3280 (684906)
Текст из файла
Зміст
Вступ
Розділ 1
1.1 Статистична сукупність
1.2 Однорідність статистичної сукупності
1.3 Мета досліджень однорідності статистичної сукупності комерційних банків
Розділ 2
2.1 Оцінка однорідності статистичної сукупності комерційних банків за допомогою показників їх діяльності
2.2 Значення оцінки однорідності статистичної сукупності комерційних банків для статистичних досліджень
Висновки
Використана література
Додатки
Вступ
Оцінка ефективності і ділової активності підприємств і організацій і стану соціальної інфраструктури суспільства залежить від якості статистичного аналізу емпіричного матеріалу, а також від того, наскільки точно будуть і науково обгрунтовані закономірності і тенденції розвитку. Важливим етапом проведення статистичного дослідження на інформаційній базі, яка характеризує реальні соціально-економічні явища, є критична оцінка початкових даних з погляду їх достовірності і наукової обгрунтованості.
Під критичною оцінкою статистичного матеріалу слід розуміти повноту, якість і достовірність його відповідності цілям і завданням дослідження.
Надійність виводів і висновків по аналізу статистичних даних забезпечується мінімізацією в початковій інформації пропусків, неточностей, незіставності, невизначеності і так далі
Достовірність статистичних досліджень багато в чому визначається однорідністю досліджуваної сукупності.
Сукупність називається однорідною, якщо один або декілька істотних ознак її об'єктів, що вивчаються, є загальними для всіх одиниць.
Сукупність, в яку входять явища різного типу, вважається різнорідною. Сукупність може бути однорідна в одному відношенні і різнорідна в іншому. У кожному окремому випадку однорідність сукупності встановлюється шляхом проведення якісного аналізу, з'ясування змісту суспільного явища, що вивчається.
Розділ 1
1.1 Статистична сукупність
Статистика вивчає свій предмет за допомогою певних категорій, тобто понять, що відображають найбільш загальні і істотні властивості, ознаки, зв'язки і відносини предметів і явищ об'єктивного світу. У статистиці таких основних понять - п'ять:
1. Статистична сукупність – це множина одиниць явища, що вивчається, які об’єднані єдиною якісною основою, загальним зв'язком, але відрізняються один від одного окремими ознаками.
Це може бути сукупність жителів якого-небудь міста, сукупність студентів інституту, і так далі Статистична сукупність є об'єктом статистичного вивчення. Запропоноване визначення статистичної сукупності дозволяє виділити основні її властивості:
-
Нерозкладність - часткове виникнення або часткове зникнення елементів статистичної сукупності не руйнує її якісної основи, всі її якісні характеристики зберігаються. Студенти інституту як статистична сукупність не змінить своєї якісної характеристики незалежно тому, що частину студентів (випускники) щорічно покидають інститут, і частина (першокурсники) вливається в їх склад.
-
Статистична сукупність завжди однорідна хоч би за однією ознакою. Всі елементи статистичної сукупності володіють хоч би однією загальною властивістю. Проте, загальне не означають однакового. Значення загальної ознаки у різних одиниць сукупності, як правило, відрізняються один від одного. Однорідність статистичної сукупності встановлюється в кожному конкретному статистичному дослідженні відповідно до його цілей і завдань.
-
Найважливішою властивістю статистичної сукупності є варіація - кількісна зміна значення статистичної ознаки при переході від однієї неї елементу до іншого.
Якщо значення ознаки у всіх елементів однаково, немає сенсу у вивченні всієї статистичної сукупності, досить розглянути лише однієї її елемент, щоб отримати знання про все явище.
Варіація виникає під впливом певного комплексу умов і причин. Статистика не займається виявленням і з'ясуванням цих причин. Цим займаються спеціальні економічні дисципліни, а статистика кількісно оцінює дію кожної причини на варіацію конкретної ознаки, що дозволяє враховувати вказану дію при ухваленні управлінських рішень різного рівня.
Всі статистичні сукупності можна розділити на наступні групи:
-
створені самим життям і створюючі єдність незалежно від того піддаються вони статистичному дослідженню чи ні (статистичні сукупності працівників підприємства, статистичні сукупності промислових підприємств міста і так далі). Це реально існуючі статистичні сукупності, вони мають певний конкретний розмір.
