2953 (684847), страница 18
Текст из файла (страница 18)
Таблиця А.2 Активи и зобов’язання перших 30 банківських установ України станом на 01.01.2006 року [86]
Таблиця А.3 Кредитно-інвестиційний портфель перших 30 банківських установ України станом на 01.01.2006 року [86]
Таблиця А.4 Власний капітал перших 30 банківських установ України станом на 01.01.2006 року [86]
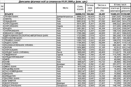
Таблиця А.5 Депозити фізичних осіб в перших 30 комерційних банках України станом на 01.01.2006 року [86]
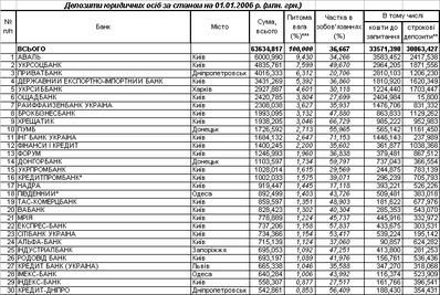
Таблиця А.6 Депозити юридичних осіб в перших 30 комерційних банках України станом на 01.01.2006 року [86]
Таблиця А.7 Фінансовий результат в перших 30 комерційних банках України станом на 01.01.2006 року (за 2005 рік) [86]
Додаток Б
Таблиця Б.1 Баланс АКБ „Приватбанк” за 2000 – 2004 роки(щорічний розріз) [85]
Таблиця Б.2 Баланс АКБ „Приватбанк” за 2003 – 2005 року(поквартальний розріз) [85]
Таблиця Б.3 Формування прибутку в АКБ „Приватбанк” у 2003 2005 роках [85]
Таблиця Б.4 Баланс АКБ «Приватбанк» за 2 квартал 2006 року [85]
| Рядок | Найменування статті | На звітну дату поточного кварталу, тис.грн. | На кінець попереднього фінансового року, тис.грн. |
| АКТИВИ | |||
| 1 | Кошти в НБУ та готiвковi кошти банку | 2 775 261 | 2 885 676 |
| 2 | Цiннi папери, що рефiнансуються НБУ | 29 278 | 50 672 |
| 2.1 | Резерви пiд знецiнення боргових ЦП, що рефiнансуються НБУ | 0 | 0 |
| 2.2 | Резерви у вiдсотках до активу | 0 | 0 |
| 3 | Кошти в iнших банках | 3 582 180 | 2 113 878 |
| 3.1 | Резерви пiд заборгованiсть iнших банкiв | (47 135) | (10 448) |
| 3.2 | Резерви у вiдсотках до активу | 1 | 0 |
| 4 | Цiннi папери в торговому портфелi банку | 871 591 | 0 |
| 5 | Цiннi папери в портфелi банку на продаж | 51 604 | 1 017 354 |
| 5.1 | Резерви пiд знецiнення ЦП у портфелi банку на продаж | (50 281) | (776) |
| 5.2 | Резерви у вiдсотках до активу | 97 | 0 |
| 6 | Кредити, що наданi: | 19 568 868 | 16 095 856 |
| 6.1 | Юридичним особам | 10 709 108 | 9 739 235 |
| 6.2 | Фiзичним особам | 8 859 760 | 6 356 621 |
| 6.3 | Резерви пiд заборгованiсть за кредитами | (2 040 004) | (1 814 614) |
| 6.4 | Резерви у вiдсотках до активу | 10 | 11 |
| 7 | Цiннi папери, що утримуються до погашення | 2 | 2 |
| 7.1 | Резерви пiд знецiнення ЦП, що утримуються до погашення | (2) | (2) |
| 7.2 | Резерви у вiдсотках до активу | 100 | 100 |
| 8 | Iнвестицiї в асоцiйованi й дочiрнi компанiї | 118 424 | 116 998 |
| 9 | Основнi засоби | 1 181 844 | 1 080 861 |
