, что позволяет использовать их для получения сополимеров [2].
Переэтерификацией триалкил- или тригалогеналкилфосфитов монометакриловыми и акриловыми эфирами этиленгликоля синтезированы диалкиловые и ди-β-галогеналкиловые эфиры акрилоил(метакрилоил)оксиэтилфосфористой кислоты. Переэтерификация осуществляется при температурах 70-140 °С и пониженном давлении (15-55 мм.рт.ст.).
Переэтерификация средних фосфитов
Эфиры кислот трехвалентного фосфора легко вступают в реакцию переэтерификации, причем, в зависимости от условий ее проведения, строения исходных реагентов и, что особенно важно, их соотношения, она протекает с участием всех эфирных групп или только части их [12], [13]. В первом случае образуются симметричные эфиры, во втором — смешанные:
(RO)3P + 3 R'OH
(R'O)3P
(RO)3P + 2 R'OH
(R'O)2POR
(RO3)P + R'OH
(RO)2POR'
Наиболее подробно реакция изучена на примере алкоголиза триэтилфосфита.
Так, например, [5] при молярном соотношении триэтилфосфит : спирт, близком к 1:3—1:4, в присутствии ортофосфорной кислоты могут быть получены с выходами 30—50% тригексил-, триоктил-, тринонил-, трицетил- и трициклогексилфосфиты. Достаточно небольшой выход продуктов полной переэтерификации объясняется тем, что при указанном соотношении реагентов образуются в значительных количествах смешанные фосфиты. Даже при соотношении фосфит:спирт более чем 1:5, в продуктах реакции обнаруживаются несимметричные фосфиты. Если соотношение фосфит:спирт достигает 2:1, то реакция может быть остановлена на первой стадии, т. е. на образовании главным образом продуктов монозамещения [5].
Образующиеся при этом смешанные фосфиты, (RO)2POR', могут вступать в реакцию с другим спиртом, образуя фосфиты, содержащие три различных алкоксигруппы:
(RO)2POR' + HOR"
(RO) (R'O) (R"O)P
Производные низших спиртов неустойчивы и легко диспропорционируют при перегонке. Смешанные эфиры с остатками высших спиртов более стойки к диспропорционированию: бутилдигексилфосфит при перегонке практически не изменяется.
Большое влияние на характер переэтерификации оказывает строение исходного спирта. В то время как алкоголиз триалкилфосфитов первичными и вторичными спиртами протекает нормально, при взаимодействии триэтилфосфита с трет-амиловым спиртом были выделены диэтилфосфит и амилен:
Триалкилфосфиты переэтерифицируются не только одноатомными, но и многоатомными спиртами. Однако данные по этому вопросу малочисленны и недостаточно обоснованы.
При взаимодействии триалкилфосфитов с триметилолалканами образуются продукты полной переэтерификации — бициклические фосфиты, синтез которых другими способами затруднителен:
Фосфиты не переэтерифицируются меркаптанами; при взаимодействии этих реагентов получаются углеводороды и тиофосфаты:
Реакция катализируется свободными радикалами и, скорее всего, протекает по радикальному механизму:
При использовании гликолей с пространственно удаленными гидроксилами (n>5) отмечено образование полимерных продуктов, которые, однако, не были охарактеризованы.
Переэтерификация кислых фосфитов
Диалкил- и диарилфосфиты, аналогично средним фосфитам, переэтерифицируются одноатомными спиртами, гликолями и многоатомными фенолами. Реакция протекает ступенчато (полная и частичная) и может быть оборвана на стадии образования несимметричных фосфитов.
Полную переэтерификацию диалкилфосфитов использовали впервые Арбузов и Виноградова для синтеза высших диалкилфосфитов [5]. При молярном соотношении фосфит:спирт, равном 1:2, в присутствии ортофосфорной кислоты они получили симметричные диалкилфосфиты в смеси со значительными количествами несимметричных фосфитов — продуктов частичного алкоголиза.
