-
утворені спеціально для цілей статистичного дослідження (сукупність покупців певного товару в маркетингових дослідженнях)
-
стохастичні сукупності ( гіпотетичні множини) - уявні, нереальні, передбачувані сукупності ( сукупність небесних тіл в галактиці; сукупність нескінченно великого числа кидань монети, падаючої "орлом" або "решкою").
2. Статистична одиниця - нерозкладний первинний незалежний елемент статистичної сукупності, що є носієм певної статистичної ознаки. Вона є межею дроблення статистичної сукупності, при якому зберігаються всі властивості явища, що вивчається, або процесу, її окремим випадком.
Вибір статистичної одиниці визначається метою і рівнем статистичного дослідження, що проводиться . Наприклад, можна вивчати продуктивність праці на рівні галузі, підприємства, цеху, ділянки, бригади. В кожному випадку статистичні одиниці будуть різними: підприємство галузі, працівник даного підприємства, робочий даного цеху, бригади.
3. Статистична ознака - характерна властивість, певна якість статистичної сукупності. Наприклад, статистичними ознаками підприємств можуть бути: форма власності, чисельність тих, що працюють, величина статутного капіталу, вартість активів і т. д. Значення ознаки окремої одиниці статистичної сукупності називається варіантой. Статистичні ознаки можна класифікувати по безлічі підстав
По характеру вирази розрізняють атрибутивні і кількісні ознаки:
-
атрибутивні (описові) - виражаються словесно, наприклад, пів, національність, освіта і ін. По ним можна отримати підсумкові відомості про кількість статистичних одиниць, що володіють даним значенням ознаки;
-
кількісні - виражаються числовою мірою (вік, стаж роботи, об'єм продажів, розмір доходу і так далі) По ним можна отримати підсумкові дані про кількість одиниць, що володіють конкретним значенням ознаки, і сумарне або середнє значення ознаки по сукупності.
По характеру варіації ознаки діляться на:
-
альтернативні які можуть приймати тільки одне з двох можливих значень ознаки. Це ознаки володіння або не володіння чим-небудь. Наприклад, пів, сімейний стан, в маркетингових або політологічних дослідженнях - відповідь на питання у формі "та чи ні";
-
дискретні - кількісні ознаки окремі значення, що приймають тільки, без проміжних між ними - як правило цілочисельні, наприклад, розряд робочого, число дітей в сім'ї і т.д.);
-
безперервні - кількісні ознаки, що набувають будь-яких значень. На практиці вони, як правило, округляються відповідно до прийнятої точності.
По відношенню до часу розрізняють:
-
моментниє ознаки, що характеризують одиниці сукупності на критичний момент часу, наприклад, вартість основних виробничих фондів ( ОПФ) визначається на 01.01. і 31.12. відповідного року як вартість ОПФ на початок і кінець звітного року;
-
інтервальні ознаки, що характеризують явище за певний часовий період ((рік, квартал, місяць і так далі), наприклад, змінне вироблення, денна виручка, річний об'єм продажів і так далі
По характеру взаємозв'язку ознаки діляться на:
-
факторні, такі, що викликають зміни інших ознак, або створюючі можливості для змін значень інших ознак. Факторні ознаки підрозділяються відповідно на ознаки причини і ознаки умови;
-
результативні (ознаки слідства), залежні від варіації інших ознак. Наприклад, вартісною обсяг випуску продукції є результативною ознакою, величина якої залежить від факторних ознак - чисельності працівників і продуктивності праці.
1.2 Однорідність статистичної сукупності
Варіацію можна визначити як кількісна відмінність значень однієї і тієї ж ознаки у окремих одиниць сукупності. Термін "варіація" має латинське походження - variatio, що означає відмінність, зміну, коливається. Вивчення варіації в статистичній практиці дозволяє встановити залежність між зміною, яка відбувається в досліджуваній ознаці, і тими чинниками, які викликають дану зміну.
Для вимірювання варіації ознаки використовують як абсолютні, так і відносні показники.
До абсолютних показників варіації відносять: розмах варіації, середнє лінійне відхилення, середнє квадратичне відхилення, дисперсію.
До відносних показників варіації відносять: коефіцієнт осциляції, лінійний коефіцієнт варіації, відносне лінійне відхилення і ін.