| 10 | Нематерiальнi активи | 3 213 | 2 025 |
| 11 | Нарахованi доходи до отримання | 375 181 | 292 218 |
| 11.1 | У тому числi простроченi нарахованi доходи | 51 324 | 36 349 |
| 11.2 | У тому числi сумнiвнi нарахованi доходи | 57 536 | 47 162 |
| 11.3 | Резерви пiд заборгованiсть за нарахованими доходами | (83 850) | (66 908) |
| 11.4 | Резерви у вiдсотках до активу | 77 | 80 |
| 12 | Вiдстрочений податковий актив | 48 775 | 39 357 |
| 13 | Iншi активи | 484 080 | 280 708 |
| 13.1 | Резерви пiд iншi активи | (27 795) | (24 762) |
| 13.2 | Резерви у вiдсотках до активу | 23 | 23 |
| 14 | Довгостроковi активи, призначенi для продажу | 0 | 0 |
| 14.1 | Резерви пiд зменшення корисностi iнвестицiй в АК та ДК, що утримуються з метою продажу | 0 | 0 |
| 14.2 | Резерви у вiдсотках до активу | 0 | 0 |
| 15 | Усього активiв | 26 841 234 | 22 058 095 |
| ЗОБОВ'ЯЗАННЯ | |||
| 16 | Кошти банкiв | 2 410 639 | 1 852 826 |
| 17 | Кошти юридичних осiб | 7 323 019 | 6 541 408 |
| 18 | Кошти фiзичних осiб | 12 636 501 | 10 440 316 |
| 19 | Ощаднi (депозитнi) сертифiкати, емiтованi банком | 1 460 | 3 653 |
| 20 | Борговi цiннi папери, емiтованi банком | 310 602 | 310 601 |
| 21 | Нарахованi витрати, що мають бути сплаченi | 312 871 | 223 573 |
| 22 | Вiдстроченi податковi зобов'язання | 111 611 | 120 490 |
| 23 | Iншi зобов'язання | 1 351 017 | 292 884 |
| 24 | Усього зобов'язань | 24 457 720 | 19 785 751 |
| ВЛАСНИЙ КАПIТАЛ | |||
| 25 | Статутний капiтал | 1 582 000 | 1 130 000 |
| 26 | Акцiї, що викупленi в акцiонерiв | 0 | 0 |
| 27 | Емiсiйнi рiзницi | 0 | 0 |
| 28 | Резерви,капiталiзованi дивiденди та iншi фонди банку | 308 155 | 284 000 |
| 29 | Резерви переоцiнки основних засобiв, у тому числi: | 354 122 | 354 301 |
| 29.1 | Резерви переоцiнки нерухомостi | 123 612 | 123 720 |
| 29.2 | Резерви переоцiнки нематерiальних активiв | 0 | 0 |
| 30 | Резерви переоцiнки ЦП | 0 | 0 |
| 31 | Прибуток/збиток минулих рокiв | 37 770 | 28 388 |
| 32 | Прибуток/збиток поточного року | 101 467 | 475 655 |
| 33 | Усього власного капiталу | 2 383 514 | 2 272 344 |
| 34 | Усього пасивiв | 26 841 234 | 22 058 095 |
Таблиця Б.5 Довідкова інформація «Окремі показники діяльності банку» за II квартал 2006 року [85]
| Рядок | Найменування рядка | На звітну дату | Нормативні показники | |
| 1 | Адекватність регулятивного капіталу (%) | 11,53 | не менше 10 | |
| 2 | Поточна ліквідність (%) | 72,54 | не менше 40 | |
| 3 | Рентабельність активів (%) | 0,85 | х | |