Розмах варіації R. Це найдоступніший по простоті розрахунку абсолютний показник, який визначається як різниця між найбільшим і найменшим значеннями ознаки у одиниць даної сукупності:
Розмах варіації (розмах коливань) - важливий показник тієї, що коливається ознаки, але він дає можливість побачити тільки крайні відхилення, що обмежує сферу його застосування. Для точнішої характеристики варіації ознаки на основі обліку тієї, що його коливається використовуються інші показники.
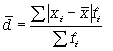
Середнє лінійне відхилення d, яке обчислюють для того, щоб врахувати відмінності всіх одиниць досліджуваної сукупності. Ця величина визначається як середня арифметична з абсолютних значень відхилень від середньої. Оскільки сума відхилень значень ознаки від середньої величини дорівнює нулю, то всі відхилення беруться по модулю.
Формула середнього лінійного відхилення (проста)
Формула середнього лінійного відхилення (зважена)
При використанні показника середнього лінійного відхилення виникають певні незручності, пов'язані з тим, що доводиться мати справу не тільки з позитивними, але і з негативними величинами, що спонукало шукати інші способи оцінки варіації, щоб мати справу тільки з позитивними величинами. У такий спосіб стало піднесення всіх відхилень до другого ступеня. Узагальнювальні показники, знайдені з використанням других ступенів відхилень, набули дуже широкого поширення. До таких показників відносяться середнє квадратичне відхилення і середнє квадратичне відхилення в квадраті, яке називають дисперсією.
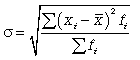
Середня квадратична проста
Середня квадратична зважена
Дисперсія є не що інше, як середній квадрат відхилень індивідуальних значень ознаки від його середньої величини.
Формули дисперсії зваженої і простої :
Розрахунок дисперсії можна спростити. Для цього використовується спосіб відліку від умовного нуля (спосіб моментів), якщо мають місце рівні інтервали у варіаційному ряду.
Окрім показників варіації, виражених в абсолютних величинах, в статистичному дослідженні використовуються показники варіації (V), виражені у відносних величинах, особливо для цілей порівняння тієї, що коливається різних ознак однієї і тієї ж сукупності або для порівняння тієї, що коливається однієї і тієї ж ознаки в декількох совокупностях.
Дані показники розраховуються як відношення розмаху варіації до середньої величини ознаки (коефіцієнт осциляції), відношення середнього лінійного відхилення до середньої величини ознаки (лінійний коефіцієнт варіації), відношення середнього квадратичного відхилення до середньої величини ознаки (коефіцієнт варіації) і, як правило, виражаються у відсотках.
Формули розрахунку відносних показників варіації:
Аналіз однорідності статистичної сукупності доцільно проводити в наступній послідовності:
Визначення ступеня однорідності всієї сукупності поодинці або декільком істотним ознакам;
Визначення і аналіз аномальних спостережень;
Вибір оптимального варіанту виділення однорідних совокупностей.
У статистичній теорії і практиці розроблені різні підходи до оцінки ступеня однорідності. Цією проблемою займалися відомі учені - Ю. Аболенцев, Р. Кильдішев, В. Овсиенко і ін.
Способів і критерії виділення однорідних груп об'єктів в межах початкової сукупності багато.
Важливою передумовою отримання науково-обгрунтованих результатів статистичного аналізу є перевірка і виконання гіпотези про близькість розподілу емпіричних даних нормальному закону. Для нормального закону розподілу характерно, що
Характеристики
Тип файла документ
Документы такого типа открываются такими программами, как Microsoft Office Word на компьютерах Windows, Apple Pages на компьютерах Mac, Open Office - бесплатная альтернатива на различных платформах, в том числе Linux. Наиболее простым и современным решением будут Google документы, так как открываются онлайн без скачивания прямо в браузере на любой платформе. Существуют российские качественные аналоги, например от Яндекса.
Будьте внимательны на мобильных устройствах, так как там используются упрощённый функционал даже в официальном приложении от Microsoft, поэтому для просмотра скачивайте PDF-версию. А если нужно редактировать файл, то используйте оригинальный файл.
Файлы такого типа обычно разбиты на страницы, а текст может быть форматированным (жирный, курсив, выбор шрифта, таблицы и т.п.), а также в него можно добавлять изображения. Формат идеально подходит для рефератов, докладов и РПЗ курсовых проектов, которые необходимо распечатать. Кстати перед печатью также сохраняйте файл в PDF, так как принтер может начудить со шрифтами.
