| 4 | Негативно класифіковані кредити (тис. грн) | 3 331 155 | х | |
| 4.1 | У відсотках до заборгованості за кредитними операціями (%) | 13,18 | х | |
| 5 | Чистий прибуток на одну просту акцію (грн) | х | ||
| 6 | Сума сплачених дивідендів за 2005 рік на одну: | х | ||
| 6.1 | Просту акцію | х | ||
| 6.2 | Привілейовану акцію | х | ||
| 7 | Перелік учасників (акціонерів) банку, які прямо та опосередковано володіють 10% і більше відсотками статутного капіталу банку: | Країна | Відсоток у статутному капіталі | |
| пряма участь | опосередкована участь | |||
| Боголюбов Геннадій Борисович | Україна | 38,76 | 16,36 | |
| Коломойський Ігор Валерійович | Україна | 38,76 | 16,36 | |
Додаток В
Таблиця В.1 Рейтинг банківських кредитів на придбання нових вітчизняних автомобілів / гривна (Строк кредиту 3 роки) станом на 19.06.2006 [92]
| Валюта кредиту – гривна Сума кредиту 100 000 гривен | ||||||||||
| Місце в рейтингу | Банк | Умови кредитування | Витрати по займу | Усього витрат по кредиту, грн. | Коеф. подорожчання кредиту | Початковий внесок, % | ||||
| Проц. ставка | Однораз. комісія | Щомісячна комісія | Відсотки | Однораз. комісія | Щоміс. комісія | |||||
| 1 | Аваль | 16,5% | 25 438 | 25 438 | 1,25 | 15 | ||||
| 2 | УкрСиббанк | 15,5% | 2% (від суми кредиту) | 23 896 | 2 000 | 25 896 | 1,26 | 10 | ||
| 3 | Форум | 16,5% | 0,9% (від суми кредиту) | 25 438 | 900 | 0 | 26 338 | 1,26 | 20 | |
| 4 | Фінанси та кредит | 13,00% | 0,1% (від суми кредиту) | 0,2% (від суми кредиту) | 20 042 | 100 | 7 200 | 27 342 | 1,27 | 15 |
| 5 | Укргазбанк | 17,5% | 1% (від суми кредиту) | 26 979 | 1 000 | 0 | 27 979 | 1,28 | 15 | |
| 6 | Райффайзенбанк Україна | 18,00% | 500 грн. | 27 750 | 500 | 28 250 | 1,28 | 15 | ||
| 7 | Кредитпромбанк | 17,3% | 2% (від суми кредиту) | 26 671 | 2 000 | 28 671 | 1,29 | 20 | ||
| 8 | ВАБанк | 15,00% | 0,9% (від суми кредиту) | 0,13% (від суми кредиту) | 23 125 | 900 | 4 680 | 28 705 | 1,29 | 15 |
| 9 | Укрсоцбанк | 18,00% | 1,3% (від суми кредиту) | 27 750 | 1 300 | 29 050 | 1,29 | 15 | ||
| 10 | ТАСКомерцбанк | 18,5% | 1% (від суми кредиту) | 28 521 | 1 000 | 0 | 29 521 | 1,30 | 15 | |
Таблиця В.2 Рейтинг банківських кредитів на придбання нових іноземних автомобілів/ гривна (Строк кредиту 3 года) станом на 19.06.2006 [92]
| Місце в рейтингу | Банк | Умови кредитування | Витрати по займу | Усього витрат по кредиту, грн. | Коеф. подорожчання кредиту | Початковий внесок, % | ||||
| Проц. ставка | Однораз. комісія | Щомісячна комісія | Відсотки | Однораз. комісія | Щоміс. комісія | |||||
| 1 | Аваль | 16,5% | 25 438 | 25 438 | 1,25 | 10 | ||||
| 2 | УкрСиббанк | 15,5% | 2% (від суми кредиту) | 23 896 | 2 000 | 25 896 | 1,26 | 10 | ||
| 3 | Форум | 16,5% | 0,9% (від суми кредиту) | 25 438 | 900 | 0 | 26 338 | 1,26 | 10 | |
| 4 | Фінанси та кредит | 13,00% | 0,1% (від суми кредиту) | 0,2% (від суми кредиту) | 20 042 | 100 | 7 200 | 27 342 | 1,27 | 10 |
| 5 | Укргазбанк | 17,5% | 1% (від суми кредиту) | 26 979 | 1 000 | 0 | 27 979 | 1,28 | 10 | |
| 6 | Райффайзенбанк Україна | 18,00% | 500 грн. | 27 750 | 500 | 28 250 | 1,28 | 15 | ||
| 7 | Кредитпромбанк | 17,3% | 2% (від суми кредиту) | 26 671 | 2 000 | 28 671 | 1,29 | 10 | ||
| 8 | ВАБанк | 15,00% | 0,9% (від суми кредиту) | 0,13% (від суми кредиту) | 23 125 | 900 | 4 680 | 28 705 | 1,29 | 15 |
| 9 | Укрсоцбанк | 18,00% | 1,3% (від суми кредиту) | 27 750 | 1 300 | 29 050 | 1,29 | 10 | ||
| 10 | ТАСКомерцбанк | 18,5% | 1% (від суми кредиту) | 28 521 | 1 000 | 0 | 29 521 | 1,30 | 10 | |
Таблиця В.3 Рейтинг банківських кредитів на придбання нових вітчизняних автомобілів / гривна (Строк кредиту 5 лет) станом на 19.06.2006 [92]
| Валюта кредиту – гривна Сума кредиту 100 000 гривен | ||||||||||
| Місце в рейтингу | Банк | Умови кредитування | Витрати по займу | Усього витрат по кредиту, грн. | Коеф. подорожчання кредиту | Початковий внесок, % | ||||
| Проц. ставка | Однораз. комісія | Щомісячна комісія | Відсотки | Однораз. комісія | Щоміс. комісія | |||||
| 1 | УкрСиббанк | 15,5% | 2% (від суми кредиту) | 39 396 | 2 000 | 41 396 | 1,41 | 10 | ||
| 2 | Аваль | 16,5% | 41 938 | 41 938 | 1,42 | 15 | ||||
| 3 | Форум | 16,5% | 0,9% (від суми кредиту) | 41 938 | 900 | 0 | 42 838 | 1,43 | 20 | |
| 4 | Укргазбанк | 17,5% | 1% (від суми кредиту) | 44 479 | 1 000 | 0 | 45 479 | 1,45 | 15 | |
| 5 | Фінанси та кредит | 13,00% | 0,6% (від суми кредиту) | 0,2% (від суми кредиту) | 33 042 | 600 | 12 000 | 45 642 | 1,46 | 15 |
| 6 | Райффайзенбанк Україна | 18,00% | 500 грн. | 45 750 | 500 | 46 250 | 1,46 | 15 | ||
| 7 | Укрсоцбанк | 18,00% | 1,3% (від суми кредиту) | 45 750 | 1 300 | 47 050 | 1,47 | 15 | ||
| 8 | Кредитпромбанк | 17,8% | 2% (від суми кредиту) | 45 242 | 2 000 | 47 242 | 1,47 | 20 | ||
| 9 | ТАСКомерцбанк | 18,5% | 1% (від суми кредиту) | 47 021 | 1 000 | 0 | 48 021 | 1,48 | 15 | |
| 10 | Укргазбанк | 15,00% | 1% (від суми кредиту) | 0,2% (від суми кредиту) | 38 125 | 1 000 | 12 000 | 51 125 | 1,51 | 15 |
Таблиця В.4 Рейтинг банківських кредитів на придбання нових іноземних автомобілів/ гривна (Строк кредиту 5 лет) станом на 19.06.2006 [92]
| Місце в рейтингу | Банк | Умови кредитування | Витрати по займу | Усього витрат по кредиту, грн. | Коеф. подорожчання кредиту | Початковий внесок, % | ||||
| Проц. ставка | Однораз. комісія | Щомісячна комісія | Відсотки | Однораз. комісія | Щоміс. комісія | |||||
| 1 | УкрСиббанк | 15,5% | 2% (від суми кредиту) | 39 396 | 2 000 | 41 396 | 1,41 | 10 | ||
| 2 | Аваль | 16,5% | 41 938 | 41 938 | 1,42 | 10 | ||||
| 3 | Форум | 16,5% | 0,9% (від суми кредиту) | 41 938 | 900 | 0 | 42 838 | 1,43 | 10 | |
| 4 | Укргазбанк | 17,5% | 1% (від суми кредиту) | 44 479 | 1 000 | 0 | 45 479 | 1,45 | 10 | |
| 5 | Фінанси та кредит | 13,00% | 0,6% (від суми кредиту) | 0,2% (від суми кредиту) | 33 042 | 600 | 12 000 | 45 642 | 1,46 | 10 |
| 6 | Райффайзенбанк Україна | 18% | 500 грн. | 45 750 | 500 | 46 250 | 1,46 | 15 | ||
| 7 | ВАБанк | 15,00% | 0,9% (від суми кредиту) | 0,13% (від суми кредиту) | 38 125 | 900 | 7 800 | 46 825 | 1,47 | 15 |
| 8 | Укрсоцбанк | 18,00% | 1,3% (від суми кредиту) | 45 750 | 1 300 | 47 050 | 1,47 | 10 | ||
| 9 | Кредитпромбанк | 17,8% | 2% (від суми кредиту) | 45 242 | 2 000 | 47 242 | 1,47 | 10 | ||
| 10 | ТАСКомерцбанк | 18,5% | 1% (від суми кредиту) | 47 021 | 1 000 | 0 | 48 021 | 1,48 | 10 | |
Додаток Г
Таблиця Г.1 Рейтинг кредитів по програмі «Розстрочка» (Строк кредиту 1 роки) [92]
| Вартість товару = Сумі кредита = 2500 грн. Строк кредиту = 12 міс. | ||||||||
| Місце | Банк | Назва програми кредитування | Витрати по кредиту | Усього витрат | Подорожчання товара | |||
| Сумарні відсотки | Однораз. Комісія | Щоміс. комісія | Страховка | |||||
| 1 | Надра | "Товари в кредит" | 243,75 | 25,00 | 81,25 | 0,00 | 350,00 | 14% |
| 2 | ВАБанк | "Товари в кредит" | 270,83 | 125,00 | 17,50 | 413,33 | 17% | |
| 3 | Фінанси та кредит | "Розстрочка" | 243,75 | 125,00 | 75,00 | 12,50 | 456,25 | 18% |
| 4 | ТАСКомерцбанк | "Товари в кредит" | 0,14 | 475,00 | 0,00 | 475,14 | 19% | |
| 5 | Укрсоцбанк | "Товари в кредит" | 365,63 | 112,50 | 0,00 | 478,13 | 19% | |
| 6 | Укргазбанк | "Товари в кредит" | 0,01 | 500,00 | 0,00 | 500,01 | 20% | |
| 7 | Укргазбанк | "Товари в кредит" | 135,42 | 375,00 | 0,00 | 510,42 | 20% | |
| 8 | Аваль | "Товари в рассрочку" | 0,01 | 512,50 | 0,00 | 512,51 | 21% | |
| 9 | ПриватБанк | "Товари в кредит" | 162,50 | 417,00 | 0,00 | 579,50 | 23% | |
| 10 | ПравексБанк | "Товари в кредит" | 270,83 | 351,00 | 50,00 | 671,83 | 27% | |
Таблиця Г.2 Рейтинг кредитів по програмі «Розстрочка» (Строк кредиту 2 роки) [92]
| Вартість товару = Сумі кредита = 5000 грн. Строк кредиту = 24 міс. | ||||||||||
| Місце | Банк | Назва програми кредитування | Витрати по кредиту | Усього витрат | Подорожчання товара | |||||
| Сумарні відсотки | Однораз. комісія | Щоміс. комісія | Страховка | |||||||
| 1 | Надра | "Товари в кредит" | 1 041,67 | 50,00 | 312,50 | 0,00 | 1 404,17 | 28% | ||
| 2 | Фінанси та кредит | "Розстрочка" | 1 145,83 | 250,00 | 300,00 | 25,00 | 1 720,83 | 34% | ||
| 3 | Укрсоцбанк | "Товари в кредит" | 1 406,25 | 350,00 | 0,00 | 1 756,25 | 35% | |||
| 4 | ТАСКомерцбанк | "Правильний кредит" | 0,05 | 1 800,00 | 0,00 | 1 800,05 | 36% | |||
| 5 | ТАСКомерцбанк | "Товари в кредит" | 0,52 | 0,00 | 1 920,00 | 0,00 | 1 920,52 | 38% | ||
| 6 | ПриватБанк | "Товари в кредит" | 625,00 | 1 728,00 | 0,00 | 2 353,00 | 47% | |||
| 7 | ПравексБанк | "Товари в кредит" | 1 041,67 | 1 452,00 | 100,00 | 2 593,67 | 52% | |||
Додаток Д
Таблиця Д.1 Рейтинг банківських кредитів на придбання житла на вторинному ринку/ гривна (Строк кредиту 10 років) [92]
| Валюта кредиту – гривна | Оцінна вартість крвартири – 250000 гривен | |||||||||||||
| Строк кредиту 10 лет | Сума кредиту – 200000 гривен | |||||||||||||
| Місце в рейтингу | Банк | Витрати позичальника по кредиту за весь Строк користування ссудою | Усього витрат по кредиту, грн. | Коефіцієнт подорожчання суми кредиту | Мінімальний первинний внесок , % | |||||||||
| Сумарні відсотки | Комісія | Страхування | ||||||||||||
| Одноразова | Щомісячна | Майна | Життя | Титул | ||||||||||
| 1 | УкрСиббанк | 156 292 | 4 000 | 0 | 12 500 | 0 | 0 | 172 792 | 1,86 | 20 | ||||
| 2 | Форум | 170 408 | 3 000 | 7 500 | 0 | 0 | 180 908 | 1,90 | 20 | |||||
| 3 | Аваль | 166 375 | 7 500 | 11 000 | 0 | 184 875 | 1,92 | 20 | ||||||
| 4 | Фінанси та кредит | 146 208 | 2 000 | 22 990 | 7 500 | 9 600 | 0 | 188 298 | 1,94 | 10 | ||||
| 5 | Райффайзенбанк | 176 458 | 500 | 10 000 | 6 000 | 1 800 | 194 758 | 1,97 | 15 | |||||
| 6 | Укрсоцбанк | 181 500 | 2 000 | 12 500 | 0 | 0 | 196 000 | 1,98 | 15 | |||||
| 7 | Укргазбанк | 170 408 | 2 000 | 10 000 | 20 000 | 0 | 202 408 | 2,01 | 15 | |||||
| 8 | Кредитпромбанк | 176 458 | 450 | 17 500 | 6 000 | 4 000 | 204 408 | 2,02 | 15 | |||||
| 9 | Надра | 156 292 | 2 000 | 42 350 | 10 000 | 0 | 0 | 210 642 | 2,05 | 20 | ||||
| 10 | Кредит Банк (Україна ) | 186542 | 2000 | 7200 | 7500 | 10000 | 0 | 213242 | 2,07 | 15 | ||||
| 11 | Проминвестбанк | 191 583 | 4 000 | 7 500 | 16 000 | 0 | 219 083 | 2,10 | 10 | |||||
| 12 | Укргазбанк | 140 158 | 2 000 | 48 000 | 10 000 | 20 000 | 0 | 220 158 | 2,10 | 15 | ||||
| 13 | ПриватБанк | 121 000 | 108 000 | 10 000 | 10 000 | 0 | 249 000 | 2,25 | 20 | |||||
Таблиця Д.2 Рейтинг банківських кредитів на придбання житла на вторинному ринку/ гривна (Строк кредиту 20 років) станом на 26.06.2006 [92]
| Валюта кредиту – гривна | Оцінна вартість крвартири – 250000 гривен | ||||||||||
| Строк кредиту 20 лет | Сума кредиту – 200000 гривен | ||||||||||
| Місце в рейтингу | Банк | Витрати позичальника по кредиту за весь Строк користування ссудою | Усього витрат по кредиту, грн. | Коефіцієнт подорожчання суми кредиту | Мінімальний первинний внесок , % | ||||||
| Сумарні відсотки | Комісія | Страхування | |||||||||
| Одноразова | Щомісячна | Майна | Життя | Титул | |||||||
| 1 | УкрСиббанк | 311 292 | 4 000 | 0 | 25 000 | 0 | 0 | 340 292 | 2,70 | 20 | |
| 2 | Фінанси та кредит | 301 250 | 2 000 | 45 790 | 15 000 | 19 200 | 0 | 383 240 | 2,92 | 10 | |
| 3 | Райффайзенбанк Україна | 351 458 | 500 | 20 000 | 12 000 | 1 800 | 385 758 | 2,93 | 15 | ||
| 4 | Укрсоцбанк | 361 500 | 2 000 | 25 000 | 0 | 0 | 388 500 | 2,94 | 15 | ||
| 5 | Укргазбанк | 339 408 | 2 000 | 20 000 | 40 000 | 0 | 401 408 | 3,01 | 15 | ||
| 6 | Кредитпромбанк | 351 458 | 450 | 35 000 | 12 000 | 4 000 | 402 908 | 3,01 | 15 | ||
| 7 | Надра | 311 292 | 2 000 | 84 350 | 20 000 | 0 | 0 | 417 642 | 3,09 | 20 | |
| 8 | Укргазбанк | 279 158 | 2 000 | 96 000 | 20 000 | 40 000 | 0 | 437 158 | 3,19 | 15 | |
| 9 | ПриватБанк | 241 000 | 264 000 | 20 000 | 20 000 | 0 | 545 000 | 3,73 | 20 | ||
Таблиця Д.3 Рейтинг банківських кредитів на придбання житла на вторинному ринку/ Долар США (Строк кредиту 10 років) станом на 26.06.2006 [92]
| Валюта кредиту долар | Оцінна вартість крвартири 250000 гривен(50 000 доларов США) | ||||||||||
| Строк кредиту 10 лет | Сума кредиту 200000 гривен(40 000 доларов США) | ||||||||||
| Місце в рейтингу | Банк | Витрати позичальника по кредиту за весь Строк користування ссудою | Усього витрат по кредиту, долл. США | Коефіцієнт подорожчання суми кредиту | Мінімальний первинний внесок , % | ||||||
| Сумарні відсотки | Комісія | Страхування | |||||||||
| Одноразова | Щомісячна | Майна | Життя | Титул | |||||||
| 1 | Міжнародний іпотечний банк | 23 192 | 400 | 1 000 | 1 200 | 0 | 25 792 | 1,64 | 25 | ||
| 2 | Райффайзенбанк Україна | 22 183 | 100 | 2 000 | 1 200 | 360 | 25 843 | 1,65 | 15 | ||
| 3 | Форум | 24 200 | 600 | 1 500 | 0 | 0 | 26 300 | 1,66 | 20 | ||
| 4 | УкрСиббанк | 23 797 | 800 | 0 | 2 500 | 0 | 0 | 27 097 | 1,68 | 20 | |
| 5 | Аваль | 24 200 | 1 500 | 2 200 | 0 | 27 900 | 1,70 | 20 | |||
| 6 | Укрсоцбанк | 25 208 | 400 | 2 500 | 0 | 0 | 28 108 | 1,70 | 15 | ||
| 7 | ПравексБанк | 24 200 | 600 | 3 350 | 0 | 0 | 28 150 | 1,70 | 0 | ||
| 8 | Надра | 19 158 | 400 | 8 470 | 2 000 | 0 | 0 | 30 028 | 1,75 | 20 | |
| 9 | Кредитпромбанк | 25188 | 90 | 3500 | 1200 | 800 | 30778 | 1,77 | 15 | ||
| 10 | Фінанси та кредит | 22 788 | 400 | 4 598 | 1 500 | 1 920 | 0 | 31 206 | 1,78 | 10 | |
| 11 | Укргазбанк | 25 208 | 400 | 2 000 | 4 000 | 0 | 31 608 | 1,79 | 15 | ||
| 12 | Проминвестбанк | 26 217 | 800 | 1 500 | 3 200 | 0 | 31 717 | 1,79 | 10 | ||
| 13 | Кредит Банк (Україна ) | 28 233 | 400 | 1 440 | 1 500 | 2 000 | 0 | 33 573 | 1,84 | 15 | |
| 14 | Укргазбанк | 19 158 | 400 | 9 600 | 2 000 | 4 000 | 0 | 35 158 | 1,88 | 15 | |
| 15 | ПриватБанк | 24 200 | 9 600 | 2 000 | 2 000 | 0 | 37 800 | 1,95 | 20 | ||
Таблиця Д.4 Рейтинг банківських кредитів на придбання житла на вторинному ринку/ долар США (Строк кредиту 20 років) станом на 26.06.2006 [92]
| Валюта кредиту долар | Оцінна вартість крвартири 250000 гривен(50 000 доларов США) | ||||||||||||||
| Строк кредиту 20 лет | Сума кредиту 200000 гривен(40 000 доларов США) | ||||||||||||||
| Місце в рейтингу | Банк | Витрати позичальника по кредиту за весь Строк користування ссудою | Усього витрат по кредиту, долл. США | Коефіцієнт подорожчання суми кредиту | Мінімальний первинний внесок , % | ||||||||||
| Сумарні відсотки | Комісія | Страхування | |||||||||||||
| Одноразова | Щомісячна | Майна | Життя | Титул | |||||||||||
| 1 | УкрСиббанк | 47 397 | 800 | 0 | 5 000 | 0 | 0 | 53 197 | 2,33 | 20 | |||||
| 2 | Райффайзенбанк Україна | 48 200 | 100 | 4 000 | 2 400 | 360 | 55 060 | 2,38 | 15 | ||||||
| 3 | ПравексБанк | 48 200 | 600 | 6 700 | 0 | 0 | 55 500 | 2,39 | 0 | ||||||
| 4 | Аваль | 48 200 | 3 000 | 4 400 | 0 | 55 600 | 2,39 | 20 | |||||||
| 5 | Укрсоцбанк | 51 012 | 400 | 5 000 | 0 | 0 | 56 412 | 2,41 | 15 | ||||||
| 6 | Надра | 38 158 | 400 | 16 870 | 4 000 | 0 | 0 | 59 428 | 2,49 | 20 | |||||
| 7 | Кредитпромбанк | 50 168 | 90 | 7 000 | 2 400 | 800 | 60 458 | 2,51 | 15 | ||||||
| 8 | Укргазбанк | 50 208 | 400 | 4 000 | 8 000 | 0 | 62 608 | 2,57 | 15 | ||||||
| 9 | Фінанси та кредит | 48 200 | 400 | 9 158 | 3 000 | 3 840 | 0 | 64 598 | 2,61 | 10 | |||||
| 10 | Укргазбанк | 38158 | 400 | 19200 | 4000 | 8000 | 0 | 69 758 | 2,74 | 15 | |||||
Додаток Е















